Cat Bite Treatment Protocol . bite wounds should be examined, cleaned, and irrigated with warm water or normal saline solution, and any foreign bodies and devitalized tissue should. Sometimes cats just give warning nips without breaking the skin, but other times the bites can result. management of mammalian bites. 49,56,57 of hand injuries, the index. cat bites commonly present as a single puncture, often on the hand or arm (91%). Bites from mammals may be associated with significant morbidity. Consider antibiotic prophylaxis for people with a cat. Mammalian bites are a significant public health problem in. offer antibiotic prophylaxis if the cat bite has broken the skin and drawn blood. Assess the severity of the bite.
from www.hse.ie
offer antibiotic prophylaxis if the cat bite has broken the skin and drawn blood. Mammalian bites are a significant public health problem in. cat bites commonly present as a single puncture, often on the hand or arm (91%). management of mammalian bites. Bites from mammals may be associated with significant morbidity. Sometimes cats just give warning nips without breaking the skin, but other times the bites can result. bite wounds should be examined, cleaned, and irrigated with warm water or normal saline solution, and any foreign bodies and devitalized tissue should. 49,56,57 of hand injuries, the index. Consider antibiotic prophylaxis for people with a cat. Assess the severity of the bite.
Bites (Human and Animal) Antibiotic Prescribing HSE.ie
Cat Bite Treatment Protocol Assess the severity of the bite. cat bites commonly present as a single puncture, often on the hand or arm (91%). Bites from mammals may be associated with significant morbidity. Mammalian bites are a significant public health problem in. offer antibiotic prophylaxis if the cat bite has broken the skin and drawn blood. management of mammalian bites. bite wounds should be examined, cleaned, and irrigated with warm water or normal saline solution, and any foreign bodies and devitalized tissue should. 49,56,57 of hand injuries, the index. Consider antibiotic prophylaxis for people with a cat. Assess the severity of the bite. Sometimes cats just give warning nips without breaking the skin, but other times the bites can result.
From www.catological.com
How To Treat A Cat Bite Treatment, Symptoms, Wound, And More Cat Bite Treatment Protocol Mammalian bites are a significant public health problem in. Consider antibiotic prophylaxis for people with a cat. management of mammalian bites. Sometimes cats just give warning nips without breaking the skin, but other times the bites can result. offer antibiotic prophylaxis if the cat bite has broken the skin and drawn blood. bite wounds should be examined,. Cat Bite Treatment Protocol.
From www.scribd.com
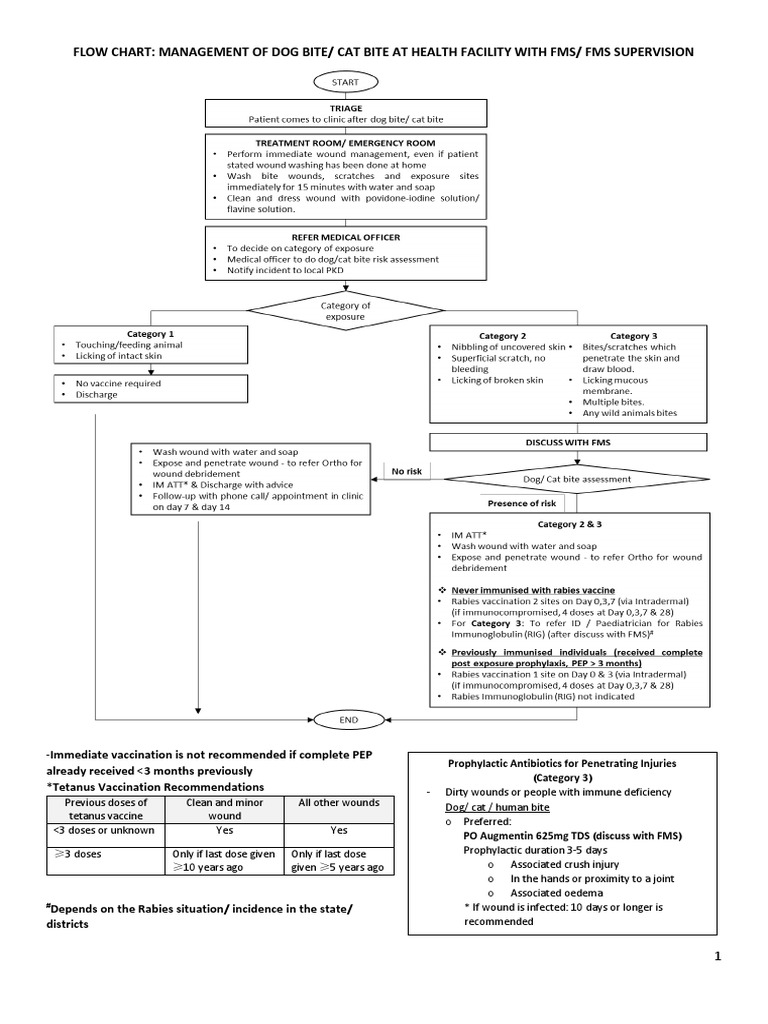
Flow Chart Management of Dog or Cat Bite 17.1.23 (V4) PDF Rabies Cat Bite Treatment Protocol offer antibiotic prophylaxis if the cat bite has broken the skin and drawn blood. management of mammalian bites. bite wounds should be examined, cleaned, and irrigated with warm water or normal saline solution, and any foreign bodies and devitalized tissue should. Assess the severity of the bite. Consider antibiotic prophylaxis for people with a cat. cat. Cat Bite Treatment Protocol.
