Torch Mean And Variance . Learn how to efficiently compute mean, variance, and standard deviation in pytorch. Var_mean (input, dim = none, *, correction = 1, keepdim = false, out = none) ¶ calculates the variance and mean over the dimensions. Returns the mean value of all elements in the input tensor. Pytorch provides various inbuilt mathematical utilities to monitor the descriptive statistics of a dataset at hand one of them. If you look at the documentation, it says torchvision.transforms.normalize is used to normalize a tensor image with mean and. Torch.var_mean(input, dim=none, *, correction=1, keepdim=false, out=none) calculates the variance and mean over the dimensions specified by dim. If you want to train from. Using the mean and std of imagenet is a common practice. Input must be floating point or complex. They are calculated based on millions of images.
from blog.csdn.net
Returns the mean value of all elements in the input tensor. Learn how to efficiently compute mean, variance, and standard deviation in pytorch. If you want to train from. Input must be floating point or complex. If you look at the documentation, it says torchvision.transforms.normalize is used to normalize a tensor image with mean and. Var_mean (input, dim = none, *, correction = 1, keepdim = false, out = none) ¶ calculates the variance and mean over the dimensions. Using the mean and std of imagenet is a common practice. Torch.var_mean(input, dim=none, *, correction=1, keepdim=false, out=none) calculates the variance and mean over the dimensions specified by dim. Pytorch provides various inbuilt mathematical utilities to monitor the descriptive statistics of a dataset at hand one of them. They are calculated based on millions of images.
利用 torch.mean()计算图像数据集的均值和标准差_计算所有图像的均值与标准差值CSDN博客
Torch Mean And Variance They are calculated based on millions of images. Returns the mean value of all elements in the input tensor. If you look at the documentation, it says torchvision.transforms.normalize is used to normalize a tensor image with mean and. Using the mean and std of imagenet is a common practice. Torch.var_mean(input, dim=none, *, correction=1, keepdim=false, out=none) calculates the variance and mean over the dimensions specified by dim. If you want to train from. Pytorch provides various inbuilt mathematical utilities to monitor the descriptive statistics of a dataset at hand one of them. Var_mean (input, dim = none, *, correction = 1, keepdim = false, out = none) ¶ calculates the variance and mean over the dimensions. Input must be floating point or complex. Learn how to efficiently compute mean, variance, and standard deviation in pytorch. They are calculated based on millions of images.
From math.stackexchange.com
normal distribution Calculating the mean and variance of a Gaussian Torch Mean And Variance Input must be floating point or complex. Pytorch provides various inbuilt mathematical utilities to monitor the descriptive statistics of a dataset at hand one of them. Returns the mean value of all elements in the input tensor. Using the mean and std of imagenet is a common practice. Var_mean (input, dim = none, *, correction = 1, keepdim = false,. Torch Mean And Variance.
From www.numerade.com
SOLVED Suppose X has a hypergeometric distribution with N = 100, n = 4 Torch Mean And Variance If you look at the documentation, it says torchvision.transforms.normalize is used to normalize a tensor image with mean and. Using the mean and std of imagenet is a common practice. Learn how to efficiently compute mean, variance, and standard deviation in pytorch. Pytorch provides various inbuilt mathematical utilities to monitor the descriptive statistics of a dataset at hand one of. Torch Mean And Variance.
From www.researchgate.net
Mean progress variable variance along the flame centerline and along a Torch Mean And Variance Using the mean and std of imagenet is a common practice. Pytorch provides various inbuilt mathematical utilities to monitor the descriptive statistics of a dataset at hand one of them. If you look at the documentation, it says torchvision.transforms.normalize is used to normalize a tensor image with mean and. Input must be floating point or complex. Torch.var_mean(input, dim=none, *, correction=1,. Torch Mean And Variance.
From discuss.pytorch.org
How can I get the mean and variance from a saved CNN model? PyTorch Torch Mean And Variance Learn how to efficiently compute mean, variance, and standard deviation in pytorch. Returns the mean value of all elements in the input tensor. Torch.var_mean(input, dim=none, *, correction=1, keepdim=false, out=none) calculates the variance and mean over the dimensions specified by dim. They are calculated based on millions of images. Using the mean and std of imagenet is a common practice. Var_mean. Torch Mean And Variance.
