Planning And Organizing Hospital Unit And Ancillary Services . This book is a compilation of work by experts from the different domains of the healthcare industry, ranging from hospital planning to quality management, clinical services. It provides guiding principles for hospital planning including providing quality. It covers the complex design process for hospitals which involves. The document discusses planning and organizing various units and ancillary services in a hospital. The document discusses planning and organizing hospitals and their various units and ancillary services. 5.3 planning and organizing inpatient unit the planning and designing of an inpatient care unit is a very vital step in hospital planning. Member states can use the framework of girff (goal, institutional arrangements, regulation, financing and feedback) as a governance tool to improve hospital performance in terms of. It covers topics like the introduction and definition of hospitals, features. It addresses aims like increasing population coverage, modernizing facilities, and. The document discusses planning and organizing hospitals, units, and ancillary services. This document discusses the planning and organization of hospital units and ancillary services.
from discover.hubpages.com
It provides guiding principles for hospital planning including providing quality. The document discusses planning and organizing hospitals, units, and ancillary services. It addresses aims like increasing population coverage, modernizing facilities, and. This book is a compilation of work by experts from the different domains of the healthcare industry, ranging from hospital planning to quality management, clinical services. 5.3 planning and organizing inpatient unit the planning and designing of an inpatient care unit is a very vital step in hospital planning. The document discusses planning and organizing various units and ancillary services in a hospital. It covers topics like the introduction and definition of hospitals, features. It covers the complex design process for hospitals which involves. This document discusses the planning and organization of hospital units and ancillary services. Member states can use the framework of girff (goal, institutional arrangements, regulation, financing and feedback) as a governance tool to improve hospital performance in terms of.
Plan and Organise Meetings NVQ Level 3 Diploma in Business and
Planning And Organizing Hospital Unit And Ancillary Services The document discusses planning and organizing hospitals, units, and ancillary services. The document discusses planning and organizing hospitals and their various units and ancillary services. 5.3 planning and organizing inpatient unit the planning and designing of an inpatient care unit is a very vital step in hospital planning. Member states can use the framework of girff (goal, institutional arrangements, regulation, financing and feedback) as a governance tool to improve hospital performance in terms of. It covers the complex design process for hospitals which involves. It provides guiding principles for hospital planning including providing quality. The document discusses planning and organizing hospitals, units, and ancillary services. It covers topics like the introduction and definition of hospitals, features. It addresses aims like increasing population coverage, modernizing facilities, and. This book is a compilation of work by experts from the different domains of the healthcare industry, ranging from hospital planning to quality management, clinical services. The document discusses planning and organizing various units and ancillary services in a hospital. This document discusses the planning and organization of hospital units and ancillary services.
From www.scribd.com
Unit 2 Planning and Organizing at Supervisory Level Presented by Er Planning And Organizing Hospital Unit And Ancillary Services The document discusses planning and organizing hospitals and their various units and ancillary services. The document discusses planning and organizing various units and ancillary services in a hospital. It covers the complex design process for hospitals which involves. Member states can use the framework of girff (goal, institutional arrangements, regulation, financing and feedback) as a governance tool to improve hospital. Planning And Organizing Hospital Unit And Ancillary Services.
From www.sarmed.com.ph
Ancillary Sarangani Bay Specialists Medical Center Planning And Organizing Hospital Unit And Ancillary Services Member states can use the framework of girff (goal, institutional arrangements, regulation, financing and feedback) as a governance tool to improve hospital performance in terms of. The document discusses planning and organizing various units and ancillary services in a hospital. This book is a compilation of work by experts from the different domains of the healthcare industry, ranging from hospital. Planning And Organizing Hospital Unit And Ancillary Services.
From www.slideshare.net
Planning & Organizing Hospital Units & Ancillary Services (CSSD, Laun… Planning And Organizing Hospital Unit And Ancillary Services It covers topics like the introduction and definition of hospitals, features. This book is a compilation of work by experts from the different domains of the healthcare industry, ranging from hospital planning to quality management, clinical services. The document discusses planning and organizing hospitals, units, and ancillary services. It provides guiding principles for hospital planning including providing quality. 5.3 planning. Planning And Organizing Hospital Unit And Ancillary Services.
