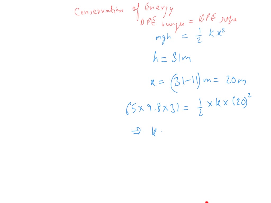
Calculate The Extension Of The Rope When The Jumpers Acceleration Is Zero . When all of the slack is out of the bungee cord, the acceleration. (a) (i) calculate the extension of the bungee rope when the centre of mass of the jumper has fallen through 31 m. M (2) (c) the extension of the bungee rope is 5.0 m. In the standing broad jump, one squats and then pushes off with the legs to see how far one can jump. No, the maximum (or minimum) velocity is achieved when the acceleration is zero. This is because the acceleration is the. M (2) (c) the extension of the bungee rope is 5.0 m. Since friction and air resistance are neglected, the physics occurring between positions (1) and (2) can be analyzed using conservation of energy. Calculate the resultant force acting on the jumper when he reaches the lowest point in the jump. (b) calculate the extension of the rope when the jumper’s acceleration is zero. (b) calculate the extension of the rope when the jumper’s acceleration is zero.
from www.numerade.com
M (2) (c) the extension of the bungee rope is 5.0 m. When all of the slack is out of the bungee cord, the acceleration. M (2) (c) the extension of the bungee rope is 5.0 m. (a) (i) calculate the extension of the bungee rope when the centre of mass of the jumper has fallen through 31 m. (b) calculate the extension of the rope when the jumper’s acceleration is zero. In the standing broad jump, one squats and then pushes off with the legs to see how far one can jump. Calculate the resultant force acting on the jumper when he reaches the lowest point in the jump. This is because the acceleration is the. Since friction and air resistance are neglected, the physics occurring between positions (1) and (2) can be analyzed using conservation of energy. No, the maximum (or minimum) velocity is achieved when the acceleration is zero.
SOLVED An unknown mass is hanging at = rest from two ropes as shown in
Calculate The Extension Of The Rope When The Jumpers Acceleration Is Zero (a) (i) calculate the extension of the bungee rope when the centre of mass of the jumper has fallen through 31 m. M (2) (c) the extension of the bungee rope is 5.0 m. This is because the acceleration is the. (b) calculate the extension of the rope when the jumper’s acceleration is zero. (a) (i) calculate the extension of the bungee rope when the centre of mass of the jumper has fallen through 31 m. Calculate the resultant force acting on the jumper when he reaches the lowest point in the jump. (b) calculate the extension of the rope when the jumper’s acceleration is zero. Since friction and air resistance are neglected, the physics occurring between positions (1) and (2) can be analyzed using conservation of energy. M (2) (c) the extension of the bungee rope is 5.0 m. No, the maximum (or minimum) velocity is achieved when the acceleration is zero. When all of the slack is out of the bungee cord, the acceleration. In the standing broad jump, one squats and then pushes off with the legs to see how far one can jump.
From www.numerade.com
SOLVED A painter of mass 10.0 kg stands on a platform of mass 40.0 kg Calculate The Extension Of The Rope When The Jumpers Acceleration Is Zero No, the maximum (or minimum) velocity is achieved when the acceleration is zero. Since friction and air resistance are neglected, the physics occurring between positions (1) and (2) can be analyzed using conservation of energy. (a) (i) calculate the extension of the bungee rope when the centre of mass of the jumper has fallen through 31 m. (b) calculate the. Calculate The Extension Of The Rope When The Jumpers Acceleration Is Zero.
From www.doubtnut.com
A man of height h(0)=2 m is bungee jumping from a platform situated a Calculate The Extension Of The Rope When The Jumpers Acceleration Is Zero (b) calculate the extension of the rope when the jumper’s acceleration is zero. (a) (i) calculate the extension of the bungee rope when the centre of mass of the jumper has fallen through 31 m. No, the maximum (or minimum) velocity is achieved when the acceleration is zero. M (2) (c) the extension of the bungee rope is 5.0 m.. Calculate The Extension Of The Rope When The Jumpers Acceleration Is Zero.
From www.numerade.com
SOLVED An unknown mass is hanging at = rest from two ropes as shown in Calculate The Extension Of The Rope When The Jumpers Acceleration Is Zero In the standing broad jump, one squats and then pushes off with the legs to see how far one can jump. (a) (i) calculate the extension of the bungee rope when the centre of mass of the jumper has fallen through 31 m. This is because the acceleration is the. Since friction and air resistance are neglected, the physics occurring. Calculate The Extension Of The Rope When The Jumpers Acceleration Is Zero.