From www.researchgate.net
4 Experimental (symbols) and computational (lines) values for the Torch Mean And Variance Torch.var_mean(input, dim=none, *, correction=1, keepdim=false, out=none) calculates the variance and mean over the dimensions specified by dim. Var_mean (input, dim = none, *, correction = 1, keepdim = false, out = none) ¶ calculates the variance and mean over the dimensions. Pytorch provides various inbuilt mathematical utilities to monitor the descriptive statistics of a dataset at hand one of them.. Torch Mean And Variance.
From www.youtube.com
Calculate Mean Variance and Skewness YouTube Torch Mean And Variance Using the mean and std of imagenet is a common practice. Input must be floating point or complex. Var_mean (input, dim = none, *, correction = 1, keepdim = false, out = none) ¶ calculates the variance and mean over the dimensions. Pytorch provides various inbuilt mathematical utilities to monitor the descriptive statistics of a dataset at hand one of. Torch Mean And Variance.
From medium.com
Exploring Batch Normalisation with PyTorch by Pooja Mahajan Torch Mean And Variance Pytorch provides various inbuilt mathematical utilities to monitor the descriptive statistics of a dataset at hand one of them. They are calculated based on millions of images. Returns the mean value of all elements in the input tensor. Var_mean (input, dim = none, *, correction = 1, keepdim = false, out = none) ¶ calculates the variance and mean over. Torch Mean And Variance.
From blog.csdn.net
【笔记】torch.mean && torch.std :计算所设定维度的mean 和 std_torch.stft维度CSDN博客 Torch Mean And Variance Returns the mean value of all elements in the input tensor. Learn how to efficiently compute mean, variance, and standard deviation in pytorch. They are calculated based on millions of images. If you want to train from. Input must be floating point or complex. Pytorch provides various inbuilt mathematical utilities to monitor the descriptive statistics of a dataset at hand. Torch Mean And Variance.
From exopbmnun.blob.core.windows.net
Torch Definition In Law at Christopher Gomez blog Torch Mean And Variance If you want to train from. If you look at the documentation, it says torchvision.transforms.normalize is used to normalize a tensor image with mean and. Returns the mean value of all elements in the input tensor. They are calculated based on millions of images. Pytorch provides various inbuilt mathematical utilities to monitor the descriptive statistics of a dataset at hand. Torch Mean And Variance.
From www.youtube.com
SOLVING PROBLEMS INVOLVING MEAN AND VARIANCE OF PROBABILITY Torch Mean And Variance Using the mean and std of imagenet is a common practice. Learn how to efficiently compute mean, variance, and standard deviation in pytorch. If you look at the documentation, it says torchvision.transforms.normalize is used to normalize a tensor image with mean and. Var_mean (input, dim = none, *, correction = 1, keepdim = false, out = none) ¶ calculates the. Torch Mean And Variance.
From www.researchgate.net
TORCH modelled OH (GAM MO ) results comprising the variables selected Torch Mean And Variance If you want to train from. Torch.var_mean(input, dim=none, *, correction=1, keepdim=false, out=none) calculates the variance and mean over the dimensions specified by dim. Returns the mean value of all elements in the input tensor. Pytorch provides various inbuilt mathematical utilities to monitor the descriptive statistics of a dataset at hand one of them. Var_mean (input, dim = none, *, correction. Torch Mean And Variance.
From machinelearningknowledge.ai
Complete Tutorial for torch.mean() to Find Tensor Mean in PyTorch MLK Torch Mean And Variance Returns the mean value of all elements in the input tensor. If you look at the documentation, it says torchvision.transforms.normalize is used to normalize a tensor image with mean and. Input must be floating point or complex. Learn how to efficiently compute mean, variance, and standard deviation in pytorch. Torch.var_mean(input, dim=none, *, correction=1, keepdim=false, out=none) calculates the variance and mean. Torch Mean And Variance.
From calcworkshop.com
Binomial Distribution (Fully Explained w/ 11 Examples!) Torch Mean And Variance Pytorch provides various inbuilt mathematical utilities to monitor the descriptive statistics of a dataset at hand one of them. Using the mean and std of imagenet is a common practice. Var_mean (input, dim = none, *, correction = 1, keepdim = false, out = none) ¶ calculates the variance and mean over the dimensions. They are calculated based on millions. Torch Mean And Variance.