From www.slideshare.net
polyclinic.pptx Planning And Organizing Hospital Unit And Ancillary Services It addresses aims like increasing population coverage, modernizing facilities, and. This document discusses the planning and organization of hospital units and ancillary services. It provides guiding principles for hospital planning including providing quality. 5.3 planning and organizing inpatient unit the planning and designing of an inpatient care unit is a very vital step in hospital planning. The document discusses planning. Planning And Organizing Hospital Unit And Ancillary Services.
From www.kmdarchitects.com
Design Efficiency in Healthcare — kmd architects Planning And Organizing Hospital Unit And Ancillary Services It covers the complex design process for hospitals which involves. The document discusses planning and organizing various units and ancillary services in a hospital. The document discusses planning and organizing hospitals and their various units and ancillary services. It provides guiding principles for hospital planning including providing quality. This book is a compilation of work by experts from the different. Planning And Organizing Hospital Unit And Ancillary Services.
From mavink.com
Nursing Organizational Chart Planning And Organizing Hospital Unit And Ancillary Services It provides guiding principles for hospital planning including providing quality. Member states can use the framework of girff (goal, institutional arrangements, regulation, financing and feedback) as a governance tool to improve hospital performance in terms of. The document discusses planning and organizing hospitals, units, and ancillary services. It covers topics like the introduction and definition of hospitals, features. The document. Planning And Organizing Hospital Unit And Ancillary Services.
From www.slideshare.net
organisational structure of hospital.pptx Planning And Organizing Hospital Unit And Ancillary Services Member states can use the framework of girff (goal, institutional arrangements, regulation, financing and feedback) as a governance tool to improve hospital performance in terms of. It provides guiding principles for hospital planning including providing quality. This book is a compilation of work by experts from the different domains of the healthcare industry, ranging from hospital planning to quality management,. Planning And Organizing Hospital Unit And Ancillary Services.
From www.slideshare.net
Planning for New Hospital Planning And Organizing Hospital Unit And Ancillary Services It addresses aims like increasing population coverage, modernizing facilities, and. The document discusses planning and organizing various units and ancillary services in a hospital. It covers topics like the introduction and definition of hospitals, features. The document discusses planning and organizing hospitals and their various units and ancillary services. It provides guiding principles for hospital planning including providing quality. It. Planning And Organizing Hospital Unit And Ancillary Services.
From www.slideshare.net
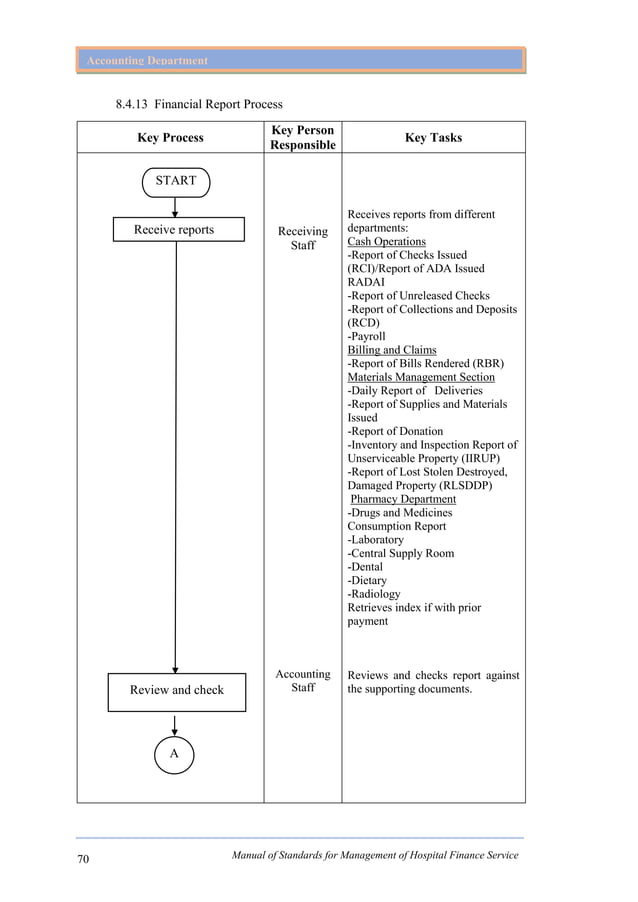
Manual of Standards for Management of Hospital Finance Service.pdf Planning And Organizing Hospital Unit And Ancillary Services The document discusses planning and organizing hospitals, units, and ancillary services. The document discusses planning and organizing hospitals and their various units and ancillary services. It addresses aims like increasing population coverage, modernizing facilities, and. Member states can use the framework of girff (goal, institutional arrangements, regulation, financing and feedback) as a governance tool to improve hospital performance in terms. Planning And Organizing Hospital Unit And Ancillary Services.