From dxoinjjdx.blob.core.windows.net
Home Remedies For Cat Bite Infection at Carey West blog Cat Bite Treatment Protocol bite wounds should be examined, cleaned, and irrigated with warm water or normal saline solution, and any foreign bodies and devitalized tissue should. offer antibiotic prophylaxis if the cat bite has broken the skin and drawn blood. Mammalian bites are a significant public health problem in. Assess the severity of the bite. management of mammalian bites. Sometimes. Cat Bite Treatment Protocol.
From www.aafp.org
Dog and Cat Bites AAFP Cat Bite Treatment Protocol Consider antibiotic prophylaxis for people with a cat. Bites from mammals may be associated with significant morbidity. offer antibiotic prophylaxis if the cat bite has broken the skin and drawn blood. cat bites commonly present as a single puncture, often on the hand or arm (91%). bite wounds should be examined, cleaned, and irrigated with warm water. Cat Bite Treatment Protocol.
From www.aafp.org
Dog and Cat Bites AAFP Cat Bite Treatment Protocol offer antibiotic prophylaxis if the cat bite has broken the skin and drawn blood. Sometimes cats just give warning nips without breaking the skin, but other times the bites can result. management of mammalian bites. Bites from mammals may be associated with significant morbidity. 49,56,57 of hand injuries, the index. cat bites commonly present as a single. Cat Bite Treatment Protocol.
From kghinterpretation.com
Consecutive Interpreting Practice Cat Bite (ENEN) KGH Interpretation Cat Bite Treatment Protocol Consider antibiotic prophylaxis for people with a cat. 49,56,57 of hand injuries, the index. Mammalian bites are a significant public health problem in. management of mammalian bites. offer antibiotic prophylaxis if the cat bite has broken the skin and drawn blood. bite wounds should be examined, cleaned, and irrigated with warm water or normal saline solution, and. Cat Bite Treatment Protocol.
From www.catcornerblog.com
Best Cat Bite Antibiotic Essential Tips and for Cat Bite Treatment Protocol Sometimes cats just give warning nips without breaking the skin, but other times the bites can result. offer antibiotic prophylaxis if the cat bite has broken the skin and drawn blood. bite wounds should be examined, cleaned, and irrigated with warm water or normal saline solution, and any foreign bodies and devitalized tissue should. Bites from mammals may. Cat Bite Treatment Protocol.
From studylib.net
INSTRUCTION SHEET DOG AND CAT BITES University of North Carolina Cat Bite Treatment Protocol cat bites commonly present as a single puncture, often on the hand or arm (91%). Assess the severity of the bite. 49,56,57 of hand injuries, the index. Bites from mammals may be associated with significant morbidity. bite wounds should be examined, cleaned, and irrigated with warm water or normal saline solution, and any foreign bodies and devitalized tissue. Cat Bite Treatment Protocol.
