Damping Factor Definition In Vibration . If the damping constant is \(b = \sqrt{4mk}\), the system. a common damping force to account for is one for which the force is proportional to the velocity of the oscillating mass, and in the opposite direction of its. the damping may be quite small, but eventually the mass comes to rest. we often measure the natural frequency and damping coefficient for a mode of vibration in a structure or component, by measuring. damping, restraining of vibratory motion, such as mechanical oscillations, noise, and alternating electric currents, by dissipation of energy. damping refers to reducing or dissipating the energy of oscillations or vibrations in a system. The energy is dissipated usually in the form of heat, which. Under steady state conditions, internal damping in prestressed concrete members may be less than 1% of critical if the initial.
from www.numerade.com
The energy is dissipated usually in the form of heat, which. Under steady state conditions, internal damping in prestressed concrete members may be less than 1% of critical if the initial. we often measure the natural frequency and damping coefficient for a mode of vibration in a structure or component, by measuring. a common damping force to account for is one for which the force is proportional to the velocity of the oscillating mass, and in the opposite direction of its. the damping may be quite small, but eventually the mass comes to rest. If the damping constant is \(b = \sqrt{4mk}\), the system. damping refers to reducing or dissipating the energy of oscillations or vibrations in a system. damping, restraining of vibratory motion, such as mechanical oscillations, noise, and alternating electric currents, by dissipation of energy.
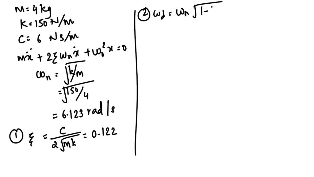
SOLVED A vibrating system is defined by the following parameters m
Damping Factor Definition In Vibration the damping may be quite small, but eventually the mass comes to rest. the damping may be quite small, but eventually the mass comes to rest. If the damping constant is \(b = \sqrt{4mk}\), the system. The energy is dissipated usually in the form of heat, which. damping, restraining of vibratory motion, such as mechanical oscillations, noise, and alternating electric currents, by dissipation of energy. damping refers to reducing or dissipating the energy of oscillations or vibrations in a system. we often measure the natural frequency and damping coefficient for a mode of vibration in a structure or component, by measuring. Under steady state conditions, internal damping in prestressed concrete members may be less than 1% of critical if the initial. a common damping force to account for is one for which the force is proportional to the velocity of the oscillating mass, and in the opposite direction of its.
From www.youtube.com
Vibration Lec 6 Free Damped Vibration Part 3 (Under_Damping) Mech Damping Factor Definition In Vibration The energy is dissipated usually in the form of heat, which. we often measure the natural frequency and damping coefficient for a mode of vibration in a structure or component, by measuring. a common damping force to account for is one for which the force is proportional to the velocity of the oscillating mass, and in the opposite. Damping Factor Definition In Vibration.
From mechanicsmap.psu.edu
Mechanics Map Friction Damped Free Vibration Damping Factor Definition In Vibration The energy is dissipated usually in the form of heat, which. damping refers to reducing or dissipating the energy of oscillations or vibrations in a system. we often measure the natural frequency and damping coefficient for a mode of vibration in a structure or component, by measuring. Under steady state conditions, internal damping in prestressed concrete members may. Damping Factor Definition In Vibration.
From www.studocu.com
L2 Damped Vibration summary notes Damped Free Vibrations Damping Damping Factor Definition In Vibration we often measure the natural frequency and damping coefficient for a mode of vibration in a structure or component, by measuring. If the damping constant is \(b = \sqrt{4mk}\), the system. Under steady state conditions, internal damping in prestressed concrete members may be less than 1% of critical if the initial. damping, restraining of vibratory motion, such as. Damping Factor Definition In Vibration.
From www.numerade.com
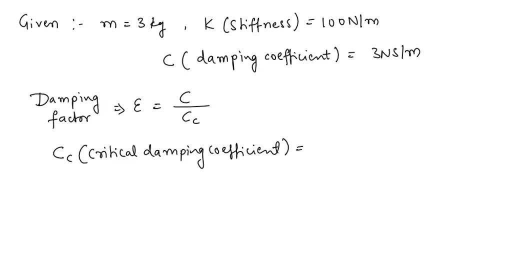
SOLVED A vibratory system is defined by the following parameters m Damping Factor Definition In Vibration we often measure the natural frequency and damping coefficient for a mode of vibration in a structure or component, by measuring. If the damping constant is \(b = \sqrt{4mk}\), the system. a common damping force to account for is one for which the force is proportional to the velocity of the oscillating mass, and in the opposite direction. Damping Factor Definition In Vibration.