From www.researchgate.net
Scatter plots of normalised reaction rate, ˙ ω + c = ˙ ω c δ th /(ρs L Torch Mean And Variance Learn how to efficiently compute mean, variance, and standard deviation in pytorch. Torch.var_mean(input, dim=none, *, correction=1, keepdim=false, out=none) calculates the variance and mean over the dimensions specified by dim. Var_mean (input, dim = none, *, correction = 1, keepdim = false, out = none) ¶ calculates the variance and mean over the dimensions. Pytorch provides various inbuilt mathematical utilities to. Torch Mean And Variance.
From www.youtube.com
Calculating the expectation and variance for a linear combination of X Torch Mean And Variance Pytorch provides various inbuilt mathematical utilities to monitor the descriptive statistics of a dataset at hand one of them. If you want to train from. Torch.var_mean(input, dim=none, *, correction=1, keepdim=false, out=none) calculates the variance and mean over the dimensions specified by dim. Learn how to efficiently compute mean, variance, and standard deviation in pytorch. Input must be floating point or. Torch Mean And Variance.
From efinancemanagement.com
Variance Analysis Formula with Example Meaning, Types of Variance Torch Mean And Variance Using the mean and std of imagenet is a common practice. Var_mean (input, dim = none, *, correction = 1, keepdim = false, out = none) ¶ calculates the variance and mean over the dimensions. If you look at the documentation, it says torchvision.transforms.normalize is used to normalize a tensor image with mean and. Input must be floating point or. Torch Mean And Variance.
From www.researchgate.net
PDF of the mixture fraction P ( Z ) for fiv e crossstream positions y Torch Mean And Variance If you want to train from. Var_mean (input, dim = none, *, correction = 1, keepdim = false, out = none) ¶ calculates the variance and mean over the dimensions. Learn how to efficiently compute mean, variance, and standard deviation in pytorch. Returns the mean value of all elements in the input tensor. Torch.var_mean(input, dim=none, *, correction=1, keepdim=false, out=none) calculates. Torch Mean And Variance.
From mathsathome.com
How to Calculate Variance Torch Mean And Variance Returns the mean value of all elements in the input tensor. Torch.var_mean(input, dim=none, *, correction=1, keepdim=false, out=none) calculates the variance and mean over the dimensions specified by dim. Using the mean and std of imagenet is a common practice. They are calculated based on millions of images. If you look at the documentation, it says torchvision.transforms.normalize is used to normalize. Torch Mean And Variance.
From www.youtube.com
[Chapter 5] 2 Expectation and variance of continuous random variable Torch Mean And Variance Torch.var_mean(input, dim=none, *, correction=1, keepdim=false, out=none) calculates the variance and mean over the dimensions specified by dim. Returns the mean value of all elements in the input tensor. Using the mean and std of imagenet is a common practice. Learn how to efficiently compute mean, variance, and standard deviation in pytorch. Input must be floating point or complex. Var_mean (input,. Torch Mean And Variance.
From blog.csdn.net
从图像角度理解torch.mean()函数。继而学习torch.max等等相关函数_torch.mean(img1)CSDN博客 Torch Mean And Variance If you look at the documentation, it says torchvision.transforms.normalize is used to normalize a tensor image with mean and. They are calculated based on millions of images. Input must be floating point or complex. If you want to train from. Returns the mean value of all elements in the input tensor. Learn how to efficiently compute mean, variance, and standard. Torch Mean And Variance.
From blog.csdn.net
【笔记】torch.mean && torch.std :计算所设定维度的mean 和 std_torch.stft维度CSDN博客 Torch Mean And Variance Var_mean (input, dim = none, *, correction = 1, keepdim = false, out = none) ¶ calculates the variance and mean over the dimensions. Using the mean and std of imagenet is a common practice. Returns the mean value of all elements in the input tensor. Torch.var_mean(input, dim=none, *, correction=1, keepdim=false, out=none) calculates the variance and mean over the dimensions. Torch Mean And Variance.