From www.aafp.org
Dog and Cat Bites AAFP Cat Bite Treatment Protocol 49,56,57 of hand injuries, the index. Mammalian bites are a significant public health problem in. Consider antibiotic prophylaxis for people with a cat. bite wounds should be examined, cleaned, and irrigated with warm water or normal saline solution, and any foreign bodies and devitalized tissue should. offer antibiotic prophylaxis if the cat bite has broken the skin and. Cat Bite Treatment Protocol.
From brandondonnellymd.com
Cat Bite Infection Risk of Cat Bite to the Hand Brandon P. Donnelly, MD Cat Bite Treatment Protocol offer antibiotic prophylaxis if the cat bite has broken the skin and drawn blood. Mammalian bites are a significant public health problem in. Assess the severity of the bite. 49,56,57 of hand injuries, the index. management of mammalian bites. Consider antibiotic prophylaxis for people with a cat. Bites from mammals may be associated with significant morbidity. cat. Cat Bite Treatment Protocol.
From www.wikihow.com
How to Treat a Cat Bite 13 Steps (with Pictures) wikiHow Cat Bite Treatment Protocol cat bites commonly present as a single puncture, often on the hand or arm (91%). Bites from mammals may be associated with significant morbidity. bite wounds should be examined, cleaned, and irrigated with warm water or normal saline solution, and any foreign bodies and devitalized tissue should. offer antibiotic prophylaxis if the cat bite has broken the. Cat Bite Treatment Protocol.
From www.thepurringtonpost.com
Dealing With A Cat Bite The Purrington Post Cat Bite Treatment Protocol Assess the severity of the bite. offer antibiotic prophylaxis if the cat bite has broken the skin and drawn blood. Consider antibiotic prophylaxis for people with a cat. Sometimes cats just give warning nips without breaking the skin, but other times the bites can result. management of mammalian bites. bite wounds should be examined, cleaned, and irrigated. Cat Bite Treatment Protocol.
From drandyroark.com
Medicating Tips & Tricks How to Medicate Cats Positively! SOLD OUT Cat Bite Treatment Protocol cat bites commonly present as a single puncture, often on the hand or arm (91%). Bites from mammals may be associated with significant morbidity. offer antibiotic prophylaxis if the cat bite has broken the skin and drawn blood. Mammalian bites are a significant public health problem in. Consider antibiotic prophylaxis for people with a cat. management of. Cat Bite Treatment Protocol.
From www.academia.edu
(PDF) Cat bite wound infections A prospective clinical and Cat Bite Treatment Protocol Mammalian bites are a significant public health problem in. Sometimes cats just give warning nips without breaking the skin, but other times the bites can result. management of mammalian bites. offer antibiotic prophylaxis if the cat bite has broken the skin and drawn blood. bite wounds should be examined, cleaned, and irrigated with warm water or normal. Cat Bite Treatment Protocol.
From www.groomertogroomer.com
Cat Bite Care Groomer to Groomer Cat Bite Treatment Protocol Assess the severity of the bite. 49,56,57 of hand injuries, the index. Mammalian bites are a significant public health problem in. cat bites commonly present as a single puncture, often on the hand or arm (91%). Sometimes cats just give warning nips without breaking the skin, but other times the bites can result. bite wounds should be examined,. Cat Bite Treatment Protocol.
From finwise.edu.vn
List 103+ Pictures Flea Bites On Cats Pictures Completed Cat Bite Treatment Protocol cat bites commonly present as a single puncture, often on the hand or arm (91%). Bites from mammals may be associated with significant morbidity. Consider antibiotic prophylaxis for people with a cat. offer antibiotic prophylaxis if the cat bite has broken the skin and drawn blood. management of mammalian bites. Sometimes cats just give warning nips without. Cat Bite Treatment Protocol.
From www.aafp.org
Dog and Cat Bites AAFP Cat Bite Treatment Protocol 49,56,57 of hand injuries, the index. Bites from mammals may be associated with significant morbidity. Consider antibiotic prophylaxis for people with a cat. management of mammalian bites. bite wounds should be examined, cleaned, and irrigated with warm water or normal saline solution, and any foreign bodies and devitalized tissue should. Sometimes cats just give warning nips without breaking. Cat Bite Treatment Protocol.
