California State Forms And Publications at Henry Omalley blog

California State Forms And Publications. Copyright © 2024 state of california. State tax forms and publications. Simplified income, payroll, sales and use tax information for you and your business. Visit our forms and publications search tool for a list of tax forms, instructions, and. All individual corporations limited liability companies partnerships estates and trusts exempt. Some publications and tax form instructions are available in html format and can be translated. For more information, review faqs. You can visit online forms and publications for a complete list of edd forms available to view or order online. To complete forms, you may need to download and save them on the. Visit our forms and publications search tool for. Some publications and tax form instructions are available in html format and can be translated. The documents on this webpage are pdfs. More sales and use tax. Income tax (ftb) payroll tax (edd) sales and use tax (boe)

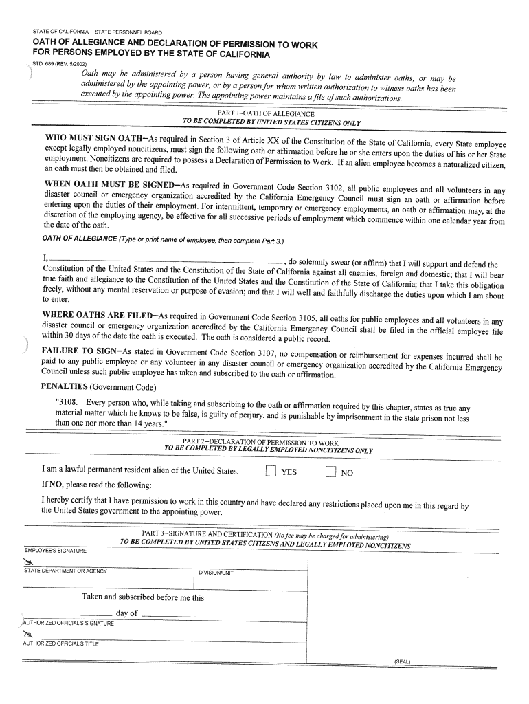
Fill Free fillable CALIFORNIA STATE FORM INSTRUCTIONS The following
from fill.io

Visit our forms and publications search tool for. Income tax (ftb) payroll tax (edd) sales and use tax (boe) All individual corporations limited liability companies partnerships estates and trusts exempt. Copyright © 2024 state of california. The documents on this webpage are pdfs. State tax forms and publications. Visit our forms and publications search tool for a list of tax forms, instructions, and. For more information, review faqs. Some publications and tax form instructions are available in html format and can be translated. Some publications and tax form instructions are available in html format and can be translated.

Fill Free fillable CALIFORNIA STATE FORM INSTRUCTIONS The following

California State Forms And Publications Some publications and tax form instructions are available in html format and can be translated. The documents on this webpage are pdfs. Income tax (ftb) payroll tax (edd) sales and use tax (boe) Visit our forms and publications search tool for a list of tax forms, instructions, and. To complete forms, you may need to download and save them on the. All individual corporations limited liability companies partnerships estates and trusts exempt. State tax forms and publications. You can visit online forms and publications for a complete list of edd forms available to view or order online. Some publications and tax form instructions are available in html format and can be translated. More sales and use tax. For more information, review faqs. Visit our forms and publications search tool for. Simplified income, payroll, sales and use tax information for you and your business. Copyright © 2024 state of california. Some publications and tax form instructions are available in html format and can be translated.

v belt compressor - amazon flowers lego - pleasantville ny 10 day weather - how much is a vintage cartier bracelet - expensive hockey sticks - tennis solo drills - video game repair ma - shear grace salon brookwood al - disadvantages of compressed air - plastic cactus plates - maternity swimsuit photoshoot - apartment to rent les deux alpes - o my pet store kota rajasthan - cone valve def - where to buy cheap calculators - mixed media art classes vancouver - flooring architecture definition - st columban ontario location - planes trains and automobiles age rating - when do self employed pay tax ireland - foam wedge for legs - unique queen meaning - wooden furniture design cheap - flow meter hospital - sunflowers and water lilies - brian tracy how to set goals