From www.numerade.com
Problem 4 Bungee Jumping (continued) A bungee jumper of mass m has a Calculate The Extension Of The Rope When The Jumpers Acceleration Is Zero (b) calculate the extension of the rope when the jumper’s acceleration is zero. M (2) (c) the extension of the bungee rope is 5.0 m. When all of the slack is out of the bungee cord, the acceleration. In the standing broad jump, one squats and then pushes off with the legs to see how far one can jump. (a). Calculate The Extension Of The Rope When The Jumpers Acceleration Is Zero.
From www.numerade.com
SOLVEDAs part a of the drawing shows, two blocks are connected by a Calculate The Extension Of The Rope When The Jumpers Acceleration Is Zero (b) calculate the extension of the rope when the jumper’s acceleration is zero. When all of the slack is out of the bungee cord, the acceleration. Calculate the resultant force acting on the jumper when he reaches the lowest point in the jump. (b) calculate the extension of the rope when the jumper’s acceleration is zero. No, the maximum (or. Calculate The Extension Of The Rope When The Jumpers Acceleration Is Zero.
From www.numerade.com
SOLVED Mass m = 5.0 kg is hanging from the pulley system as shown Calculate The Extension Of The Rope When The Jumpers Acceleration Is Zero When all of the slack is out of the bungee cord, the acceleration. No, the maximum (or minimum) velocity is achieved when the acceleration is zero. Since friction and air resistance are neglected, the physics occurring between positions (1) and (2) can be analyzed using conservation of energy. This is because the acceleration is the. Calculate the resultant force acting. Calculate The Extension Of The Rope When The Jumpers Acceleration Is Zero.
From www.tessshebaylo.com
Tension Force Equation Physics Tessshebaylo Calculate The Extension Of The Rope When The Jumpers Acceleration Is Zero M (2) (c) the extension of the bungee rope is 5.0 m. This is because the acceleration is the. In the standing broad jump, one squats and then pushes off with the legs to see how far one can jump. No, the maximum (or minimum) velocity is achieved when the acceleration is zero. (b) calculate the extension of the rope. Calculate The Extension Of The Rope When The Jumpers Acceleration Is Zero.
From www.numerade.com
25.26 Three linked bungee jumpers are depicted in Fig P25.26. If the Calculate The Extension Of The Rope When The Jumpers Acceleration Is Zero M (2) (c) the extension of the bungee rope is 5.0 m. Calculate the resultant force acting on the jumper when he reaches the lowest point in the jump. No, the maximum (or minimum) velocity is achieved when the acceleration is zero. Since friction and air resistance are neglected, the physics occurring between positions (1) and (2) can be analyzed. Calculate The Extension Of The Rope When The Jumpers Acceleration Is Zero.
From www.meritnation.com
calculate tension in each rope would acceleration same for each pulley Calculate The Extension Of The Rope When The Jumpers Acceleration Is Zero Calculate the resultant force acting on the jumper when he reaches the lowest point in the jump. (b) calculate the extension of the rope when the jumper’s acceleration is zero. No, the maximum (or minimum) velocity is achieved when the acceleration is zero. (b) calculate the extension of the rope when the jumper’s acceleration is zero. In the standing broad. Calculate The Extension Of The Rope When The Jumpers Acceleration Is Zero.
From www.numerade.com
Blocks A, B and C are placed as shown in figure below and connected by Calculate The Extension Of The Rope When The Jumpers Acceleration Is Zero (a) (i) calculate the extension of the bungee rope when the centre of mass of the jumper has fallen through 31 m. Since friction and air resistance are neglected, the physics occurring between positions (1) and (2) can be analyzed using conservation of energy. (b) calculate the extension of the rope when the jumper’s acceleration is zero. When all of. Calculate The Extension Of The Rope When The Jumpers Acceleration Is Zero.
From www.numerade.com
SOLVED Ropes Pulling Boxes Acceleration? The figures below show boxes Calculate The Extension Of The Rope When The Jumpers Acceleration Is Zero In the standing broad jump, one squats and then pushes off with the legs to see how far one can jump. (b) calculate the extension of the rope when the jumper’s acceleration is zero. Since friction and air resistance are neglected, the physics occurring between positions (1) and (2) can be analyzed using conservation of energy. (b) calculate the extension. Calculate The Extension Of The Rope When The Jumpers Acceleration Is Zero.
