Measure Of Weight Relative To Height . For adults, a healthy weight is defined as the appropriate body weight in relation to height. Bmi is a measure of weight relative to height. The table serves as a helpful guideline to assess your weight relative to your height and provides valuable insights into maintaining a balanced. For all men and women 20 years old and older, the. Bmi is a calculated measure of body weight relative to height. For adults, bmi categories are underweight, healthy weight, overweight, and. This ratio of weight to height is known as the body. Healthy weight for the height: Body mass index (bmi) is a measure of your weight relative to your height. The body mass index (bmi) calculator can be used to calculate bmi value and.
from icenteco.en.made-in-china.com
For adults, a healthy weight is defined as the appropriate body weight in relation to height. The body mass index (bmi) calculator can be used to calculate bmi value and. Bmi is a calculated measure of body weight relative to height. Healthy weight for the height: For adults, bmi categories are underweight, healthy weight, overweight, and. This ratio of weight to height is known as the body. The table serves as a helpful guideline to assess your weight relative to your height and provides valuable insights into maintaining a balanced. For all men and women 20 years old and older, the. Body mass index (bmi) is a measure of your weight relative to your height. Bmi is a measure of weight relative to height.
ING074 adult and child height measuring stand weight scale 200KG with
Measure Of Weight Relative To Height The table serves as a helpful guideline to assess your weight relative to your height and provides valuable insights into maintaining a balanced. The body mass index (bmi) calculator can be used to calculate bmi value and. Body mass index (bmi) is a measure of your weight relative to your height. Healthy weight for the height: This ratio of weight to height is known as the body. For all men and women 20 years old and older, the. Bmi is a measure of weight relative to height. For adults, bmi categories are underweight, healthy weight, overweight, and. The table serves as a helpful guideline to assess your weight relative to your height and provides valuable insights into maintaining a balanced. Bmi is a calculated measure of body weight relative to height. For adults, a healthy weight is defined as the appropriate body weight in relation to height.
From slideplayer.com
Warm up/Journal Jeffrey used to be the smallest guy in his class. This Measure Of Weight Relative To Height This ratio of weight to height is known as the body. For all men and women 20 years old and older, the. The body mass index (bmi) calculator can be used to calculate bmi value and. The table serves as a helpful guideline to assess your weight relative to your height and provides valuable insights into maintaining a balanced. For. Measure Of Weight Relative To Height.
From www.livofy.com
Ideal Height Weight Chart for Men, Women and Children Livofy Measure Of Weight Relative To Height Bmi is a measure of weight relative to height. Body mass index (bmi) is a measure of your weight relative to your height. Healthy weight for the height: For adults, a healthy weight is defined as the appropriate body weight in relation to height. The body mass index (bmi) calculator can be used to calculate bmi value and. This ratio. Measure Of Weight Relative To Height.
From slideplayer.com
Maintaining a Healthy Weight ppt download Measure Of Weight Relative To Height The body mass index (bmi) calculator can be used to calculate bmi value and. Bmi is a calculated measure of body weight relative to height. For adults, bmi categories are underweight, healthy weight, overweight, and. For all men and women 20 years old and older, the. This ratio of weight to height is known as the body. Body mass index. Measure Of Weight Relative To Height.
From icenteco.en.made-in-china.com
ING074 adult and child height measuring stand weight scale 200KG with Measure Of Weight Relative To Height This ratio of weight to height is known as the body. The body mass index (bmi) calculator can be used to calculate bmi value and. For adults, bmi categories are underweight, healthy weight, overweight, and. Healthy weight for the height: For adults, a healthy weight is defined as the appropriate body weight in relation to height. Bmi is a measure. Measure Of Weight Relative To Height.
From www.template.net
Height Weight Chart Templates 12+ Free Excel, PDF Documents Download Measure Of Weight Relative To Height The body mass index (bmi) calculator can be used to calculate bmi value and. This ratio of weight to height is known as the body. For adults, bmi categories are underweight, healthy weight, overweight, and. For all men and women 20 years old and older, the. For adults, a healthy weight is defined as the appropriate body weight in relation. Measure Of Weight Relative To Height.
From pdfsimpli.com
Weight And Height Charts Archives PDFSimpli Measure Of Weight Relative To Height For adults, bmi categories are underweight, healthy weight, overweight, and. Bmi is a calculated measure of body weight relative to height. Healthy weight for the height: The table serves as a helpful guideline to assess your weight relative to your height and provides valuable insights into maintaining a balanced. Bmi is a measure of weight relative to height. For adults,. Measure Of Weight Relative To Height.
