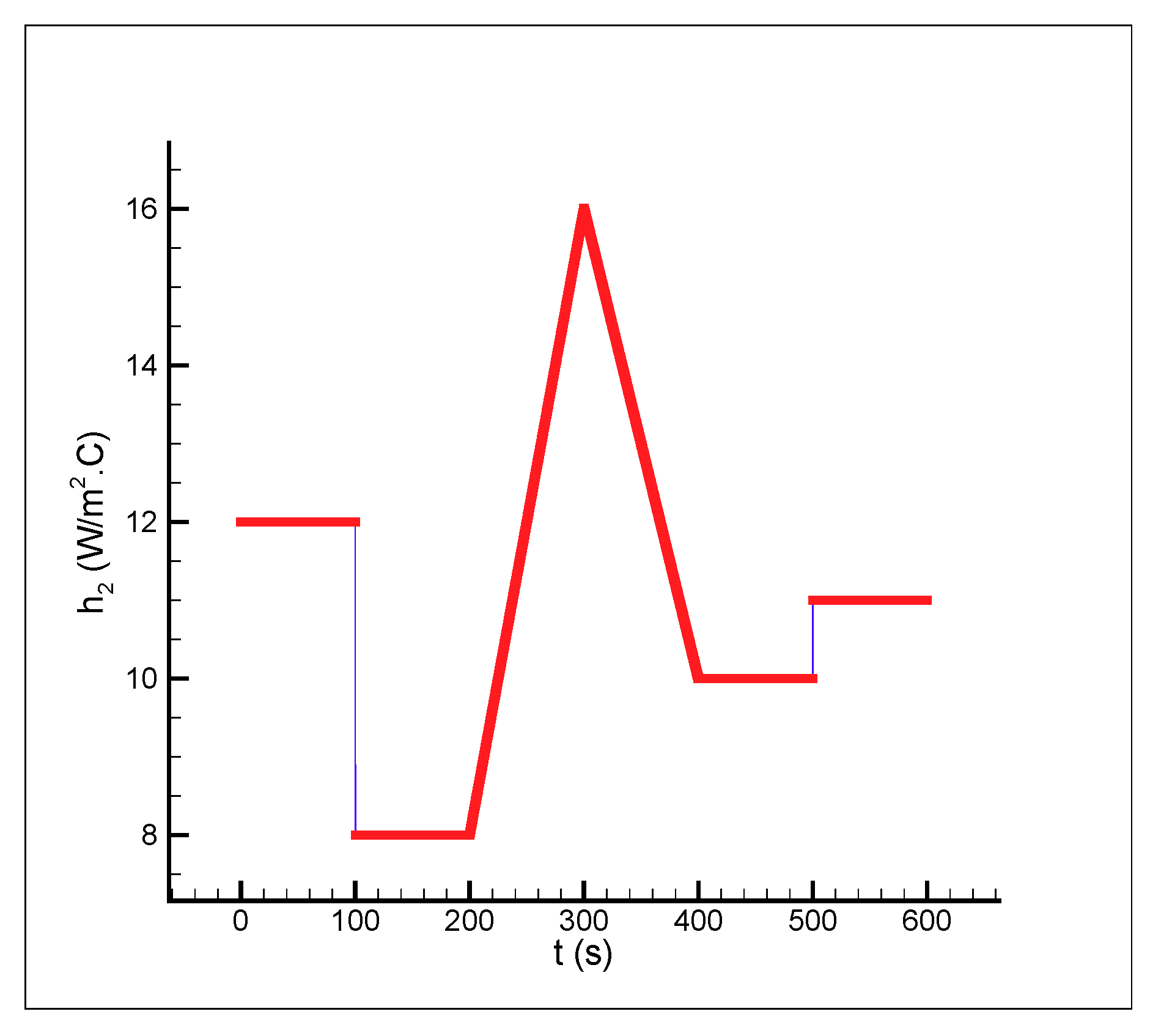
Time Dependent Heat Transfer . 5.1 the lumped capacitance method. An energy balance of the solid for. During the time span , there is a total of five pulses with a duration of. The idea is to construct the simplest. The slab is a homogeneous material of thermal conductivity, k, density, , and heat. What is the time‐dependent temperature profile in the slab? The ultimate goal of this lecture is to demonstrate a method to solve heat conduction problems in which there are time dependent boundary conditions. This method assumes spatially uniform solid temperature at any. At time t = 0, the body is placed into a medium at temperature t∞ (t∞ >ti) with a heat transfer coefficient h.