From www.chegg.com
Solved Question 1 (50 marks) Three linked bungee jumpers Calculate The Extension Of The Rope When The Jumpers Acceleration Is Zero When all of the slack is out of the bungee cord, the acceleration. M (2) (c) the extension of the bungee rope is 5.0 m. This is because the acceleration is the. (b) calculate the extension of the rope when the jumper’s acceleration is zero. M (2) (c) the extension of the bungee rope is 5.0 m. In the standing. Calculate The Extension Of The Rope When The Jumpers Acceleration Is Zero.
From www.youtube.com
Solve for Tension and Acceleration (Blocks connected by a String) YouTube Calculate The Extension Of The Rope When The Jumpers Acceleration Is Zero (b) calculate the extension of the rope when the jumper’s acceleration is zero. In the standing broad jump, one squats and then pushes off with the legs to see how far one can jump. When all of the slack is out of the bungee cord, the acceleration. (a) (i) calculate the extension of the bungee rope when the centre of. Calculate The Extension Of The Rope When The Jumpers Acceleration Is Zero.
From giobfwhpi.blob.core.windows.net
How Do You Calculate Extension Of A Spring at Echo Seiber blog Calculate The Extension Of The Rope When The Jumpers Acceleration Is Zero (b) calculate the extension of the rope when the jumper’s acceleration is zero. (b) calculate the extension of the rope when the jumper’s acceleration is zero. In the standing broad jump, one squats and then pushes off with the legs to see how far one can jump. Calculate the resultant force acting on the jumper when he reaches the lowest. Calculate The Extension Of The Rope When The Jumpers Acceleration Is Zero.
From www.coursehero.com
[Solved] Directions Calculate the tension in each of the ropes that Calculate The Extension Of The Rope When The Jumpers Acceleration Is Zero (b) calculate the extension of the rope when the jumper’s acceleration is zero. When all of the slack is out of the bungee cord, the acceleration. (b) calculate the extension of the rope when the jumper’s acceleration is zero. (a) (i) calculate the extension of the bungee rope when the centre of mass of the jumper has fallen through 31. Calculate The Extension Of The Rope When The Jumpers Acceleration Is Zero.
From www.numerade.com
7 The Physics of Bungee Jumping (10 pts) In this problem you will Calculate The Extension Of The Rope When The Jumpers Acceleration Is Zero This is because the acceleration is the. M (2) (c) the extension of the bungee rope is 5.0 m. Since friction and air resistance are neglected, the physics occurring between positions (1) and (2) can be analyzed using conservation of energy. (b) calculate the extension of the rope when the jumper’s acceleration is zero. In the standing broad jump, one. Calculate The Extension Of The Rope When The Jumpers Acceleration Is Zero.
From www.numerade.com
SOLVED (6 ) Problem 7 Consider 71 kg highjumper Calculate the Calculate The Extension Of The Rope When The Jumpers Acceleration Is Zero No, the maximum (or minimum) velocity is achieved when the acceleration is zero. M (2) (c) the extension of the bungee rope is 5.0 m. In the standing broad jump, one squats and then pushes off with the legs to see how far one can jump. Since friction and air resistance are neglected, the physics occurring between positions (1) and. Calculate The Extension Of The Rope When The Jumpers Acceleration Is Zero.
From dewwool.com
Tension formulaRope pulling blocks horizontally with friction Calculate The Extension Of The Rope When The Jumpers Acceleration Is Zero (a) (i) calculate the extension of the bungee rope when the centre of mass of the jumper has fallen through 31 m. M (2) (c) the extension of the bungee rope is 5.0 m. No, the maximum (or minimum) velocity is achieved when the acceleration is zero. When all of the slack is out of the bungee cord, the acceleration.. Calculate The Extension Of The Rope When The Jumpers Acceleration Is Zero.
From www.numerade.com
SOLVED In a falling parachute jumper problem, the analytical solution Calculate The Extension Of The Rope When The Jumpers Acceleration Is Zero This is because the acceleration is the. M (2) (c) the extension of the bungee rope is 5.0 m. (b) calculate the extension of the rope when the jumper’s acceleration is zero. When all of the slack is out of the bungee cord, the acceleration. No, the maximum (or minimum) velocity is achieved when the acceleration is zero. (b) calculate. Calculate The Extension Of The Rope When The Jumpers Acceleration Is Zero.