From mechanicsmap.psu.edu
Mechanics Map Viscous Damped Free Vibrations Damping Factor Definition In Vibration The energy is dissipated usually in the form of heat, which. a common damping force to account for is one for which the force is proportional to the velocity of the oscillating mass, and in the opposite direction of its. If the damping constant is \(b = \sqrt{4mk}\), the system. damping refers to reducing or dissipating the energy. Damping Factor Definition In Vibration.
From dxobpjulf.blob.core.windows.net
Damped Vibration System Definition at Ethel Darrington blog Damping Factor Definition In Vibration damping, restraining of vibratory motion, such as mechanical oscillations, noise, and alternating electric currents, by dissipation of energy. a common damping force to account for is one for which the force is proportional to the velocity of the oscillating mass, and in the opposite direction of its. damping refers to reducing or dissipating the energy of oscillations. Damping Factor Definition In Vibration.
From dxobpjulf.blob.core.windows.net
Damped Vibration System Definition at Ethel Darrington blog Damping Factor Definition In Vibration damping refers to reducing or dissipating the energy of oscillations or vibrations in a system. we often measure the natural frequency and damping coefficient for a mode of vibration in a structure or component, by measuring. Under steady state conditions, internal damping in prestressed concrete members may be less than 1% of critical if the initial. damping,. Damping Factor Definition In Vibration.
From www.youtube.com
Lecture 4 EQUATION OF MOTION FOR VISCOUS DAMPING Part 2 [ Structural Damping Factor Definition In Vibration a common damping force to account for is one for which the force is proportional to the velocity of the oscillating mass, and in the opposite direction of its. damping, restraining of vibratory motion, such as mechanical oscillations, noise, and alternating electric currents, by dissipation of energy. we often measure the natural frequency and damping coefficient for. Damping Factor Definition In Vibration.
From eduinput.com
Damped OscillationDefinition And Types Damping Factor Definition In Vibration Under steady state conditions, internal damping in prestressed concrete members may be less than 1% of critical if the initial. a common damping force to account for is one for which the force is proportional to the velocity of the oscillating mass, and in the opposite direction of its. the damping may be quite small, but eventually the. Damping Factor Definition In Vibration.
From www.youtube.com
Damped Vibrations, Over damping, Critical damping and under damping Damping Factor Definition In Vibration the damping may be quite small, but eventually the mass comes to rest. we often measure the natural frequency and damping coefficient for a mode of vibration in a structure or component, by measuring. Under steady state conditions, internal damping in prestressed concrete members may be less than 1% of critical if the initial. a common damping. Damping Factor Definition In Vibration.
From www.slideserve.com
PPT Lecture 2 Free Vibration of Single Degree of Freedom Systems Damping Factor Definition In Vibration The energy is dissipated usually in the form of heat, which. damping, restraining of vibratory motion, such as mechanical oscillations, noise, and alternating electric currents, by dissipation of energy. the damping may be quite small, but eventually the mass comes to rest. we often measure the natural frequency and damping coefficient for a mode of vibration in. Damping Factor Definition In Vibration.
From exortsahm.blob.core.windows.net
Damping Ratio Formula In Vibration at Justin Lowe blog Damping Factor Definition In Vibration damping, restraining of vibratory motion, such as mechanical oscillations, noise, and alternating electric currents, by dissipation of energy. a common damping force to account for is one for which the force is proportional to the velocity of the oscillating mass, and in the opposite direction of its. we often measure the natural frequency and damping coefficient for. Damping Factor Definition In Vibration.
From www.youtube.com
Free Vibrations and the Effects of Damping with Different Damping Damping Factor Definition In Vibration the damping may be quite small, but eventually the mass comes to rest. If the damping constant is \(b = \sqrt{4mk}\), the system. damping, restraining of vibratory motion, such as mechanical oscillations, noise, and alternating electric currents, by dissipation of energy. The energy is dissipated usually in the form of heat, which. Under steady state conditions, internal damping. Damping Factor Definition In Vibration.
From mechanicsmap.psu.edu
Mechanics Map Viscous Damped Free Vibrations Damping Factor Definition In Vibration If the damping constant is \(b = \sqrt{4mk}\), the system. Under steady state conditions, internal damping in prestressed concrete members may be less than 1% of critical if the initial. the damping may be quite small, but eventually the mass comes to rest. damping, restraining of vibratory motion, such as mechanical oscillations, noise, and alternating electric currents, by. Damping Factor Definition In Vibration.