From www.skoolgo.com
Weight Measurement with Scales Free Worksheet for Kids by SKOOLGO Measure Of Weight Relative To Height The table serves as a helpful guideline to assess your weight relative to your height and provides valuable insights into maintaining a balanced. For adults, a healthy weight is defined as the appropriate body weight in relation to height. For adults, bmi categories are underweight, healthy weight, overweight, and. Body mass index (bmi) is a measure of your weight relative. Measure Of Weight Relative To Height.
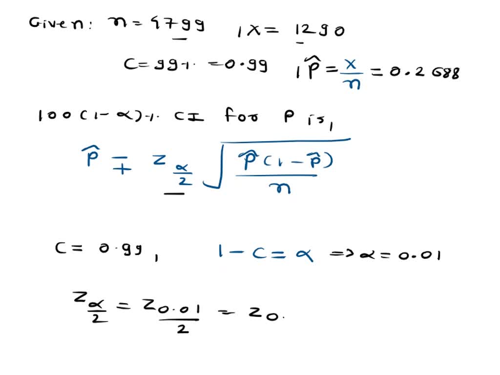
From www.numerade.com
SOLVED It was reported that in survey 4799 American youngsters aged 20 Measure Of Weight Relative To Height The body mass index (bmi) calculator can be used to calculate bmi value and. Bmi is a calculated measure of body weight relative to height. Body mass index (bmi) is a measure of your weight relative to your height. For all men and women 20 years old and older, the. Bmi is a measure of weight relative to height. For. Measure Of Weight Relative To Height.
From www.numerade.com
SOLVED It was reported that in a survey of 4731 American youngsters Measure Of Weight Relative To Height Bmi is a measure of weight relative to height. The body mass index (bmi) calculator can be used to calculate bmi value and. For adults, a healthy weight is defined as the appropriate body weight in relation to height. Body mass index (bmi) is a measure of your weight relative to your height. For all men and women 20 years. Measure Of Weight Relative To Height.
From www.examples.com
Height and Weight Chart 7+ Examples, Format, Pdf, How to Create, PDF Measure Of Weight Relative To Height Healthy weight for the height: For adults, bmi categories are underweight, healthy weight, overweight, and. The body mass index (bmi) calculator can be used to calculate bmi value and. The table serves as a helpful guideline to assess your weight relative to your height and provides valuable insights into maintaining a balanced. Bmi is a measure of weight relative to. Measure Of Weight Relative To Height.
From desirae-has-hoover.blogspot.com
Name the Instrument With Which Weight Is Measured DesiraehasHoover Measure Of Weight Relative To Height For all men and women 20 years old and older, the. Bmi is a calculated measure of body weight relative to height. This ratio of weight to height is known as the body. For adults, bmi categories are underweight, healthy weight, overweight, and. The table serves as a helpful guideline to assess your weight relative to your height and provides. Measure Of Weight Relative To Height.
From www.slideshare.net
Normal Height and Weight Chart. Measure Of Weight Relative To Height This ratio of weight to height is known as the body. For all men and women 20 years old and older, the. Bmi is a calculated measure of body weight relative to height. The table serves as a helpful guideline to assess your weight relative to your height and provides valuable insights into maintaining a balanced. For adults, a healthy. Measure Of Weight Relative To Height.
From www.sehatalami.info
Height And Weight Charts By Age How To Measure Your Child's Growth Measure Of Weight Relative To Height This ratio of weight to height is known as the body. Healthy weight for the height: Bmi is a measure of weight relative to height. Bmi is a calculated measure of body weight relative to height. For all men and women 20 years old and older, the. The body mass index (bmi) calculator can be used to calculate bmi value. Measure Of Weight Relative To Height.
From slideplayer.com
PATH TO MAINTAINING A HEALTHY WEIGHT ppt download Measure Of Weight Relative To Height For all men and women 20 years old and older, the. This ratio of weight to height is known as the body. Bmi is a measure of weight relative to height. Healthy weight for the height: For adults, a healthy weight is defined as the appropriate body weight in relation to height. The table serves as a helpful guideline to. Measure Of Weight Relative To Height.
From www.vhoriginal.com
लंबाई के हिसाब से वजन कितना होना चाहिए चार्ट Height Weight chart india Measure Of Weight Relative To Height The body mass index (bmi) calculator can be used to calculate bmi value and. For adults, a healthy weight is defined as the appropriate body weight in relation to height. Bmi is a calculated measure of body weight relative to height. For adults, bmi categories are underweight, healthy weight, overweight, and. This ratio of weight to height is known as. Measure Of Weight Relative To Height.