From mathsathome.com
How to Calculate Variance Torch Mean And Variance Using the mean and std of imagenet is a common practice. Var_mean (input, dim = none, *, correction = 1, keepdim = false, out = none) ¶ calculates the variance and mean over the dimensions. If you look at the documentation, it says torchvision.transforms.normalize is used to normalize a tensor image with mean and. If you want to train from.. Torch Mean And Variance.
From adityassrana.github.io
Don’t Trust PyTorch to Initialize Your Variables Aditya Rana Blog Torch Mean And Variance Using the mean and std of imagenet is a common practice. Torch.var_mean(input, dim=none, *, correction=1, keepdim=false, out=none) calculates the variance and mean over the dimensions specified by dim. If you look at the documentation, it says torchvision.transforms.normalize is used to normalize a tensor image with mean and. They are calculated based on millions of images. If you want to train. Torch Mean And Variance.
From blog.csdn.net
利用 torch.mean()计算图像数据集的均值和标准差_计算所有图像的均值与标准差值CSDN博客 Torch Mean And Variance If you want to train from. Returns the mean value of all elements in the input tensor. Pytorch provides various inbuilt mathematical utilities to monitor the descriptive statistics of a dataset at hand one of them. Torch.var_mean(input, dim=none, *, correction=1, keepdim=false, out=none) calculates the variance and mean over the dimensions specified by dim. If you look at the documentation, it. Torch Mean And Variance.
From www.researchgate.net
(a) shows the general architecture of VAE where the layers in between Torch Mean And Variance If you look at the documentation, it says torchvision.transforms.normalize is used to normalize a tensor image with mean and. Torch.var_mean(input, dim=none, *, correction=1, keepdim=false, out=none) calculates the variance and mean over the dimensions specified by dim. Returns the mean value of all elements in the input tensor. Using the mean and std of imagenet is a common practice. They are. Torch Mean And Variance.
From blog.paperspace.com
PyTorch Basics Understanding Autograd and Computation Graphs Torch Mean And Variance If you look at the documentation, it says torchvision.transforms.normalize is used to normalize a tensor image with mean and. Pytorch provides various inbuilt mathematical utilities to monitor the descriptive statistics of a dataset at hand one of them. Using the mean and std of imagenet is a common practice. Learn how to efficiently compute mean, variance, and standard deviation in. Torch Mean And Variance.
From blog.csdn.net
torch.mean和torch.var的个人能理解,以及通俗理解BatchNorm1d的计算原理CSDN博客 Torch Mean And Variance Pytorch provides various inbuilt mathematical utilities to monitor the descriptive statistics of a dataset at hand one of them. Torch.var_mean(input, dim=none, *, correction=1, keepdim=false, out=none) calculates the variance and mean over the dimensions specified by dim. Learn how to efficiently compute mean, variance, and standard deviation in pytorch. Input must be floating point or complex. Var_mean (input, dim = none,. Torch Mean And Variance.
From www.coursehero.com
[Solved] Find the covariance matrix for the following linear Torch Mean And Variance Var_mean (input, dim = none, *, correction = 1, keepdim = false, out = none) ¶ calculates the variance and mean over the dimensions. Learn how to efficiently compute mean, variance, and standard deviation in pytorch. If you look at the documentation, it says torchvision.transforms.normalize is used to normalize a tensor image with mean and. Pytorch provides various inbuilt mathematical. Torch Mean And Variance.
From www.coursehero.com
[Solved] 10) Use the below chart to calculate the mean and variance. a Torch Mean And Variance Input must be floating point or complex. Pytorch provides various inbuilt mathematical utilities to monitor the descriptive statistics of a dataset at hand one of them. Var_mean (input, dim = none, *, correction = 1, keepdim = false, out = none) ¶ calculates the variance and mean over the dimensions. Returns the mean value of all elements in the input. Torch Mean And Variance.
From fyogfdzdq.blob.core.windows.net
Torch Verb Define at Ora Neville blog Torch Mean And Variance Returns the mean value of all elements in the input tensor. If you want to train from. Input must be floating point or complex. Pytorch provides various inbuilt mathematical utilities to monitor the descriptive statistics of a dataset at hand one of them. They are calculated based on millions of images. Using the mean and std of imagenet is a. Torch Mean And Variance.
