How To Get A Land Patent On My Property . — one can be an agent, standing in for an owner (this is often a lawyer). An allodial title represents the highest form of land ownership, granting. Ask for the land patent records office. — my first foray into land records was using the bureau of land management’s website to find land patents for my ancestors. take the legal description of your land to the bureau of land management. — key takeaways: On this website you can search for your ancestor in each federal land state and view the completed patent, the original survey, and other related documents. take your property deed and the legal description of the land to the local bureau of land management offices to request a legal copy of your land patent. The request may take some time to fulfill because the blm must use the official documents you provide to produce a certified copy of the land patent. One can simply hold the operating rights to a patent. — you’ll want to run a land patent search to ensure that any land or property you purchase is free from a land.
from www.topconsumerreviews.com
take your property deed and the legal description of the land to the local bureau of land management offices to request a legal copy of your land patent. On this website you can search for your ancestor in each federal land state and view the completed patent, the original survey, and other related documents. — my first foray into land records was using the bureau of land management’s website to find land patents for my ancestors. One can simply hold the operating rights to a patent. An allodial title represents the highest form of land ownership, granting. Ask for the land patent records office. — you’ll want to run a land patent search to ensure that any land or property you purchase is free from a land. — key takeaways: The request may take some time to fulfill because the blm must use the official documents you provide to produce a certified copy of the land patent. take the legal description of your land to the bureau of land management.
The 8 Best Patent Application Services for 2024 Free Buyers Guide
How To Get A Land Patent On My Property — key takeaways: The request may take some time to fulfill because the blm must use the official documents you provide to produce a certified copy of the land patent. — my first foray into land records was using the bureau of land management’s website to find land patents for my ancestors. Ask for the land patent records office. take the legal description of your land to the bureau of land management. On this website you can search for your ancestor in each federal land state and view the completed patent, the original survey, and other related documents. — one can be an agent, standing in for an owner (this is often a lawyer). An allodial title represents the highest form of land ownership, granting. — you’ll want to run a land patent search to ensure that any land or property you purchase is free from a land. take your property deed and the legal description of the land to the local bureau of land management offices to request a legal copy of your land patent. One can simply hold the operating rights to a patent. — key takeaways:
From constitutionalcommando.com
Allodial Titles & Land Patents How To Get A Land Patent On My Property An allodial title represents the highest form of land ownership, granting. Ask for the land patent records office. The request may take some time to fulfill because the blm must use the official documents you provide to produce a certified copy of the land patent. take the legal description of your land to the bureau of land management. On. How To Get A Land Patent On My Property.
From aweekofgenealogy.com
From Land Patent to Google Earth How To Get A Land Patent On My Property — key takeaways: — my first foray into land records was using the bureau of land management’s website to find land patents for my ancestors. The request may take some time to fulfill because the blm must use the official documents you provide to produce a certified copy of the land patent. An allodial title represents the highest. How To Get A Land Patent On My Property.
From www.antiquesnavigator.com
1890 LAND PATENT DOCUMENT RE WILLIAM STEVENS LASSEN COUNTY CALIFORNIA How To Get A Land Patent On My Property The request may take some time to fulfill because the blm must use the official documents you provide to produce a certified copy of the land patent. take the legal description of your land to the bureau of land management. take your property deed and the legal description of the land to the local bureau of land management. How To Get A Land Patent On My Property.