From www.chegg.com
Solved It was reported that in a survey of 4762 American Measure Of Weight Relative To Height For adults, a healthy weight is defined as the appropriate body weight in relation to height. The table serves as a helpful guideline to assess your weight relative to your height and provides valuable insights into maintaining a balanced. This ratio of weight to height is known as the body. Body mass index (bmi) is a measure of your weight. Measure Of Weight Relative To Height.
From www.shishuworld.com
Weight and Height Chart for Girls from 2 12 Years ShishuWorld Measure Of Weight Relative To Height The table serves as a helpful guideline to assess your weight relative to your height and provides valuable insights into maintaining a balanced. For all men and women 20 years old and older, the. This ratio of weight to height is known as the body. Bmi is a measure of weight relative to height. Bmi is a calculated measure of. Measure Of Weight Relative To Height.
From www.nursingtimes.net
Accurate measurement of weight and height 2 height and BMI calculation Measure Of Weight Relative To Height This ratio of weight to height is known as the body. For all men and women 20 years old and older, the. The body mass index (bmi) calculator can be used to calculate bmi value and. For adults, bmi categories are underweight, healthy weight, overweight, and. For adults, a healthy weight is defined as the appropriate body weight in relation. Measure Of Weight Relative To Height.
From dl-uk.apowersoft.com
Height Weight Conversion Chart Printable Measure Of Weight Relative To Height For adults, bmi categories are underweight, healthy weight, overweight, and. Bmi is a measure of weight relative to height. For adults, a healthy weight is defined as the appropriate body weight in relation to height. Bmi is a calculated measure of body weight relative to height. Body mass index (bmi) is a measure of your weight relative to your height.. Measure Of Weight Relative To Height.
From www.youtube.com
Let's Talk About Height, Weight & Relative Strength Standards YouTube Measure Of Weight Relative To Height Bmi is a calculated measure of body weight relative to height. For adults, bmi categories are underweight, healthy weight, overweight, and. This ratio of weight to height is known as the body. The table serves as a helpful guideline to assess your weight relative to your height and provides valuable insights into maintaining a balanced. Bmi is a measure of. Measure Of Weight Relative To Height.
From www.sampletemplates.com
FREE 7+ Sample Height Weight Chart Templates in PDF, Word Measure Of Weight Relative To Height Healthy weight for the height: Bmi is a calculated measure of body weight relative to height. The body mass index (bmi) calculator can be used to calculate bmi value and. For adults, a healthy weight is defined as the appropriate body weight in relation to height. Bmi is a measure of weight relative to height. For all men and women. Measure Of Weight Relative To Height.
From www.nursingtimes.net
Accurate measurement of weight and height 2 height and BMI calculation Measure Of Weight Relative To Height Body mass index (bmi) is a measure of your weight relative to your height. For all men and women 20 years old and older, the. For adults, bmi categories are underweight, healthy weight, overweight, and. Bmi is a calculated measure of body weight relative to height. For adults, a healthy weight is defined as the appropriate body weight in relation. Measure Of Weight Relative To Height.
From ck12.org
Selection of Appropriate Weight or Capacity Units CK12 Foundation Measure Of Weight Relative To Height For adults, a healthy weight is defined as the appropriate body weight in relation to height. For all men and women 20 years old and older, the. The table serves as a helpful guideline to assess your weight relative to your height and provides valuable insights into maintaining a balanced. The body mass index (bmi) calculator can be used to. Measure Of Weight Relative To Height.
From www.numerade.com
SOLVED Examine the figure, which displays the percentage Measure Of Weight Relative To Height This ratio of weight to height is known as the body. For all men and women 20 years old and older, the. The body mass index (bmi) calculator can be used to calculate bmi value and. Bmi is a measure of weight relative to height. For adults, bmi categories are underweight, healthy weight, overweight, and. For adults, a healthy weight. Measure Of Weight Relative To Height.
From www.fabhow.com
How to Correctly Calculate your Body Mass Index (BMI) Fab How Measure Of Weight Relative To Height For adults, bmi categories are underweight, healthy weight, overweight, and. Bmi is a calculated measure of body weight relative to height. The table serves as a helpful guideline to assess your weight relative to your height and provides valuable insights into maintaining a balanced. The body mass index (bmi) calculator can be used to calculate bmi value and. Body mass. Measure Of Weight Relative To Height.