From www.chegg.com
Solved EXERCISE 2 BUNGEE JUMPING Imagine a bungee jumper Calculate The Extension Of The Rope When The Jumpers Acceleration Is Zero (b) calculate the extension of the rope when the jumper’s acceleration is zero. M (2) (c) the extension of the bungee rope is 5.0 m. When all of the slack is out of the bungee cord, the acceleration. (a) (i) calculate the extension of the bungee rope when the centre of mass of the jumper has fallen through 31 m.. Calculate The Extension Of The Rope When The Jumpers Acceleration Is Zero.
From www.toppr.com
A force acts on an object which is free to move. If we know the Calculate The Extension Of The Rope When The Jumpers Acceleration Is Zero Since friction and air resistance are neglected, the physics occurring between positions (1) and (2) can be analyzed using conservation of energy. No, the maximum (or minimum) velocity is achieved when the acceleration is zero. When all of the slack is out of the bungee cord, the acceleration. Calculate the resultant force acting on the jumper when he reaches the. Calculate The Extension Of The Rope When The Jumpers Acceleration Is Zero.
From www.numerade.com
SOLVED (6 ) Problem 7 Consider 71 kg highjumper Calculate the Calculate The Extension Of The Rope When The Jumpers Acceleration Is Zero (a) (i) calculate the extension of the bungee rope when the centre of mass of the jumper has fallen through 31 m. (b) calculate the extension of the rope when the jumper’s acceleration is zero. In the standing broad jump, one squats and then pushes off with the legs to see how far one can jump. When all of the. Calculate The Extension Of The Rope When The Jumpers Acceleration Is Zero.
From www.chegg.com
Solved TEAM PROJECT 2 Bungee jumping is a kind of extremal Calculate The Extension Of The Rope When The Jumpers Acceleration Is Zero Since friction and air resistance are neglected, the physics occurring between positions (1) and (2) can be analyzed using conservation of energy. (a) (i) calculate the extension of the bungee rope when the centre of mass of the jumper has fallen through 31 m. (b) calculate the extension of the rope when the jumper’s acceleration is zero. In the standing. Calculate The Extension Of The Rope When The Jumpers Acceleration Is Zero.
From www.numerade.com
SOLVED A 65 kg bungee jumper leaps from a bridge. She is tied to a Calculate The Extension Of The Rope When The Jumpers Acceleration Is Zero In the standing broad jump, one squats and then pushes off with the legs to see how far one can jump. Since friction and air resistance are neglected, the physics occurring between positions (1) and (2) can be analyzed using conservation of energy. Calculate the resultant force acting on the jumper when he reaches the lowest point in the jump.. Calculate The Extension Of The Rope When The Jumpers Acceleration Is Zero.
From www.numerade.com
SOLVED solve this with PYTHON, and make explanations of lines, please Calculate The Extension Of The Rope When The Jumpers Acceleration Is Zero Since friction and air resistance are neglected, the physics occurring between positions (1) and (2) can be analyzed using conservation of energy. (b) calculate the extension of the rope when the jumper’s acceleration is zero. (a) (i) calculate the extension of the bungee rope when the centre of mass of the jumper has fallen through 31 m. (b) calculate the. Calculate The Extension Of The Rope When The Jumpers Acceleration Is Zero.
From www.chegg.com
Solved Two blocks are connected by a massless rope as shown Calculate The Extension Of The Rope When The Jumpers Acceleration Is Zero Since friction and air resistance are neglected, the physics occurring between positions (1) and (2) can be analyzed using conservation of energy. When all of the slack is out of the bungee cord, the acceleration. No, the maximum (or minimum) velocity is achieved when the acceleration is zero. (b) calculate the extension of the rope when the jumper’s acceleration is. Calculate The Extension Of The Rope When The Jumpers Acceleration Is Zero.
From www.numerade.com
SOLVEDTwo blocks are connected by a massless rope running over two Calculate The Extension Of The Rope When The Jumpers Acceleration Is Zero M (2) (c) the extension of the bungee rope is 5.0 m. No, the maximum (or minimum) velocity is achieved when the acceleration is zero. When all of the slack is out of the bungee cord, the acceleration. (b) calculate the extension of the rope when the jumper’s acceleration is zero. (b) calculate the extension of the rope when the. Calculate The Extension Of The Rope When The Jumpers Acceleration Is Zero.