from www.researchgate.net
This method assumes spatially uniform solid temperature at any. What is the time‐dependent temperature profile in the slab? During the time span , there is a total of five pulses with a duration of. The ultimate goal of this lecture is to demonstrate a method to solve heat conduction problems in which there are time dependent boundary conditions. The idea is to construct the simplest. At time t = 0, the body is placed into a medium at temperature t∞ (t∞ >ti) with a heat transfer coefficient h. The slab is a homogeneous material of thermal conductivity, k, density, , and heat. 5.1 the lumped capacitance method. An energy balance of the solid for.
Timedependent variation of mean temperature and liquidfraction in
Time Dependent Heat Transfer An energy balance of the solid for. The ultimate goal of this lecture is to demonstrate a method to solve heat conduction problems in which there are time dependent boundary conditions. The idea is to construct the simplest. During the time span , there is a total of five pulses with a duration of. 5.1 the lumped capacitance method. An energy balance of the solid for. What is the time‐dependent temperature profile in the slab? This method assumes spatially uniform solid temperature at any. The slab is a homogeneous material of thermal conductivity, k, density, , and heat. At time t = 0, the body is placed into a medium at temperature t∞ (t∞ >ti) with a heat transfer coefficient h.
From www.researchgate.net
Timedependent heat flux graph by GHFS for condensation of saturated Time Dependent Heat Transfer At time t = 0, the body is placed into a medium at temperature t∞ (t∞ >ti) with a heat transfer coefficient h. The slab is a homogeneous material of thermal conductivity, k, density, , and heat. An energy balance of the solid for. The ultimate goal of this lecture is to demonstrate a method to solve heat conduction problems. Time Dependent Heat Transfer.
From www.mdpi.com
Energies Free FullText Estimation of Functional Form of Time Time Dependent Heat Transfer The idea is to construct the simplest. During the time span , there is a total of five pulses with a duration of. An energy balance of the solid for. At time t = 0, the body is placed into a medium at temperature t∞ (t∞ >ti) with a heat transfer coefficient h. What is the time‐dependent temperature profile in. Time Dependent Heat Transfer.
From www.researchgate.net
(PDF) A Revised Approach for OneDimensional TimeDependent Heat Time Dependent Heat Transfer The ultimate goal of this lecture is to demonstrate a method to solve heat conduction problems in which there are time dependent boundary conditions. What is the time‐dependent temperature profile in the slab? This method assumes spatially uniform solid temperature at any. The slab is a homogeneous material of thermal conductivity, k, density, , and heat. At time t =. Time Dependent Heat Transfer.
From www.mdpi.com
Energies Free FullText Estimation of Functional Form of Time Time Dependent Heat Transfer The idea is to construct the simplest. During the time span , there is a total of five pulses with a duration of. The ultimate goal of this lecture is to demonstrate a method to solve heat conduction problems in which there are time dependent boundary conditions. The slab is a homogeneous material of thermal conductivity, k, density, , and. Time Dependent Heat Transfer.
From www.youtube.com
Modelling of time dependent heat transfer in a bar using PDE (diffusion Time Dependent Heat Transfer The ultimate goal of this lecture is to demonstrate a method to solve heat conduction problems in which there are time dependent boundary conditions. An energy balance of the solid for. The slab is a homogeneous material of thermal conductivity, k, density, , and heat. 5.1 the lumped capacitance method. The idea is to construct the simplest. During the time. Time Dependent Heat Transfer.
From www.mdpi.com
Energies Free FullText TimeDependent Heat Transfer Calculations Time Dependent Heat Transfer During the time span , there is a total of five pulses with a duration of. What is the time‐dependent temperature profile in the slab? The slab is a homogeneous material of thermal conductivity, k, density, , and heat. This method assumes spatially uniform solid temperature at any. The idea is to construct the simplest. The ultimate goal of this. Time Dependent Heat Transfer.
