Bungee Cord Equilibrium Length . Mass, length, and stiffness formula. In summary, at the lowest point of the fall, the bungee cord. A hanger was attached to the loop from. The cord is stretched to a length of 1.80 m, then vibrated at 26 hz. A 65 g bungee cord has an equilibrium length of 1.20 m. A 75 g bungee cord has an equilibrium length of 1.20 m. The length of the cord, the weight of the jumper, and the strength of the cord are crucial factors. This length is the cord’s equilibrium. The ideal length for a bungee cord depends on several factors, including the weight of the person jumping and the desired height of. The cord is stretched to a length of 1.80 m, then vibrated at 20 hz. For each length of unstretched string, the static stretched bungee cord length was measured with the spring and hanging mass. The cord should not be too long.
from www.chegg.com
In summary, at the lowest point of the fall, the bungee cord. A 65 g bungee cord has an equilibrium length of 1.20 m. The length of the cord, the weight of the jumper, and the strength of the cord are crucial factors. For each length of unstretched string, the static stretched bungee cord length was measured with the spring and hanging mass. The cord is stretched to a length of 1.80 m, then vibrated at 26 hz. This length is the cord’s equilibrium. A 75 g bungee cord has an equilibrium length of 1.20 m. The ideal length for a bungee cord depends on several factors, including the weight of the person jumping and the desired height of. Mass, length, and stiffness formula. The cord is stretched to a length of 1.80 m, then vibrated at 20 hz.
Solved A 72 g bungee cord has an equilibrium length of 1.20
Bungee Cord Equilibrium Length The cord is stretched to a length of 1.80 m, then vibrated at 20 hz. The ideal length for a bungee cord depends on several factors, including the weight of the person jumping and the desired height of. In summary, at the lowest point of the fall, the bungee cord. A 65 g bungee cord has an equilibrium length of 1.20 m. A 75 g bungee cord has an equilibrium length of 1.20 m. The cord should not be too long. The cord is stretched to a length of 1.80 m, then vibrated at 26 hz. For each length of unstretched string, the static stretched bungee cord length was measured with the spring and hanging mass. The cord is stretched to a length of 1.80 m, then vibrated at 20 hz. Mass, length, and stiffness formula. This length is the cord’s equilibrium. The length of the cord, the weight of the jumper, and the strength of the cord are crucial factors. A hanger was attached to the loop from.
From www.numerade.com
SOLVED Review. A 65.0kg bungee jumper steps off a bridge with a light Bungee Cord Equilibrium Length A hanger was attached to the loop from. Mass, length, and stiffness formula. For each length of unstretched string, the static stretched bungee cord length was measured with the spring and hanging mass. A 75 g bungee cord has an equilibrium length of 1.20 m. This length is the cord’s equilibrium. The length of the cord, the weight of the. Bungee Cord Equilibrium Length.
From www.chegg.com
Solved A 72 g bungee cord has an equilibrium length of 1.20 Bungee Cord Equilibrium Length A 75 g bungee cord has an equilibrium length of 1.20 m. In summary, at the lowest point of the fall, the bungee cord. Mass, length, and stiffness formula. The cord should not be too long. This length is the cord’s equilibrium. The cord is stretched to a length of 1.80 m, then vibrated at 26 hz. The ideal length. Bungee Cord Equilibrium Length.
From www.chegg.com
Solved Question 1 (50 marks) Three linked bungee jumpers Bungee Cord Equilibrium Length For each length of unstretched string, the static stretched bungee cord length was measured with the spring and hanging mass. The cord is stretched to a length of 1.80 m, then vibrated at 26 hz. The cord is stretched to a length of 1.80 m, then vibrated at 20 hz. Mass, length, and stiffness formula. The cord should not be. Bungee Cord Equilibrium Length.
From www.chegg.com
Solved A 72 g bungee cord has an equilibrium length of 1.20 Bungee Cord Equilibrium Length A 75 g bungee cord has an equilibrium length of 1.20 m. The cord is stretched to a length of 1.80 m, then vibrated at 26 hz. A hanger was attached to the loop from. The length of the cord, the weight of the jumper, and the strength of the cord are crucial factors. In summary, at the lowest point. Bungee Cord Equilibrium Length.
From www.chegg.com
Solved A 67g bungee cord has an equilibrium length of Bungee Cord Equilibrium Length A 75 g bungee cord has an equilibrium length of 1.20 m. This length is the cord’s equilibrium. A 65 g bungee cord has an equilibrium length of 1.20 m. The cord should not be too long. Mass, length, and stiffness formula. The cord is stretched to a length of 1.80 m, then vibrated at 26 hz. The ideal length. Bungee Cord Equilibrium Length.