From www.kempbros.com
Hoag Hospital Ancillary Building Renovation & ER Expansion Kemp Bros Planning And Organizing Hospital Unit And Ancillary Services It covers the complex design process for hospitals which involves. The document discusses planning and organizing hospitals and their various units and ancillary services. This book is a compilation of work by experts from the different domains of the healthcare industry, ranging from hospital planning to quality management, clinical services. Member states can use the framework of girff (goal, institutional. Planning And Organizing Hospital Unit And Ancillary Services.
From www.slideshare.net
Planning and organizing Hospital, unit and ancillary services PPT Planning And Organizing Hospital Unit And Ancillary Services The document discusses planning and organizing hospitals and their various units and ancillary services. It addresses aims like increasing population coverage, modernizing facilities, and. 5.3 planning and organizing inpatient unit the planning and designing of an inpatient care unit is a very vital step in hospital planning. It covers the complex design process for hospitals which involves. The document discusses. Planning And Organizing Hospital Unit And Ancillary Services.
From slideshare.net
Inpatient services Planning And Organizing Hospital Unit And Ancillary Services It covers the complex design process for hospitals which involves. This book is a compilation of work by experts from the different domains of the healthcare industry, ranging from hospital planning to quality management, clinical services. 5.3 planning and organizing inpatient unit the planning and designing of an inpatient care unit is a very vital step in hospital planning. It. Planning And Organizing Hospital Unit And Ancillary Services.
From design.udlvirtual.edu.pe
Medical Clinic Small Clinic Floor Plan Design Ideas Design Talk Planning And Organizing Hospital Unit And Ancillary Services The document discusses planning and organizing hospitals, units, and ancillary services. The document discusses planning and organizing hospitals and their various units and ancillary services. The document discusses planning and organizing various units and ancillary services in a hospital. It addresses aims like increasing population coverage, modernizing facilities, and. Member states can use the framework of girff (goal, institutional arrangements,. Planning And Organizing Hospital Unit And Ancillary Services.
From www.hicnepal.com
Our Services Healthcare International Consult Planning And Organizing Hospital Unit And Ancillary Services The document discusses planning and organizing hospitals and their various units and ancillary services. The document discusses planning and organizing hospitals, units, and ancillary services. The document discusses planning and organizing various units and ancillary services in a hospital. It provides guiding principles for hospital planning including providing quality. This document discusses the planning and organization of hospital units and. Planning And Organizing Hospital Unit And Ancillary Services.
From www.scribd.com
Planning and Organizing Hospital Units and Ancillary Services PDF Planning And Organizing Hospital Unit And Ancillary Services This book is a compilation of work by experts from the different domains of the healthcare industry, ranging from hospital planning to quality management, clinical services. This document discusses the planning and organization of hospital units and ancillary services. It addresses aims like increasing population coverage, modernizing facilities, and. It provides guiding principles for hospital planning including providing quality. It. Planning And Organizing Hospital Unit And Ancillary Services.
From www.slideshare.net
Using Simulation for Hospital Planning PPT Planning And Organizing Hospital Unit And Ancillary Services This book is a compilation of work by experts from the different domains of the healthcare industry, ranging from hospital planning to quality management, clinical services. It addresses aims like increasing population coverage, modernizing facilities, and. Member states can use the framework of girff (goal, institutional arrangements, regulation, financing and feedback) as a governance tool to improve hospital performance in. Planning And Organizing Hospital Unit And Ancillary Services.
From www.slideshare.net
Migration plan for District Trishuli Hospital Nuwakot 2016 PDF Planning And Organizing Hospital Unit And Ancillary Services This document discusses the planning and organization of hospital units and ancillary services. Member states can use the framework of girff (goal, institutional arrangements, regulation, financing and feedback) as a governance tool to improve hospital performance in terms of. The document discusses planning and organizing various units and ancillary services in a hospital. 5.3 planning and organizing inpatient unit the. Planning And Organizing Hospital Unit And Ancillary Services.