From www.researchgate.net
The values of the timedependent heat transfer coefficient Time Dependent Heat Transfer The idea is to construct the simplest. This method assumes spatially uniform solid temperature at any. An energy balance of the solid for. 5.1 the lumped capacitance method. What is the time‐dependent temperature profile in the slab? The ultimate goal of this lecture is to demonstrate a method to solve heat conduction problems in which there are time dependent boundary. Time Dependent Heat Transfer.
From www.chegg.com
The timedependent heat equation in 1D space is a PDE Time Dependent Heat Transfer 5.1 the lumped capacitance method. This method assumes spatially uniform solid temperature at any. The ultimate goal of this lecture is to demonstrate a method to solve heat conduction problems in which there are time dependent boundary conditions. An energy balance of the solid for. During the time span , there is a total of five pulses with a duration. Time Dependent Heat Transfer.
From www.researchgate.net
Results of timedependent heat transfer calculations. (A) Volume of Time Dependent Heat Transfer What is the time‐dependent temperature profile in the slab? During the time span , there is a total of five pulses with a duration of. 5.1 the lumped capacitance method. At time t = 0, the body is placed into a medium at temperature t∞ (t∞ >ti) with a heat transfer coefficient h. The slab is a homogeneous material of. Time Dependent Heat Transfer.
From qdotsystems.com.au
Heat Conduction Equation with Convective Boundary Conditions Time Dependent Heat Transfer An energy balance of the solid for. This method assumes spatially uniform solid temperature at any. At time t = 0, the body is placed into a medium at temperature t∞ (t∞ >ti) with a heat transfer coefficient h. What is the time‐dependent temperature profile in the slab? The ultimate goal of this lecture is to demonstrate a method to. Time Dependent Heat Transfer.
From www.chegg.com
Solved P3. Onedimensional time dependent heat transfer Time Dependent Heat Transfer An energy balance of the solid for. At time t = 0, the body is placed into a medium at temperature t∞ (t∞ >ti) with a heat transfer coefficient h. The idea is to construct the simplest. During the time span , there is a total of five pulses with a duration of. 5.1 the lumped capacitance method. The ultimate. Time Dependent Heat Transfer.
From ebrary.net
Transient Heat Flux Measurements for Local Heat Transfer Coefficients Time Dependent Heat Transfer This method assumes spatially uniform solid temperature at any. The slab is a homogeneous material of thermal conductivity, k, density, , and heat. 5.1 the lumped capacitance method. The idea is to construct the simplest. An energy balance of the solid for. What is the time‐dependent temperature profile in the slab? At time t = 0, the body is placed. Time Dependent Heat Transfer.
From www.mdpi.com
Energies Free FullText Estimation of Functional Form of Time Time Dependent Heat Transfer What is the time‐dependent temperature profile in the slab? An energy balance of the solid for. The slab is a homogeneous material of thermal conductivity, k, density, , and heat. During the time span , there is a total of five pulses with a duration of. The ultimate goal of this lecture is to demonstrate a method to solve heat. Time Dependent Heat Transfer.
From www.chegg.com
The timedependent heat equation in 1D space is a PDE Time Dependent Heat Transfer This method assumes spatially uniform solid temperature at any. 5.1 the lumped capacitance method. The ultimate goal of this lecture is to demonstrate a method to solve heat conduction problems in which there are time dependent boundary conditions. The slab is a homogeneous material of thermal conductivity, k, density, , and heat. What is the time‐dependent temperature profile in the. Time Dependent Heat Transfer.
From www.researchgate.net
Hollow cylinders with timedependent temperature and timedependent Time Dependent Heat Transfer What is the time‐dependent temperature profile in the slab? An energy balance of the solid for. During the time span , there is a total of five pulses with a duration of. The idea is to construct the simplest. This method assumes spatially uniform solid temperature at any. The slab is a homogeneous material of thermal conductivity, k, density, ,. Time Dependent Heat Transfer.
From dokumen.tips
(PDF) Timedependent Heat Transfer TTU CAE Network2016/12/02 · Types Time Dependent Heat Transfer 5.1 the lumped capacitance method. At time t = 0, the body is placed into a medium at temperature t∞ (t∞ >ti) with a heat transfer coefficient h. An energy balance of the solid for. The slab is a homogeneous material of thermal conductivity, k, density, , and heat. This method assumes spatially uniform solid temperature at any. The idea. Time Dependent Heat Transfer.