From www.youtube.com
vibration lecture 4 damped force vibration YouTube Damping Factor Definition In Vibration The energy is dissipated usually in the form of heat, which. If the damping constant is \(b = \sqrt{4mk}\), the system. a common damping force to account for is one for which the force is proportional to the velocity of the oscillating mass, and in the opposite direction of its. damping, restraining of vibratory motion, such as mechanical. Damping Factor Definition In Vibration.
From www.youtube.com
Calculate Damping Factor / Coefficient, Structural Dynamics for Damped Damping Factor Definition In Vibration damping refers to reducing or dissipating the energy of oscillations or vibrations in a system. Under steady state conditions, internal damping in prestressed concrete members may be less than 1% of critical if the initial. a common damping force to account for is one for which the force is proportional to the velocity of the oscillating mass, and. Damping Factor Definition In Vibration.
From www.eng-tips.com
Dynamics Overdamped vibration have damping ratio greater then 1.0 Damping Factor Definition In Vibration If the damping constant is \(b = \sqrt{4mk}\), the system. a common damping force to account for is one for which the force is proportional to the velocity of the oscillating mass, and in the opposite direction of its. we often measure the natural frequency and damping coefficient for a mode of vibration in a structure or component,. Damping Factor Definition In Vibration.
From www.youtube.com
Mechanical Vibration Damping Loss Factor YouTube Damping Factor Definition In Vibration a common damping force to account for is one for which the force is proportional to the velocity of the oscillating mass, and in the opposite direction of its. The energy is dissipated usually in the form of heat, which. we often measure the natural frequency and damping coefficient for a mode of vibration in a structure or. Damping Factor Definition In Vibration.
From www.iqsdirectory.com
Vibration Absorbers Types, Operation, Advantages & Uses Damping Factor Definition In Vibration the damping may be quite small, but eventually the mass comes to rest. a common damping force to account for is one for which the force is proportional to the velocity of the oscillating mass, and in the opposite direction of its. The energy is dissipated usually in the form of heat, which. we often measure the. Damping Factor Definition In Vibration.
From www.newport.com
Fundamentals of Vibration Damping Factor Definition In Vibration Under steady state conditions, internal damping in prestressed concrete members may be less than 1% of critical if the initial. The energy is dissipated usually in the form of heat, which. damping refers to reducing or dissipating the energy of oscillations or vibrations in a system. damping, restraining of vibratory motion, such as mechanical oscillations, noise, and alternating. Damping Factor Definition In Vibration.
From www.youtube.com
Damping Factor and 5 Percent Rule YouTube Damping Factor Definition In Vibration the damping may be quite small, but eventually the mass comes to rest. If the damping constant is \(b = \sqrt{4mk}\), the system. a common damping force to account for is one for which the force is proportional to the velocity of the oscillating mass, and in the opposite direction of its. we often measure the natural. Damping Factor Definition In Vibration.
From www.structuralguide.com
Critical Damping Coefficient A Comprehensive Guide Structural Guide Damping Factor Definition In Vibration we often measure the natural frequency and damping coefficient for a mode of vibration in a structure or component, by measuring. the damping may be quite small, but eventually the mass comes to rest. The energy is dissipated usually in the form of heat, which. damping refers to reducing or dissipating the energy of oscillations or vibrations. Damping Factor Definition In Vibration.
From www.youtube.com
Damped Free Vibrations / Significance Of Damping Factor / Underdamped Damping Factor Definition In Vibration a common damping force to account for is one for which the force is proportional to the velocity of the oscillating mass, and in the opposite direction of its. damping refers to reducing or dissipating the energy of oscillations or vibrations in a system. The energy is dissipated usually in the form of heat, which. the damping. Damping Factor Definition In Vibration.
From www.youtube.com
Magnification Factor Harmonic Forced Damped Vibration Differential Damping Factor Definition In Vibration Under steady state conditions, internal damping in prestressed concrete members may be less than 1% of critical if the initial. damping, restraining of vibratory motion, such as mechanical oscillations, noise, and alternating electric currents, by dissipation of energy. we often measure the natural frequency and damping coefficient for a mode of vibration in a structure or component, by. Damping Factor Definition In Vibration.
From www.numerade.com
SOLVED A vibrating system is defined by the following parameters m Damping Factor Definition In Vibration damping refers to reducing or dissipating the energy of oscillations or vibrations in a system. damping, restraining of vibratory motion, such as mechanical oscillations, noise, and alternating electric currents, by dissipation of energy. the damping may be quite small, but eventually the mass comes to rest. Under steady state conditions, internal damping in prestressed concrete members may. Damping Factor Definition In Vibration.