From www.scribd.com
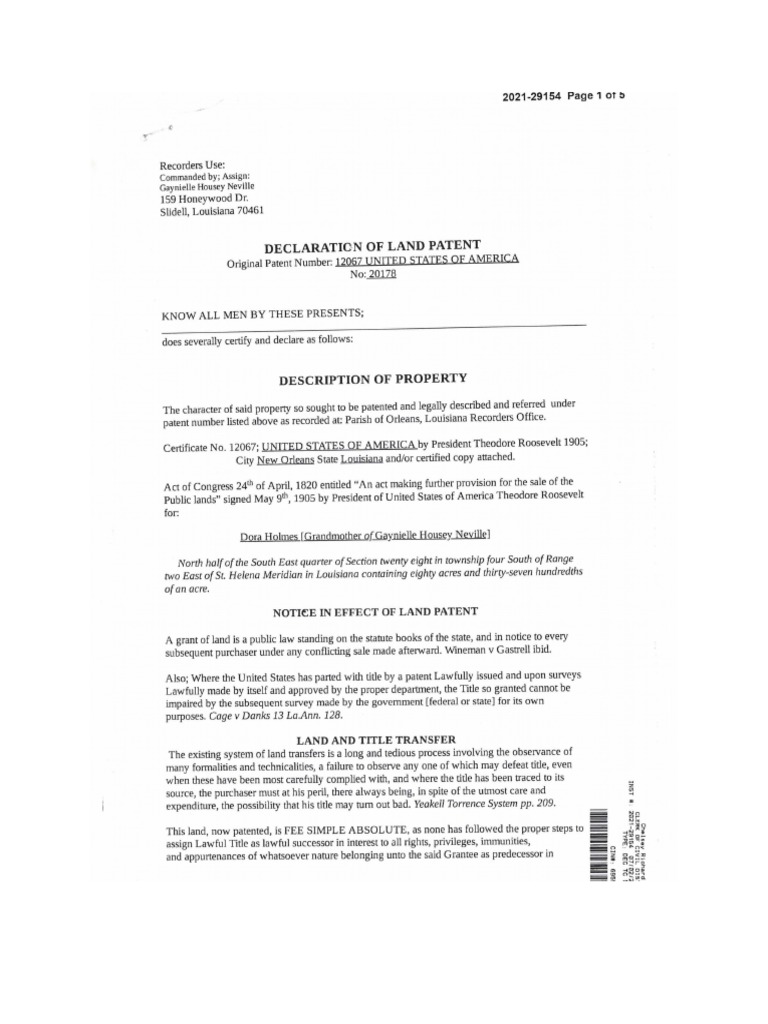
Land Patent Declaration PDF Notary Public Common Law How To Get A Land Patent On My Property Ask for the land patent records office. — one can be an agent, standing in for an owner (this is often a lawyer). One can simply hold the operating rights to a patent. An allodial title represents the highest form of land ownership, granting. take your property deed and the legal description of the land to the local. How To Get A Land Patent On My Property.
From www.youtube.com
Land patent YouTube How To Get A Land Patent On My Property — you’ll want to run a land patent search to ensure that any land or property you purchase is free from a land. — my first foray into land records was using the bureau of land management’s website to find land patents for my ancestors. take the legal description of your land to the bureau of land. How To Get A Land Patent On My Property.
From exoeiaazb.blob.core.windows.net
How To Get My House Title at Stephanie Sutton blog How To Get A Land Patent On My Property take your property deed and the legal description of the land to the local bureau of land management offices to request a legal copy of your land patent. — one can be an agent, standing in for an owner (this is often a lawyer). — my first foray into land records was using the bureau of land. How To Get A Land Patent On My Property.
From ontariolandowners.ca
How to Obtain an Indian Land Patent by Nat Bugera Ontario How To Get A Land Patent On My Property — one can be an agent, standing in for an owner (this is often a lawyer). take your property deed and the legal description of the land to the local bureau of land management offices to request a legal copy of your land patent. take the legal description of your land to the bureau of land management.. How To Get A Land Patent On My Property.
From www.scribd.com
Land Patent Final PDF Property Law Private Law How To Get A Land Patent On My Property take the legal description of your land to the bureau of land management. take your property deed and the legal description of the land to the local bureau of land management offices to request a legal copy of your land patent. Ask for the land patent records office. — you’ll want to run a land patent search. How To Get A Land Patent On My Property.
From lisalouisecooke.com
How to Find and Use Land Records for Genealogy Genealogy Gems How To Get A Land Patent On My Property One can simply hold the operating rights to a patent. On this website you can search for your ancestor in each federal land state and view the completed patent, the original survey, and other related documents. — you’ll want to run a land patent search to ensure that any land or property you purchase is free from a land.. How To Get A Land Patent On My Property.
From mobley.ca
Land Patent John B. Mobley How To Get A Land Patent On My Property — key takeaways: — my first foray into land records was using the bureau of land management’s website to find land patents for my ancestors. take your property deed and the legal description of the land to the local bureau of land management offices to request a legal copy of your land patent. — one can. How To Get A Land Patent On My Property.
From www.youtube.com
How to get a land patent on my property? YouTube How To Get A Land Patent On My Property take your property deed and the legal description of the land to the local bureau of land management offices to request a legal copy of your land patent. — my first foray into land records was using the bureau of land management’s website to find land patents for my ancestors. — key takeaways: One can simply hold. How To Get A Land Patent On My Property.