From www.chegg.com
Solved A 78 g bungee cord has an equilibrium length of 1.20 Bungee Cord Equilibrium Length A 75 g bungee cord has an equilibrium length of 1.20 m. This length is the cord’s equilibrium. A hanger was attached to the loop from. The ideal length for a bungee cord depends on several factors, including the weight of the person jumping and the desired height of. Mass, length, and stiffness formula. The cord is stretched to a. Bungee Cord Equilibrium Length.
From www.chegg.com
Solved A bungee cord exerts a elastic force of Bungee Cord Equilibrium Length This length is the cord’s equilibrium. The length of the cord, the weight of the jumper, and the strength of the cord are crucial factors. A 65 g bungee cord has an equilibrium length of 1.20 m. The cord is stretched to a length of 1.80 m, then vibrated at 26 hz. The ideal length for a bungee cord depends. Bungee Cord Equilibrium Length.
From www.chegg.com
Solved A 60 ig bungee cord has an equilibrium length of 1.20 Bungee Cord Equilibrium Length The ideal length for a bungee cord depends on several factors, including the weight of the person jumping and the desired height of. In summary, at the lowest point of the fall, the bungee cord. A 65 g bungee cord has an equilibrium length of 1.20 m. A 75 g bungee cord has an equilibrium length of 1.20 m. The. Bungee Cord Equilibrium Length.
From bungeecity.com
The Ultimate Guide to Choosing the Right Size Bungee Cord Length Bungee Cord Equilibrium Length This length is the cord’s equilibrium. In summary, at the lowest point of the fall, the bungee cord. A 75 g bungee cord has an equilibrium length of 1.20 m. For each length of unstretched string, the static stretched bungee cord length was measured with the spring and hanging mass. A hanger was attached to the loop from. The ideal. Bungee Cord Equilibrium Length.
From strapright.com
Ball Bungees 60 Pack Strapright Bungee Cord Equilibrium Length The cord is stretched to a length of 1.80 m, then vibrated at 20 hz. For each length of unstretched string, the static stretched bungee cord length was measured with the spring and hanging mass. A 65 g bungee cord has an equilibrium length of 1.20 m. A 75 g bungee cord has an equilibrium length of 1.20 m. The. Bungee Cord Equilibrium Length.
From www.iqsdirectory.com
Shock, Bungee, and Elastic Cord Types, Design, Uses, and Benefits Bungee Cord Equilibrium Length The cord should not be too long. The ideal length for a bungee cord depends on several factors, including the weight of the person jumping and the desired height of. A 75 g bungee cord has an equilibrium length of 1.20 m. The length of the cord, the weight of the jumper, and the strength of the cord are crucial. Bungee Cord Equilibrium Length.
From www.numerade.com
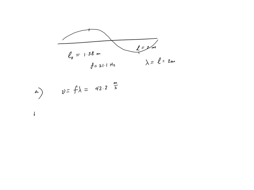
SOLVED A 95.7 g bungee cord has an equilibrium length of 1.38 m . The Bungee Cord Equilibrium Length A hanger was attached to the loop from. Mass, length, and stiffness formula. This length is the cord’s equilibrium. A 75 g bungee cord has an equilibrium length of 1.20 m. The cord should not be too long. The ideal length for a bungee cord depends on several factors, including the weight of the person jumping and the desired height. Bungee Cord Equilibrium Length.
From www.shepherdhardware.com
General Grade Bungee Cord Assortment 6 Sizes, 24Pack, Shepherd Bungee Cord Equilibrium Length The ideal length for a bungee cord depends on several factors, including the weight of the person jumping and the desired height of. A 65 g bungee cord has an equilibrium length of 1.20 m. Mass, length, and stiffness formula. The length of the cord, the weight of the jumper, and the strength of the cord are crucial factors. The. Bungee Cord Equilibrium Length.
From mavink.com
Bungee Cord Size Chart Bungee Cord Equilibrium Length A 65 g bungee cord has an equilibrium length of 1.20 m. A hanger was attached to the loop from. Mass, length, and stiffness formula. The cord is stretched to a length of 1.80 m, then vibrated at 26 hz. A 75 g bungee cord has an equilibrium length of 1.20 m. For each length of unstretched string, the static. Bungee Cord Equilibrium Length.
From www.numerade.com
Problem 4 Bungee Jumping (continued) A bungee jumper of mass m has a Bungee Cord Equilibrium Length The cord is stretched to a length of 1.80 m, then vibrated at 20 hz. For each length of unstretched string, the static stretched bungee cord length was measured with the spring and hanging mass. A hanger was attached to the loop from. The length of the cord, the weight of the jumper, and the strength of the cord are. Bungee Cord Equilibrium Length.