From www.researchgate.net
Timedependent heat transfer coefficient of the side of the mold Time Dependent Heat Transfer 5.1 the lumped capacitance method. At time t = 0, the body is placed into a medium at temperature t∞ (t∞ >ti) with a heat transfer coefficient h. This method assumes spatially uniform solid temperature at any. The slab is a homogeneous material of thermal conductivity, k, density, , and heat. During the time span , there is a total. Time Dependent Heat Transfer.
From www.researchgate.net
Timedependent liquids. Download Scientific Diagram Time Dependent Heat Transfer During the time span , there is a total of five pulses with a duration of. The idea is to construct the simplest. The ultimate goal of this lecture is to demonstrate a method to solve heat conduction problems in which there are time dependent boundary conditions. 5.1 the lumped capacitance method. This method assumes spatially uniform solid temperature at. Time Dependent Heat Transfer.
From www.slideserve.com
PPT Heat Transfer PowerPoint Presentation, free download ID4604972 Time Dependent Heat Transfer The idea is to construct the simplest. What is the time‐dependent temperature profile in the slab? The ultimate goal of this lecture is to demonstrate a method to solve heat conduction problems in which there are time dependent boundary conditions. An energy balance of the solid for. 5.1 the lumped capacitance method. This method assumes spatially uniform solid temperature at. Time Dependent Heat Transfer.
From www.researchgate.net
Timedependent variation of mean temperature and liquidfraction in Time Dependent Heat Transfer The ultimate goal of this lecture is to demonstrate a method to solve heat conduction problems in which there are time dependent boundary conditions. An energy balance of the solid for. 5.1 the lumped capacitance method. The idea is to construct the simplest. What is the time‐dependent temperature profile in the slab? The slab is a homogeneous material of thermal. Time Dependent Heat Transfer.
From www.featool.com
SpaceTime FEM Transformation of TimeDependent to Stationary Time Dependent Heat Transfer At time t = 0, the body is placed into a medium at temperature t∞ (t∞ >ti) with a heat transfer coefficient h. What is the time‐dependent temperature profile in the slab? An energy balance of the solid for. 5.1 the lumped capacitance method. The ultimate goal of this lecture is to demonstrate a method to solve heat conduction problems. Time Dependent Heat Transfer.
From www.researchgate.net
(PDF) Time dependent heat transfer of proliferation resistant plutonium Time Dependent Heat Transfer At time t = 0, the body is placed into a medium at temperature t∞ (t∞ >ti) with a heat transfer coefficient h. 5.1 the lumped capacitance method. An energy balance of the solid for. The ultimate goal of this lecture is to demonstrate a method to solve heat conduction problems in which there are time dependent boundary conditions. During. Time Dependent Heat Transfer.
From www.youtube.com
Geodynamics Lecture 8.1 Timedependent heat transfer YouTube Time Dependent Heat Transfer The ultimate goal of this lecture is to demonstrate a method to solve heat conduction problems in which there are time dependent boundary conditions. What is the time‐dependent temperature profile in the slab? The slab is a homogeneous material of thermal conductivity, k, density, , and heat. An energy balance of the solid for. This method assumes spatially uniform solid. Time Dependent Heat Transfer.
From www.researchgate.net
Schematic of an infinite composite slab with a timedependent heat Time Dependent Heat Transfer At time t = 0, the body is placed into a medium at temperature t∞ (t∞ >ti) with a heat transfer coefficient h. 5.1 the lumped capacitance method. This method assumes spatially uniform solid temperature at any. The idea is to construct the simplest. The ultimate goal of this lecture is to demonstrate a method to solve heat conduction problems. Time Dependent Heat Transfer.
From www.researchgate.net
Timedependent heat of the total energy of the metastable level ( 4 F Time Dependent Heat Transfer 5.1 the lumped capacitance method. The idea is to construct the simplest. The ultimate goal of this lecture is to demonstrate a method to solve heat conduction problems in which there are time dependent boundary conditions. During the time span , there is a total of five pulses with a duration of. At time t = 0, the body is. Time Dependent Heat Transfer.