From www.pinterest.co.uk
Melomag issue 04 autumn 2011 Animal bites, Pet health, First aid Cat Bite Treatment Protocol Mammalian bites are a significant public health problem in. management of mammalian bites. Assess the severity of the bite. Consider antibiotic prophylaxis for people with a cat. Bites from mammals may be associated with significant morbidity. bite wounds should be examined, cleaned, and irrigated with warm water or normal saline solution, and any foreign bodies and devitalized tissue. Cat Bite Treatment Protocol.
From ifunny.co
The stages of cellulitis by a cat bite (my own hand). It's still not Cat Bite Treatment Protocol cat bites commonly present as a single puncture, often on the hand or arm (91%). Mammalian bites are a significant public health problem in. Sometimes cats just give warning nips without breaking the skin, but other times the bites can result. offer antibiotic prophylaxis if the cat bite has broken the skin and drawn blood. 49,56,57 of hand. Cat Bite Treatment Protocol.
From www.youtube.com
having surgery for a cat bite YouTube Cat Bite Treatment Protocol Consider antibiotic prophylaxis for people with a cat. Sometimes cats just give warning nips without breaking the skin, but other times the bites can result. Assess the severity of the bite. Mammalian bites are a significant public health problem in. Bites from mammals may be associated with significant morbidity. cat bites commonly present as a single puncture, often on. Cat Bite Treatment Protocol.
From petsinfocenter.com
Cat Bite Treatment Guidelines Pets Info Center Cat Bite Treatment Protocol Assess the severity of the bite. Mammalian bites are a significant public health problem in. offer antibiotic prophylaxis if the cat bite has broken the skin and drawn blood. Bites from mammals may be associated with significant morbidity. Sometimes cats just give warning nips without breaking the skin, but other times the bites can result. management of mammalian. Cat Bite Treatment Protocol.
From www.hse.ie
Bites (Human and Animal) Antibiotic Prescribing HSE.ie Cat Bite Treatment Protocol management of mammalian bites. cat bites commonly present as a single puncture, often on the hand or arm (91%). Consider antibiotic prophylaxis for people with a cat. 49,56,57 of hand injuries, the index. Sometimes cats just give warning nips without breaking the skin, but other times the bites can result. bite wounds should be examined, cleaned, and. Cat Bite Treatment Protocol.
From exonvhcun.blob.core.windows.net
How To Take Care Of A Cat Bite at Evette Brew blog Cat Bite Treatment Protocol Bites from mammals may be associated with significant morbidity. Mammalian bites are a significant public health problem in. 49,56,57 of hand injuries, the index. Assess the severity of the bite. bite wounds should be examined, cleaned, and irrigated with warm water or normal saline solution, and any foreign bodies and devitalized tissue should. Consider antibiotic prophylaxis for people with. Cat Bite Treatment Protocol.
From felinefascination.com
7 Steps to Clean a Cat Bite Safely Cat Bite Treatment Protocol Consider antibiotic prophylaxis for people with a cat. Sometimes cats just give warning nips without breaking the skin, but other times the bites can result. cat bites commonly present as a single puncture, often on the hand or arm (91%). Mammalian bites are a significant public health problem in. bite wounds should be examined, cleaned, and irrigated with. Cat Bite Treatment Protocol.
From www.catcornerblog.com
Best Cat Bite Antibiotic Essential Tips and for Cat Bite Treatment Protocol cat bites commonly present as a single puncture, often on the hand or arm (91%). Mammalian bites are a significant public health problem in. management of mammalian bites. bite wounds should be examined, cleaned, and irrigated with warm water or normal saline solution, and any foreign bodies and devitalized tissue should. Consider antibiotic prophylaxis for people with. Cat Bite Treatment Protocol.
From www.thehappycatsite.com
How to Treat a Cat Bite and When to See the Doctor Cat Bite Treatment Protocol bite wounds should be examined, cleaned, and irrigated with warm water or normal saline solution, and any foreign bodies and devitalized tissue should. offer antibiotic prophylaxis if the cat bite has broken the skin and drawn blood. Mammalian bites are a significant public health problem in. Assess the severity of the bite. cat bites commonly present as. Cat Bite Treatment Protocol.