From www.chegg.com
Solved QUESTION 3 (work For Previous Questions Below This... Bungee Cord Equilibrium Length Mass, length, and stiffness formula. For each length of unstretched string, the static stretched bungee cord length was measured with the spring and hanging mass. In summary, at the lowest point of the fall, the bungee cord. The cord should not be too long. The cord is stretched to a length of 1.80 m, then vibrated at 20 hz. A. Bungee Cord Equilibrium Length.
From www.chegg.com
Solved A 83 g bungee cord has an equilibrium length of 1.20 Bungee Cord Equilibrium Length Mass, length, and stiffness formula. For each length of unstretched string, the static stretched bungee cord length was measured with the spring and hanging mass. The length of the cord, the weight of the jumper, and the strength of the cord are crucial factors. The cord should not be too long. A hanger was attached to the loop from. In. Bungee Cord Equilibrium Length.
From www.chegg.com
Solved Ql. A 70 kg bungee jumper jump from the top of a 70 m Bungee Cord Equilibrium Length A 65 g bungee cord has an equilibrium length of 1.20 m. For each length of unstretched string, the static stretched bungee cord length was measured with the spring and hanging mass. The cord is stretched to a length of 1.80 m, then vibrated at 20 hz. The cord should not be too long. Mass, length, and stiffness formula. A. Bungee Cord Equilibrium Length.
From www.numerade.com
7 The Physics of Bungee Jumping (10 pts) In this problem you will Bungee Cord Equilibrium Length This length is the cord’s equilibrium. The cord is stretched to a length of 1.80 m, then vibrated at 26 hz. The cord should not be too long. A 75 g bungee cord has an equilibrium length of 1.20 m. For each length of unstretched string, the static stretched bungee cord length was measured with the spring and hanging mass.. Bungee Cord Equilibrium Length.
From www.britannica.com
Elasticity Definition, Examples, & Facts Britannica Bungee Cord Equilibrium Length The cord is stretched to a length of 1.80 m, then vibrated at 20 hz. A 65 g bungee cord has an equilibrium length of 1.20 m. For each length of unstretched string, the static stretched bungee cord length was measured with the spring and hanging mass. The length of the cord, the weight of the jumper, and the strength. Bungee Cord Equilibrium Length.
From www.chegg.com
Solved A 68 g bungee cord has an equilibrium length of 1.20 Bungee Cord Equilibrium Length The cord is stretched to a length of 1.80 m, then vibrated at 26 hz. In summary, at the lowest point of the fall, the bungee cord. The length of the cord, the weight of the jumper, and the strength of the cord are crucial factors. Mass, length, and stiffness formula. This length is the cord’s equilibrium. The cord should. Bungee Cord Equilibrium Length.
From www.numerade.com
SOLVEDA 75 g bungee cord has an equilibrium length of 1.2 m. The cord Bungee Cord Equilibrium Length The length of the cord, the weight of the jumper, and the strength of the cord are crucial factors. The cord is stretched to a length of 1.80 m, then vibrated at 26 hz. A 75 g bungee cord has an equilibrium length of 1.20 m. The ideal length for a bungee cord depends on several factors, including the weight. Bungee Cord Equilibrium Length.
From www.chegg.com
Solved a) You jump off a bridge with a (massless) bungee Bungee Cord Equilibrium Length A 65 g bungee cord has an equilibrium length of 1.20 m. The cord is stretched to a length of 1.80 m, then vibrated at 20 hz. Mass, length, and stiffness formula. This length is the cord’s equilibrium. The ideal length for a bungee cord depends on several factors, including the weight of the person jumping and the desired height. Bungee Cord Equilibrium Length.
From www.numerade.com
SOLVED A 75 g bungee cord has an equilibrium length of 1.20 m. The Bungee Cord Equilibrium Length A hanger was attached to the loop from. The cord should not be too long. The cord is stretched to a length of 1.80 m, then vibrated at 26 hz. The cord is stretched to a length of 1.80 m, then vibrated at 20 hz. A 65 g bungee cord has an equilibrium length of 1.20 m. The ideal length. Bungee Cord Equilibrium Length.
From www.youtube.com
Hooke's Constant Bungee Jumping Example 1 YouTube Bungee Cord Equilibrium Length The ideal length for a bungee cord depends on several factors, including the weight of the person jumping and the desired height of. For each length of unstretched string, the static stretched bungee cord length was measured with the spring and hanging mass. The cord should not be too long. The cord is stretched to a length of 1.80 m,. Bungee Cord Equilibrium Length.