From www.scribd.com
Documents To Gather First For Declaration of Land Patent Certified How To Get A Land Patent On My Property — you’ll want to run a land patent search to ensure that any land or property you purchase is free from a land. take the legal description of your land to the bureau of land management. An allodial title represents the highest form of land ownership, granting. One can simply hold the operating rights to a patent. Ask. How To Get A Land Patent On My Property.
From fiegenbaum.org
Documents Adolph Heinrich Fiegenbaum's land patent St. Charles How To Get A Land Patent On My Property — one can be an agent, standing in for an owner (this is often a lawyer). — my first foray into land records was using the bureau of land management’s website to find land patents for my ancestors. — you’ll want to run a land patent search to ensure that any land or property you purchase is. How To Get A Land Patent On My Property.
From www.youtube.com
How to Find a Land Patent for Genealogy Research Roam your Roots How To Get A Land Patent On My Property — one can be an agent, standing in for an owner (this is often a lawyer). — key takeaways: An allodial title represents the highest form of land ownership, granting. The request may take some time to fulfill because the blm must use the official documents you provide to produce a certified copy of the land patent. . How To Get A Land Patent On My Property.
From www.youtube.com
LAND PATENT & ALLODIAL TITLE YouTube How To Get A Land Patent On My Property One can simply hold the operating rights to a patent. — you’ll want to run a land patent search to ensure that any land or property you purchase is free from a land. take your property deed and the legal description of the land to the local bureau of land management offices to request a legal copy of. How To Get A Land Patent On My Property.
From www.scribd.com
Land Patent Law How To Get A Land Patent On My Property An allodial title represents the highest form of land ownership, granting. — key takeaways: The request may take some time to fulfill because the blm must use the official documents you provide to produce a certified copy of the land patent. take your property deed and the legal description of the land to the local bureau of land. How To Get A Land Patent On My Property.
From chainoftitleresearcher.com
Land Patent Templets Instant Download How To Get A Land Patent On My Property — key takeaways: take your property deed and the legal description of the land to the local bureau of land management offices to request a legal copy of your land patent. An allodial title represents the highest form of land ownership, granting. — you’ll want to run a land patent search to ensure that any land or. How To Get A Land Patent On My Property.
From www.scribd.com
Land Land Patent Declaration [19291] How To Get A Land Patent On My Property take the legal description of your land to the bureau of land management. An allodial title represents the highest form of land ownership, granting. On this website you can search for your ancestor in each federal land state and view the completed patent, the original survey, and other related documents. — key takeaways: Ask for the land patent. How To Get A Land Patent On My Property.
From www.scribd.com
Allodial Titles and Land Patents PDF How To Get A Land Patent On My Property take your property deed and the legal description of the land to the local bureau of land management offices to request a legal copy of your land patent. On this website you can search for your ancestor in each federal land state and view the completed patent, the original survey, and other related documents. — one can be. How To Get A Land Patent On My Property.
From areweallreallyeducated.com
Regain Your Land Through Land Patent Contact Us To Inquire About the How To Get A Land Patent On My Property — you’ll want to run a land patent search to ensure that any land or property you purchase is free from a land. The request may take some time to fulfill because the blm must use the official documents you provide to produce a certified copy of the land patent. One can simply hold the operating rights to a. How To Get A Land Patent On My Property.
From www.topconsumerreviews.com
The 8 Best Patent Application Services for 2024 Free Buyers Guide How To Get A Land Patent On My Property Ask for the land patent records office. On this website you can search for your ancestor in each federal land state and view the completed patent, the original survey, and other related documents. — key takeaways: The request may take some time to fulfill because the blm must use the official documents you provide to produce a certified copy. How To Get A Land Patent On My Property.
From cancel1mortgage.info
How To Perfect Allodial Title Of Property Through Land Patent In Any How To Get A Land Patent On My Property — one can be an agent, standing in for an owner (this is often a lawyer). — key takeaways: An allodial title represents the highest form of land ownership, granting. take the legal description of your land to the bureau of land management. — you’ll want to run a land patent search to ensure that any. How To Get A Land Patent On My Property.
From www.pinterest.com
0004 Land & Real Property Acquisition Claim of Land Patent Title How To Get A Land Patent On My Property An allodial title represents the highest form of land ownership, granting. On this website you can search for your ancestor in each federal land state and view the completed patent, the original survey, and other related documents. — key takeaways: The request may take some time to fulfill because the blm must use the official documents you provide to. How To Get A Land Patent On My Property.