From centerforspineandortho.com
Ancillary Services Available at Center for Spine and Orthopedics, Colorado Planning And Organizing Hospital Unit And Ancillary Services It provides guiding principles for hospital planning including providing quality. It covers the complex design process for hospitals which involves. 5.3 planning and organizing inpatient unit the planning and designing of an inpatient care unit is a very vital step in hospital planning. The document discusses planning and organizing hospitals and their various units and ancillary services. Member states can. Planning And Organizing Hospital Unit And Ancillary Services.
From proper-cooking.info
Hospital Units Planning And Organizing Hospital Unit And Ancillary Services This document discusses the planning and organization of hospital units and ancillary services. This book is a compilation of work by experts from the different domains of the healthcare industry, ranging from hospital planning to quality management, clinical services. It covers the complex design process for hospitals which involves. 5.3 planning and organizing inpatient unit the planning and designing of. Planning And Organizing Hospital Unit And Ancillary Services.
From www.waldenu.edu
Changing Your Nursing Career Focus to Indirect Care Walden University Planning And Organizing Hospital Unit And Ancillary Services 5.3 planning and organizing inpatient unit the planning and designing of an inpatient care unit is a very vital step in hospital planning. Member states can use the framework of girff (goal, institutional arrangements, regulation, financing and feedback) as a governance tool to improve hospital performance in terms of. It provides guiding principles for hospital planning including providing quality. This. Planning And Organizing Hospital Unit And Ancillary Services.
From www.slideshare.net
Final hospital planning and layout ppt Planning And Organizing Hospital Unit And Ancillary Services The document discusses planning and organizing hospitals, units, and ancillary services. This document discusses the planning and organization of hospital units and ancillary services. It addresses aims like increasing population coverage, modernizing facilities, and. It provides guiding principles for hospital planning including providing quality. It covers topics like the introduction and definition of hospitals, features. The document discusses planning and. Planning And Organizing Hospital Unit And Ancillary Services.
From www.scribd.com
Unit II Planning and Organizing PDF Planning And Organizing Hospital Unit And Ancillary Services It provides guiding principles for hospital planning including providing quality. It covers the complex design process for hospitals which involves. The document discusses planning and organizing hospitals, units, and ancillary services. It covers topics like the introduction and definition of hospitals, features. 5.3 planning and organizing inpatient unit the planning and designing of an inpatient care unit is a very. Planning And Organizing Hospital Unit And Ancillary Services.
From www.pinterest.com
The Ideal Emergency Department HCD Magazine Emergency department Planning And Organizing Hospital Unit And Ancillary Services This book is a compilation of work by experts from the different domains of the healthcare industry, ranging from hospital planning to quality management, clinical services. It covers the complex design process for hospitals which involves. It covers topics like the introduction and definition of hospitals, features. This document discusses the planning and organization of hospital units and ancillary services.. Planning And Organizing Hospital Unit And Ancillary Services.
From www.youtube.com
Hospital Planning and Design pptx YouTube Planning And Organizing Hospital Unit And Ancillary Services Member states can use the framework of girff (goal, institutional arrangements, regulation, financing and feedback) as a governance tool to improve hospital performance in terms of. The document discusses planning and organizing hospitals and their various units and ancillary services. The document discusses planning and organizing hospitals, units, and ancillary services. The document discusses planning and organizing various units and. Planning And Organizing Hospital Unit And Ancillary Services.
From www.slideshare.net
Migration plan for District Trishuli Hospital Nuwakot 2016 PDF Planning And Organizing Hospital Unit And Ancillary Services This book is a compilation of work by experts from the different domains of the healthcare industry, ranging from hospital planning to quality management, clinical services. It addresses aims like increasing population coverage, modernizing facilities, and. The document discusses planning and organizing hospitals, units, and ancillary services. It covers topics like the introduction and definition of hospitals, features. This document. Planning And Organizing Hospital Unit And Ancillary Services.
From www.youtube.com
Medical vocabulary What does Ancillary Services, Hospital mean YouTube Planning And Organizing Hospital Unit And Ancillary Services This book is a compilation of work by experts from the different domains of the healthcare industry, ranging from hospital planning to quality management, clinical services. It covers topics like the introduction and definition of hospitals, features. 5.3 planning and organizing inpatient unit the planning and designing of an inpatient care unit is a very vital step in hospital planning.. Planning And Organizing Hospital Unit And Ancillary Services.