From www.researchgate.net
Timedependent thermal and electrical response. (a) Timedependent Time Dependent Heat Transfer At time t = 0, the body is placed into a medium at temperature t∞ (t∞ >ti) with a heat transfer coefficient h. The slab is a homogeneous material of thermal conductivity, k, density, , and heat. An energy balance of the solid for. The idea is to construct the simplest. During the time span , there is a total. Time Dependent Heat Transfer.
From www.chegg.com
The timedependent heat equation in 1D space is a PDE Time Dependent Heat Transfer An energy balance of the solid for. The idea is to construct the simplest. During the time span , there is a total of five pulses with a duration of. The slab is a homogeneous material of thermal conductivity, k, density, , and heat. This method assumes spatially uniform solid temperature at any. 5.1 the lumped capacitance method. At time. Time Dependent Heat Transfer.
From www.researchgate.net
(PDF) TimeDependent Heat Transfer Calculations with Trefftz and Picard Time Dependent Heat Transfer The idea is to construct the simplest. At time t = 0, the body is placed into a medium at temperature t∞ (t∞ >ti) with a heat transfer coefficient h. The slab is a homogeneous material of thermal conductivity, k, density, , and heat. During the time span , there is a total of five pulses with a duration of.. Time Dependent Heat Transfer.
From www.mdpi.com
Energies Free FullText Estimation of Functional Form of Time Time Dependent Heat Transfer During the time span , there is a total of five pulses with a duration of. The slab is a homogeneous material of thermal conductivity, k, density, , and heat. This method assumes spatially uniform solid temperature at any. What is the time‐dependent temperature profile in the slab? At time t = 0, the body is placed into a medium. Time Dependent Heat Transfer.
From www.mdpi.com
Energies Free FullText TimeDependent Heat Transfer Calculations Time Dependent Heat Transfer At time t = 0, the body is placed into a medium at temperature t∞ (t∞ >ti) with a heat transfer coefficient h. During the time span , there is a total of five pulses with a duration of. The idea is to construct the simplest. What is the time‐dependent temperature profile in the slab? The slab is a homogeneous. Time Dependent Heat Transfer.
From www.semanticscholar.org
Figure 1 from Calculation of the temperature of boundary layer beside Time Dependent Heat Transfer An energy balance of the solid for. The idea is to construct the simplest. What is the time‐dependent temperature profile in the slab? This method assumes spatially uniform solid temperature at any. The ultimate goal of this lecture is to demonstrate a method to solve heat conduction problems in which there are time dependent boundary conditions. 5.1 the lumped capacitance. Time Dependent Heat Transfer.
From www.researchgate.net
(PDF) Estimation of Functional Form of TimeDependent Heat Transfer Time Dependent Heat Transfer The ultimate goal of this lecture is to demonstrate a method to solve heat conduction problems in which there are time dependent boundary conditions. The idea is to construct the simplest. During the time span , there is a total of five pulses with a duration of. This method assumes spatially uniform solid temperature at any. The slab is a. Time Dependent Heat Transfer.
From www.researchgate.net
Timedependent heat flux graph by HGHFS for condensation of saturated Time Dependent Heat Transfer The slab is a homogeneous material of thermal conductivity, k, density, , and heat. This method assumes spatially uniform solid temperature at any. 5.1 the lumped capacitance method. During the time span , there is a total of five pulses with a duration of. An energy balance of the solid for. The idea is to construct the simplest. The ultimate. Time Dependent Heat Transfer.
From www.researchgate.net
(PDF) Analytical Solution of Heat Conduction for Hollow Cylinders with Time Dependent Heat Transfer The idea is to construct the simplest. This method assumes spatially uniform solid temperature at any. An energy balance of the solid for. During the time span , there is a total of five pulses with a duration of. The slab is a homogeneous material of thermal conductivity, k, density, , and heat. What is the time‐dependent temperature profile in. Time Dependent Heat Transfer.
From www.mdpi.com
Energies Free FullText Estimation of Functional Form of Time Time Dependent Heat Transfer The ultimate goal of this lecture is to demonstrate a method to solve heat conduction problems in which there are time dependent boundary conditions. During the time span , there is a total of five pulses with a duration of. 5.1 the lumped capacitance method. An energy balance of the solid for. What is the time‐dependent temperature profile in the. Time Dependent Heat Transfer.