From www.canr.msu.edu
How land patents relate to planning, zoning and property taxes MSU How To Get A Land Patent On My Property The request may take some time to fulfill because the blm must use the official documents you provide to produce a certified copy of the land patent. — my first foray into land records was using the bureau of land management’s website to find land patents for my ancestors. An allodial title represents the highest form of land ownership,. How To Get A Land Patent On My Property.
From www.scribd.com
Land Patents 01 Docs Assignment (Law) Patent How To Get A Land Patent On My Property take the legal description of your land to the bureau of land management. Ask for the land patent records office. One can simply hold the operating rights to a patent. — you’ll want to run a land patent search to ensure that any land or property you purchase is free from a land. — one can be. How To Get A Land Patent On My Property.
From www.scribd.com
Declaration of Land Patent Notary Public Real Property How To Get A Land Patent On My Property An allodial title represents the highest form of land ownership, granting. — my first foray into land records was using the bureau of land management’s website to find land patents for my ancestors. Ask for the land patent records office. One can simply hold the operating rights to a patent. The request may take some time to fulfill because. How To Get A Land Patent On My Property.
From www.familysearch.org
Land Patent Search • FamilySearch How To Get A Land Patent On My Property An allodial title represents the highest form of land ownership, granting. take the legal description of your land to the bureau of land management. — key takeaways: — you’ll want to run a land patent search to ensure that any land or property you purchase is free from a land. The request may take some time to. How To Get A Land Patent On My Property.
From www.youtube.com
REGISTER YOUR PROPERTY THE RIGHT WAY, LAND PATENT LAND PATENT LAND How To Get A Land Patent On My Property take your property deed and the legal description of the land to the local bureau of land management offices to request a legal copy of your land patent. — my first foray into land records was using the bureau of land management’s website to find land patents for my ancestors. One can simply hold the operating rights to. How To Get A Land Patent On My Property.
From prattlandpatent.com
Land Patent Pratt Land Patent How To Get A Land Patent On My Property Ask for the land patent records office. The request may take some time to fulfill because the blm must use the official documents you provide to produce a certified copy of the land patent. One can simply hold the operating rights to a patent. — key takeaways: An allodial title represents the highest form of land ownership, granting. On. How To Get A Land Patent On My Property.
From www.youtube.com
LAND TITLE FREE PATENT OR JUDICIAL REGISTRATION? YouTube How To Get A Land Patent On My Property The request may take some time to fulfill because the blm must use the official documents you provide to produce a certified copy of the land patent. One can simply hold the operating rights to a patent. — key takeaways: take your property deed and the legal description of the land to the local bureau of land management. How To Get A Land Patent On My Property.
From www.scribd.com
Declaration of Land Patent PDF How To Get A Land Patent On My Property — key takeaways: — you’ll want to run a land patent search to ensure that any land or property you purchase is free from a land. The request may take some time to fulfill because the blm must use the official documents you provide to produce a certified copy of the land patent. Ask for the land patent. How To Get A Land Patent On My Property.
From dokumen.tips
(PDF) Declaration of Land Patent Instruction Sheet DOKUMEN.TIPS How To Get A Land Patent On My Property The request may take some time to fulfill because the blm must use the official documents you provide to produce a certified copy of the land patent. take your property deed and the legal description of the land to the local bureau of land management offices to request a legal copy of your land patent. One can simply hold. How To Get A Land Patent On My Property.
From www.youtube.com
How to get a land patent for your property AFX YouTube How To Get A Land Patent On My Property take the legal description of your land to the bureau of land management. — key takeaways: — you’ll want to run a land patent search to ensure that any land or property you purchase is free from a land. — my first foray into land records was using the bureau of land management’s website to find. How To Get A Land Patent On My Property.
From landpatentpost.us
Land Patent Post Land Patent Resources How To Get A Land Patent On My Property An allodial title represents the highest form of land ownership, granting. The request may take some time to fulfill because the blm must use the official documents you provide to produce a certified copy of the land patent. — one can be an agent, standing in for an owner (this is often a lawyer). take the legal description. How To Get A Land Patent On My Property.
From www.wallstreetmojo.com
Patents Meaning ,Types, Examples, Benefits, vs Copyright How To Get A Land Patent On My Property One can simply hold the operating rights to a patent. — one can be an agent, standing in for an owner (this is often a lawyer). Ask for the land patent records office. — key takeaways: On this website you can search for your ancestor in each federal land state and view the completed patent, the original survey,. How To Get A Land Patent On My Property.