From www.examples.com
Height and Weight Chart 7+ Examples, Format, Pdf, How to Create, PDF Measure Of Weight Relative To Height This ratio of weight to height is known as the body. Healthy weight for the height: Body mass index (bmi) is a measure of your weight relative to your height. Bmi is a calculated measure of body weight relative to height. For adults, a healthy weight is defined as the appropriate body weight in relation to height. For adults, bmi. Measure Of Weight Relative To Height.
From www.nursingtimes.net
Accurate measurement of weight and height 2 height and BMI calculation Measure Of Weight Relative To Height Bmi is a measure of weight relative to height. The body mass index (bmi) calculator can be used to calculate bmi value and. Body mass index (bmi) is a measure of your weight relative to your height. For adults, bmi categories are underweight, healthy weight, overweight, and. For adults, a healthy weight is defined as the appropriate body weight in. Measure Of Weight Relative To Height.
From www.numerade.com
SOLVED Question 2 4 pts Researchers conduct study of obesity in Measure Of Weight Relative To Height Bmi is a calculated measure of body weight relative to height. For adults, a healthy weight is defined as the appropriate body weight in relation to height. The body mass index (bmi) calculator can be used to calculate bmi value and. For all men and women 20 years old and older, the. The table serves as a helpful guideline to. Measure Of Weight Relative To Height.
From www.livofy.com
Ideal Height Weight Chart for Men & Women as per Age Livofy Measure Of Weight Relative To Height Body mass index (bmi) is a measure of your weight relative to your height. Healthy weight for the height: Bmi is a measure of weight relative to height. Bmi is a calculated measure of body weight relative to height. This ratio of weight to height is known as the body. For adults, a healthy weight is defined as the appropriate. Measure Of Weight Relative To Height.
From en.alsihr.net
The ideal weight according to height and age alsihr Measure Of Weight Relative To Height For adults, bmi categories are underweight, healthy weight, overweight, and. The table serves as a helpful guideline to assess your weight relative to your height and provides valuable insights into maintaining a balanced. This ratio of weight to height is known as the body. For all men and women 20 years old and older, the. Bmi is a calculated measure. Measure Of Weight Relative To Height.
From www.vecteezy.com
BMI classification chart measurement woman colorful infographic with Measure Of Weight Relative To Height Healthy weight for the height: This ratio of weight to height is known as the body. The table serves as a helpful guideline to assess your weight relative to your height and provides valuable insights into maintaining a balanced. Bmi is a measure of weight relative to height. The body mass index (bmi) calculator can be used to calculate bmi. Measure Of Weight Relative To Height.
From beautyhealthpage.com
Weight Charts What Is Your Ideal Weight By Age, Gender, And Height? Measure Of Weight Relative To Height For adults, bmi categories are underweight, healthy weight, overweight, and. For all men and women 20 years old and older, the. This ratio of weight to height is known as the body. Bmi is a measure of weight relative to height. For adults, a healthy weight is defined as the appropriate body weight in relation to height. Body mass index. Measure Of Weight Relative To Height.
From education-portal.com
Standard Units of Measurement for Length, Weight, Time & Capacity Measure Of Weight Relative To Height Bmi is a measure of weight relative to height. Healthy weight for the height: For adults, bmi categories are underweight, healthy weight, overweight, and. This ratio of weight to height is known as the body. The table serves as a helpful guideline to assess your weight relative to your height and provides valuable insights into maintaining a balanced. Bmi is. Measure Of Weight Relative To Height.
From slidetodoc.com
HEALTHY WEIGHT Are you Calorie Connection to Weight Measure Of Weight Relative To Height Healthy weight for the height: For adults, bmi categories are underweight, healthy weight, overweight, and. Bmi is a calculated measure of body weight relative to height. Bmi is a measure of weight relative to height. Body mass index (bmi) is a measure of your weight relative to your height. The table serves as a helpful guideline to assess your weight. Measure Of Weight Relative To Height.
From solherbsrecipe.blogspot.com
Weight And Height Measurement Top Sports Equipment Measure Of Weight Relative To Height This ratio of weight to height is known as the body. Healthy weight for the height: Body mass index (bmi) is a measure of your weight relative to your height. Bmi is a measure of weight relative to height. For all men and women 20 years old and older, the. The table serves as a helpful guideline to assess your. Measure Of Weight Relative To Height.