From www.ropesdirect.co.uk
Everything you need to know about bungee cord Ropes Direct Ropes Direct Bungee Cord Equilibrium Length The cord is stretched to a length of 1.80 m, then vibrated at 20 hz. The ideal length for a bungee cord depends on several factors, including the weight of the person jumping and the desired height of. The length of the cord, the weight of the jumper, and the strength of the cord are crucial factors. A 75 g. Bungee Cord Equilibrium Length.
From www.chegg.com
Solved A 83 g bungee cord has an equilibrium length of 1.20 Bungee Cord Equilibrium Length The cord should not be too long. The cord is stretched to a length of 1.80 m, then vibrated at 20 hz. The length of the cord, the weight of the jumper, and the strength of the cord are crucial factors. A 65 g bungee cord has an equilibrium length of 1.20 m. For each length of unstretched string, the. Bungee Cord Equilibrium Length.
From www.chegg.com
Solved Item 1 A 64 g bungee cord has an equilibrium length Bungee Cord Equilibrium Length This length is the cord’s equilibrium. A hanger was attached to the loop from. A 65 g bungee cord has an equilibrium length of 1.20 m. Mass, length, and stiffness formula. For each length of unstretched string, the static stretched bungee cord length was measured with the spring and hanging mass. A 75 g bungee cord has an equilibrium length. Bungee Cord Equilibrium Length.
From www.chegg.com
Solved Part AA 62g bungee cord has an equilibrium length of Bungee Cord Equilibrium Length The length of the cord, the weight of the jumper, and the strength of the cord are crucial factors. The ideal length for a bungee cord depends on several factors, including the weight of the person jumping and the desired height of. The cord should not be too long. In summary, at the lowest point of the fall, the bungee. Bungee Cord Equilibrium Length.
From www.chegg.com
Solved A 67g bungee cord has an equilibrium length of Bungee Cord Equilibrium Length This length is the cord’s equilibrium. In summary, at the lowest point of the fall, the bungee cord. The length of the cord, the weight of the jumper, and the strength of the cord are crucial factors. A 65 g bungee cord has an equilibrium length of 1.20 m. Mass, length, and stiffness formula. The ideal length for a bungee. Bungee Cord Equilibrium Length.
From www.ropesdirect.co.uk
Everything you need to know about bungee cord Ropes Direct Ropes Direct Bungee Cord Equilibrium Length In summary, at the lowest point of the fall, the bungee cord. A 65 g bungee cord has an equilibrium length of 1.20 m. A 75 g bungee cord has an equilibrium length of 1.20 m. The cord is stretched to a length of 1.80 m, then vibrated at 26 hz. The ideal length for a bungee cord depends on. Bungee Cord Equilibrium Length.
From www.chegg.com
Solved Consider following scenario A bunch jumping station Bungee Cord Equilibrium Length Mass, length, and stiffness formula. This length is the cord’s equilibrium. A hanger was attached to the loop from. A 75 g bungee cord has an equilibrium length of 1.20 m. The cord is stretched to a length of 1.80 m, then vibrated at 20 hz. The length of the cord, the weight of the jumper, and the strength of. Bungee Cord Equilibrium Length.
From www.numerade.com
A bungee cord exerts a elastic force of magnitude F(x) = k1x Bungee Cord Equilibrium Length A 65 g bungee cord has an equilibrium length of 1.20 m. In summary, at the lowest point of the fall, the bungee cord. Mass, length, and stiffness formula. For each length of unstretched string, the static stretched bungee cord length was measured with the spring and hanging mass. The ideal length for a bungee cord depends on several factors,. Bungee Cord Equilibrium Length.
From www.chegg.com
Solved 326. The 10lb weight A is supported by the cord AC Bungee Cord Equilibrium Length A 65 g bungee cord has an equilibrium length of 1.20 m. In summary, at the lowest point of the fall, the bungee cord. The length of the cord, the weight of the jumper, and the strength of the cord are crucial factors. The ideal length for a bungee cord depends on several factors, including the weight of the person. Bungee Cord Equilibrium Length.
From www.chegg.com
Solved Figure 3 di Before equilibrium length d2 After As Bungee Cord Equilibrium Length A hanger was attached to the loop from. Mass, length, and stiffness formula. A 75 g bungee cord has an equilibrium length of 1.20 m. The ideal length for a bungee cord depends on several factors, including the weight of the person jumping and the desired height of. The cord is stretched to a length of 1.80 m, then vibrated. Bungee Cord Equilibrium Length.