From www.numerade.com
The first three moments of a distribution about the value 2 of a Torch Mean And Variance If you want to train from. Returns the mean value of all elements in the input tensor. Pytorch provides various inbuilt mathematical utilities to monitor the descriptive statistics of a dataset at hand one of them. Learn how to efficiently compute mean, variance, and standard deviation in pytorch. Torch.var_mean(input, dim=none, *, correction=1, keepdim=false, out=none) calculates the variance and mean over. Torch Mean And Variance.
From fyoeujdav.blob.core.windows.net
Torch.mean Pytorch at Gertrude Grisham blog Torch Mean And Variance They are calculated based on millions of images. Var_mean (input, dim = none, *, correction = 1, keepdim = false, out = none) ¶ calculates the variance and mean over the dimensions. If you want to train from. Torch.var_mean(input, dim=none, *, correction=1, keepdim=false, out=none) calculates the variance and mean over the dimensions specified by dim. If you look at the. Torch Mean And Variance.
From www.slideserve.com
PPT Continuous Random Variables Chapter 5 PowerPoint Presentation Torch Mean And Variance Using the mean and std of imagenet is a common practice. Input must be floating point or complex. Var_mean (input, dim = none, *, correction = 1, keepdim = false, out = none) ¶ calculates the variance and mean over the dimensions. If you want to train from. Pytorch provides various inbuilt mathematical utilities to monitor the descriptive statistics of. Torch Mean And Variance.
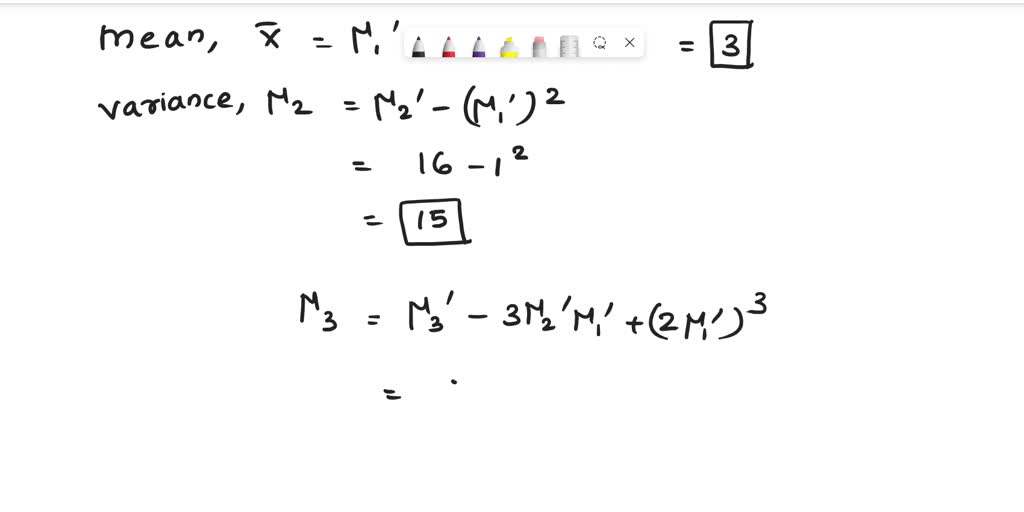
From www.chegg.com
Solved Question 1. [6 marks]. (a) Using the moment Torch Mean And Variance Pytorch provides various inbuilt mathematical utilities to monitor the descriptive statistics of a dataset at hand one of them. If you want to train from. They are calculated based on millions of images. Using the mean and std of imagenet is a common practice. Returns the mean value of all elements in the input tensor. If you look at the. Torch Mean And Variance.
From blog.csdn.net
avg = nn.AdaptiveAvgPool2d(1) 和 torch.meanCSDN博客 Torch Mean And Variance Torch.var_mean(input, dim=none, *, correction=1, keepdim=false, out=none) calculates the variance and mean over the dimensions specified by dim. They are calculated based on millions of images. Input must be floating point or complex. Pytorch provides various inbuilt mathematical utilities to monitor the descriptive statistics of a dataset at hand one of them. Returns the mean value of all elements in the. Torch Mean And Variance.