From www.slideshare.net
Manual of Standards for Management of Hospital Finance Service.pdf Planning And Organizing Hospital Unit And Ancillary Services This document discusses the planning and organization of hospital units and ancillary services. This book is a compilation of work by experts from the different domains of the healthcare industry, ranging from hospital planning to quality management, clinical services. The document discusses planning and organizing hospitals, units, and ancillary services. Member states can use the framework of girff (goal, institutional. Planning And Organizing Hospital Unit And Ancillary Services.
From www.slideshare.net
Manual of Standards for Management of Hospital Finance Service.pdf Planning And Organizing Hospital Unit And Ancillary Services It covers topics like the introduction and definition of hospitals, features. It addresses aims like increasing population coverage, modernizing facilities, and. This book is a compilation of work by experts from the different domains of the healthcare industry, ranging from hospital planning to quality management, clinical services. The document discusses planning and organizing hospitals and their various units and ancillary. Planning And Organizing Hospital Unit And Ancillary Services.
From www.slideshare.net
HOSPITAL PLANNING Planning And Organizing Hospital Unit And Ancillary Services It addresses aims like increasing population coverage, modernizing facilities, and. The document discusses planning and organizing various units and ancillary services in a hospital. This document discusses the planning and organization of hospital units and ancillary services. The document discusses planning and organizing hospitals, units, and ancillary services. The document discusses planning and organizing hospitals and their various units and. Planning And Organizing Hospital Unit And Ancillary Services.
From www.credly.com
Planning and Organizing Credly Planning And Organizing Hospital Unit And Ancillary Services This document discusses the planning and organization of hospital units and ancillary services. The document discusses planning and organizing hospitals and their various units and ancillary services. It covers the complex design process for hospitals which involves. It covers topics like the introduction and definition of hospitals, features. It provides guiding principles for hospital planning including providing quality. This book. Planning And Organizing Hospital Unit And Ancillary Services.
From www.aepenergy.com
Ancillary Services Understanding the Basics AEP Energy Planning And Organizing Hospital Unit And Ancillary Services This book is a compilation of work by experts from the different domains of the healthcare industry, ranging from hospital planning to quality management, clinical services. The document discusses planning and organizing various units and ancillary services in a hospital. It addresses aims like increasing population coverage, modernizing facilities, and. The document discusses planning and organizing hospitals and their various. Planning And Organizing Hospital Unit And Ancillary Services.
From www.astronhealthcare.com
How Do Hospital Planners in India Help in Finding the Right Components Planning And Organizing Hospital Unit And Ancillary Services The document discusses planning and organizing hospitals and their various units and ancillary services. The document discusses planning and organizing hospitals, units, and ancillary services. It provides guiding principles for hospital planning including providing quality. This book is a compilation of work by experts from the different domains of the healthcare industry, ranging from hospital planning to quality management, clinical. Planning And Organizing Hospital Unit And Ancillary Services.
From www.slideshare.net
Hospital planning Planning And Organizing Hospital Unit And Ancillary Services The document discusses planning and organizing hospitals, units, and ancillary services. It provides guiding principles for hospital planning including providing quality. It covers the complex design process for hospitals which involves. This book is a compilation of work by experts from the different domains of the healthcare industry, ranging from hospital planning to quality management, clinical services. It covers topics. Planning And Organizing Hospital Unit And Ancillary Services.
From discover.hubpages.com
Plan and Organise Meetings NVQ Level 3 Diploma in Business and Planning And Organizing Hospital Unit And Ancillary Services It addresses aims like increasing population coverage, modernizing facilities, and. The document discusses planning and organizing hospitals, units, and ancillary services. It provides guiding principles for hospital planning including providing quality. The document discusses planning and organizing hospitals and their various units and ancillary services. It covers the complex design process for hospitals which involves. 5.3 planning and organizing inpatient. Planning And Organizing Hospital Unit And Ancillary Services.
From www.slideserve.com
PPT Costs of Ancillary Services & Congestion Management PowerPoint Planning And Organizing Hospital Unit And Ancillary Services This book is a compilation of work by experts from the different domains of the healthcare industry, ranging from hospital planning to quality management, clinical services. The document discusses planning and organizing hospitals and their various units and ancillary services. It covers the complex design process for hospitals which involves. It provides guiding principles for hospital planning including providing quality.. Planning And Organizing Hospital Unit And Ancillary Services.