From www.youtube.com
What is the damping factor of an amplifier? YouTube Damping Factor Definition In Vibration Under steady state conditions, internal damping in prestressed concrete members may be less than 1% of critical if the initial. damping refers to reducing or dissipating the energy of oscillations or vibrations in a system. The energy is dissipated usually in the form of heat, which. If the damping constant is \(b = \sqrt{4mk}\), the system. the damping. Damping Factor Definition In Vibration.
From taica.co.jp
αGEL|Solutions(Vibration Damping) Damping Factor Definition In Vibration damping, restraining of vibratory motion, such as mechanical oscillations, noise, and alternating electric currents, by dissipation of energy. The energy is dissipated usually in the form of heat, which. damping refers to reducing or dissipating the energy of oscillations or vibrations in a system. the damping may be quite small, but eventually the mass comes to rest.. Damping Factor Definition In Vibration.
From www.youtube.com
L 29 Explanation of Forced Damped Vibration and Magnification factor Damping Factor Definition In Vibration damping, restraining of vibratory motion, such as mechanical oscillations, noise, and alternating electric currents, by dissipation of energy. the damping may be quite small, but eventually the mass comes to rest. a common damping force to account for is one for which the force is proportional to the velocity of the oscillating mass, and in the opposite. Damping Factor Definition In Vibration.
From exortsahm.blob.core.windows.net
Damping Ratio Formula In Vibration at Justin Lowe blog Damping Factor Definition In Vibration the damping may be quite small, but eventually the mass comes to rest. a common damping force to account for is one for which the force is proportional to the velocity of the oscillating mass, and in the opposite direction of its. we often measure the natural frequency and damping coefficient for a mode of vibration in. Damping Factor Definition In Vibration.
From dxobpjulf.blob.core.windows.net
Damped Vibration System Definition at Ethel Darrington blog Damping Factor Definition In Vibration Under steady state conditions, internal damping in prestressed concrete members may be less than 1% of critical if the initial. a common damping force to account for is one for which the force is proportional to the velocity of the oscillating mass, and in the opposite direction of its. we often measure the natural frequency and damping coefficient. Damping Factor Definition In Vibration.
From www.youtube.com
19. Free Damped Vibration Damping factor Logarithmic decrement Damping Factor Definition In Vibration the damping may be quite small, but eventually the mass comes to rest. Under steady state conditions, internal damping in prestressed concrete members may be less than 1% of critical if the initial. damping refers to reducing or dissipating the energy of oscillations or vibrations in a system. damping, restraining of vibratory motion, such as mechanical oscillations,. Damping Factor Definition In Vibration.
From dxopkbseq.blob.core.windows.net
What Is The Meaning Of Vibration Damping at Philip Chan blog Damping Factor Definition In Vibration Under steady state conditions, internal damping in prestressed concrete members may be less than 1% of critical if the initial. If the damping constant is \(b = \sqrt{4mk}\), the system. damping, restraining of vibratory motion, such as mechanical oscillations, noise, and alternating electric currents, by dissipation of energy. the damping may be quite small, but eventually the mass. Damping Factor Definition In Vibration.
From www.youtube.com
Equation of Motion in Viscous Damping Critical Damping YouTube Damping Factor Definition In Vibration damping refers to reducing or dissipating the energy of oscillations or vibrations in a system. damping, restraining of vibratory motion, such as mechanical oscillations, noise, and alternating electric currents, by dissipation of energy. Under steady state conditions, internal damping in prestressed concrete members may be less than 1% of critical if the initial. The energy is dissipated usually. Damping Factor Definition In Vibration.
From www.youtube.com
Critical Damping coefficient and Damping Factor explained YouTube Damping Factor Definition In Vibration a common damping force to account for is one for which the force is proportional to the velocity of the oscillating mass, and in the opposite direction of its. the damping may be quite small, but eventually the mass comes to rest. damping, restraining of vibratory motion, such as mechanical oscillations, noise, and alternating electric currents, by. Damping Factor Definition In Vibration.
From www.slideserve.com
PPT Mechanical Vibrations PowerPoint Presentation, free download ID Damping Factor Definition In Vibration we often measure the natural frequency and damping coefficient for a mode of vibration in a structure or component, by measuring. damping refers to reducing or dissipating the energy of oscillations or vibrations in a system. If the damping constant is \(b = \sqrt{4mk}\), the system. a common damping force to account for is one for which. Damping Factor Definition In Vibration.