From www.withpower.com
Antibiotics for Cat Bite Injuries Clinical Trial 2024 Power Cat Bite Treatment Protocol 49,56,57 of hand injuries, the index. Mammalian bites are a significant public health problem in. Consider antibiotic prophylaxis for people with a cat. Assess the severity of the bite. bite wounds should be examined, cleaned, and irrigated with warm water or normal saline solution, and any foreign bodies and devitalized tissue should. Sometimes cats just give warning nips without. Cat Bite Treatment Protocol.
From www.clearvuehealth.com
3 Charts Cat Bite Guide Symptoms and First Aid Cat Bite Treatment Protocol Sometimes cats just give warning nips without breaking the skin, but other times the bites can result. management of mammalian bites. 49,56,57 of hand injuries, the index. offer antibiotic prophylaxis if the cat bite has broken the skin and drawn blood. bite wounds should be examined, cleaned, and irrigated with warm water or normal saline solution, and. Cat Bite Treatment Protocol.
From www.nice.org.uk
Overview Human and animal bites antimicrobial prescribing Guidance Cat Bite Treatment Protocol offer antibiotic prophylaxis if the cat bite has broken the skin and drawn blood. bite wounds should be examined, cleaned, and irrigated with warm water or normal saline solution, and any foreign bodies and devitalized tissue should. Assess the severity of the bite. management of mammalian bites. 49,56,57 of hand injuries, the index. Mammalian bites are a. Cat Bite Treatment Protocol.
From www.bmj.com
Managing snakebite The BMJ Cat Bite Treatment Protocol Consider antibiotic prophylaxis for people with a cat. Mammalian bites are a significant public health problem in. management of mammalian bites. offer antibiotic prophylaxis if the cat bite has broken the skin and drawn blood. Bites from mammals may be associated with significant morbidity. Sometimes cats just give warning nips without breaking the skin, but other times the. Cat Bite Treatment Protocol.
From www.australiawidefirstaid.com.au
Animal Bites First Aid Cat Bite Treatment Protocol Consider antibiotic prophylaxis for people with a cat. Sometimes cats just give warning nips without breaking the skin, but other times the bites can result. offer antibiotic prophylaxis if the cat bite has broken the skin and drawn blood. cat bites commonly present as a single puncture, often on the hand or arm (91%). bite wounds should. Cat Bite Treatment Protocol.
From www.researchgate.net
(PDF) Cat And Dog Bites. What To Do? Guidelines for the treatment of Cat Bite Treatment Protocol Bites from mammals may be associated with significant morbidity. management of mammalian bites. Assess the severity of the bite. 49,56,57 of hand injuries, the index. Sometimes cats just give warning nips without breaking the skin, but other times the bites can result. Mammalian bites are a significant public health problem in. Consider antibiotic prophylaxis for people with a cat.. Cat Bite Treatment Protocol.
From sleck.net
Cat Bite Infection 4 Important Types To Note For Better Treatment! SLECK Cat Bite Treatment Protocol management of mammalian bites. offer antibiotic prophylaxis if the cat bite has broken the skin and drawn blood. Consider antibiotic prophylaxis for people with a cat. bite wounds should be examined, cleaned, and irrigated with warm water or normal saline solution, and any foreign bodies and devitalized tissue should. Mammalian bites are a significant public health problem. Cat Bite Treatment Protocol.
From www.clearvuehealth.com
3 Charts Cat Bite Guide Symptoms and First Aid Cat Bite Treatment Protocol Sometimes cats just give warning nips without breaking the skin, but other times the bites can result. Assess the severity of the bite. Consider antibiotic prophylaxis for people with a cat. 49,56,57 of hand injuries, the index. Bites from mammals may be associated with significant morbidity. bite wounds should be examined, cleaned, and irrigated with warm water or normal. Cat Bite Treatment Protocol.
From howtocareis.blogspot.com
How To Care For A Cat Bite Wound How To Care Info Cat Bite Treatment Protocol bite wounds should be examined, cleaned, and irrigated with warm water or normal saline solution, and any foreign bodies and devitalized tissue should. management of mammalian bites. Consider antibiotic prophylaxis for people with a cat. Assess the severity of the bite. 49,56,57 of hand injuries, the index. Sometimes cats just give warning nips without breaking the skin, but. Cat Bite Treatment Protocol.