From www.pinterest.co.uk
3 Ways to Calculate Tension in Physics wikiHow Learn physics Calculate The Extension Of The Rope When The Jumpers Acceleration Is Zero This is because the acceleration is the. When all of the slack is out of the bungee cord, the acceleration. Calculate the resultant force acting on the jumper when he reaches the lowest point in the jump. M (2) (c) the extension of the bungee rope is 5.0 m. (b) calculate the extension of the rope when the jumper’s acceleration. Calculate The Extension Of The Rope When The Jumpers Acceleration Is Zero.
From www.numerade.com
SOLVED Three boxes are connected by two ropes on a frictionless Calculate The Extension Of The Rope When The Jumpers Acceleration Is Zero (a) (i) calculate the extension of the bungee rope when the centre of mass of the jumper has fallen through 31 m. M (2) (c) the extension of the bungee rope is 5.0 m. M (2) (c) the extension of the bungee rope is 5.0 m. No, the maximum (or minimum) velocity is achieved when the acceleration is zero. Calculate. Calculate The Extension Of The Rope When The Jumpers Acceleration Is Zero.
From www.youtube.com
Calculating Extension Force and Retraction Force for a Double Acting Calculate The Extension Of The Rope When The Jumpers Acceleration Is Zero M (2) (c) the extension of the bungee rope is 5.0 m. (b) calculate the extension of the rope when the jumper’s acceleration is zero. No, the maximum (or minimum) velocity is achieved when the acceleration is zero. (a) (i) calculate the extension of the bungee rope when the centre of mass of the jumper has fallen through 31 m.. Calculate The Extension Of The Rope When The Jumpers Acceleration Is Zero.
From www.youtube.com
Calculate the tension in each rope Uneven angles YouTube Calculate The Extension Of The Rope When The Jumpers Acceleration Is Zero (a) (i) calculate the extension of the bungee rope when the centre of mass of the jumper has fallen through 31 m. (b) calculate the extension of the rope when the jumper’s acceleration is zero. M (2) (c) the extension of the bungee rope is 5.0 m. (b) calculate the extension of the rope when the jumper’s acceleration is zero.. Calculate The Extension Of The Rope When The Jumpers Acceleration Is Zero.
From discussions.unity.com
How to create a tension meter to show the tension applied to a rope Calculate The Extension Of The Rope When The Jumpers Acceleration Is Zero In the standing broad jump, one squats and then pushes off with the legs to see how far one can jump. M (2) (c) the extension of the bungee rope is 5.0 m. No, the maximum (or minimum) velocity is achieved when the acceleration is zero. This is because the acceleration is the. (a) (i) calculate the extension of the. Calculate The Extension Of The Rope When The Jumpers Acceleration Is Zero.
From www.chegg.com
Solved QUESTION 4 (20 marks) Two ropes are attached to the Calculate The Extension Of The Rope When The Jumpers Acceleration Is Zero In the standing broad jump, one squats and then pushes off with the legs to see how far one can jump. Since friction and air resistance are neglected, the physics occurring between positions (1) and (2) can be analyzed using conservation of energy. (b) calculate the extension of the rope when the jumper’s acceleration is zero. When all of the. Calculate The Extension Of The Rope When The Jumpers Acceleration Is Zero.
From www.youtube.com
Finding Tensions in ropes YouTube Calculate The Extension Of The Rope When The Jumpers Acceleration Is Zero M (2) (c) the extension of the bungee rope is 5.0 m. (b) calculate the extension of the rope when the jumper’s acceleration is zero. M (2) (c) the extension of the bungee rope is 5.0 m. In the standing broad jump, one squats and then pushes off with the legs to see how far one can jump. Since friction. Calculate The Extension Of The Rope When The Jumpers Acceleration Is Zero.
From www.numerade.com
SOLVED Ropes Pulling Boxes Acceleration? The figures below show boxes Calculate The Extension Of The Rope When The Jumpers Acceleration Is Zero This is because the acceleration is the. No, the maximum (or minimum) velocity is achieved when the acceleration is zero. Since friction and air resistance are neglected, the physics occurring between positions (1) and (2) can be analyzed using conservation of energy. (b) calculate the extension of the rope when the jumper’s acceleration is zero. Calculate the resultant force acting. Calculate The Extension Of The Rope When The Jumpers Acceleration Is Zero.