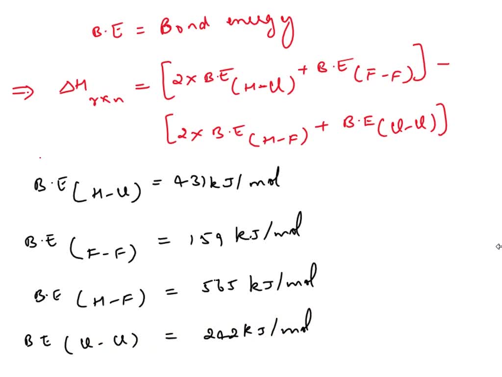
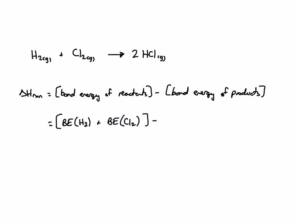
Aleks Bond Energy Table . atoms bond together to form compounds because in doing so they attain lower energies than they possess as individual atoms. Using the appropriate bond energies, calculate the heat of reaction δh for the following reaction: the following tables list experimental bond dissociation enthalpies of common bonds at 298 k. You can find a table of bond energies by. using the appropriate bond energies, calculate the heat of reaction h for the following reaction: each specific bond has its own characteristic strength, and extensive tables of such data are available. The rest are average bond energies. *bond dissociation energies for diatomic molecules can be directly measured. about press copyright contact us creators advertise developers terms.
from www.youtube.com
*bond dissociation energies for diatomic molecules can be directly measured. the following tables list experimental bond dissociation enthalpies of common bonds at 298 k. atoms bond together to form compounds because in doing so they attain lower energies than they possess as individual atoms. You can find a table of bond energies by. each specific bond has its own characteristic strength, and extensive tables of such data are available. Using the appropriate bond energies, calculate the heat of reaction δh for the following reaction: using the appropriate bond energies, calculate the heat of reaction h for the following reaction: about press copyright contact us creators advertise developers terms. The rest are average bond energies.
ALEKS Predicting relative lattice energy of binary ionic compounds
Aleks Bond Energy Table using the appropriate bond energies, calculate the heat of reaction h for the following reaction: *bond dissociation energies for diatomic molecules can be directly measured. You can find a table of bond energies by. The rest are average bond energies. each specific bond has its own characteristic strength, and extensive tables of such data are available. using the appropriate bond energies, calculate the heat of reaction h for the following reaction: Using the appropriate bond energies, calculate the heat of reaction δh for the following reaction: about press copyright contact us creators advertise developers terms. the following tables list experimental bond dissociation enthalpies of common bonds at 298 k. atoms bond together to form compounds because in doing so they attain lower energies than they possess as individual atoms.
From www.chegg.com
Solved Calculate the heat of reaction ΔH for the following Aleks Bond Energy Table atoms bond together to form compounds because in doing so they attain lower energies than they possess as individual atoms. the following tables list experimental bond dissociation enthalpies of common bonds at 298 k. about press copyright contact us creators advertise developers terms. each specific bond has its own characteristic strength, and extensive tables of such. Aleks Bond Energy Table.
From www.chegg.com
Solved Using the appropriate bond energies, calculate the Aleks Bond Energy Table Using the appropriate bond energies, calculate the heat of reaction δh for the following reaction: the following tables list experimental bond dissociation enthalpies of common bonds at 298 k. atoms bond together to form compounds because in doing so they attain lower energies than they possess as individual atoms. You can find a table of bond energies by.. Aleks Bond Energy Table.
From www.scribd.com
Bond Energy Table PDF Aleks Bond Energy Table You can find a table of bond energies by. about press copyright contact us creators advertise developers terms. each specific bond has its own characteristic strength, and extensive tables of such data are available. Using the appropriate bond energies, calculate the heat of reaction δh for the following reaction: atoms bond together to form compounds because in. Aleks Bond Energy Table.
From www.researchgate.net
AVERAGE BOND ENERGIES IN HACa Download Table Aleks Bond Energy Table *bond dissociation energies for diatomic molecules can be directly measured. the following tables list experimental bond dissociation enthalpies of common bonds at 298 k. each specific bond has its own characteristic strength, and extensive tables of such data are available. You can find a table of bond energies by. using the appropriate bond energies, calculate the. Aleks Bond Energy Table.
From www.studyxapp.com
calculate the heat of reaction ah for the following reaction h2g cl29 2 Aleks Bond Energy Table using the appropriate bond energies, calculate the heat of reaction h for the following reaction: The rest are average bond energies. Using the appropriate bond energies, calculate the heat of reaction δh for the following reaction: each specific bond has its own characteristic strength, and extensive tables of such data are available. about press copyright contact us. Aleks Bond Energy Table.
From www.chegg.com
Solved Calculate the heat of reaction AH for the following Aleks Bond Energy Table The rest are average bond energies. each specific bond has its own characteristic strength, and extensive tables of such data are available. *bond dissociation energies for diatomic molecules can be directly measured. atoms bond together to form compounds because in doing so they attain lower energies than they possess as individual atoms. Using the appropriate bond energies,. Aleks Bond Energy Table.
From www.youtube.com
ALEKS Drawing the MO energy diagram for a Period 2 homodiatom YouTube Aleks Bond Energy Table each specific bond has its own characteristic strength, and extensive tables of such data are available. about press copyright contact us creators advertise developers terms. *bond dissociation energies for diatomic molecules can be directly measured. the following tables list experimental bond dissociation enthalpies of common bonds at 298 k. using the appropriate bond energies, calculate. Aleks Bond Energy Table.
From www.pathwaystochemistry.com
Table of Bond Energies Pathways to Chemistry Aleks Bond Energy Table The rest are average bond energies. atoms bond together to form compounds because in doing so they attain lower energies than they possess as individual atoms. *bond dissociation energies for diatomic molecules can be directly measured. each specific bond has its own characteristic strength, and extensive tables of such data are available. You can find a table. Aleks Bond Energy Table.
From oneclass.com
OneClass Using the bond energies in the table below, determine the Aleks Bond Energy Table the following tables list experimental bond dissociation enthalpies of common bonds at 298 k. *bond dissociation energies for diatomic molecules can be directly measured. Using the appropriate bond energies, calculate the heat of reaction δh for the following reaction: You can find a table of bond energies by. about press copyright contact us creators advertise developers terms.. Aleks Bond Energy Table.
From www.numerade.com
SOLVED Using the appropriate bond energies, calculate the heat of Aleks Bond Energy Table Using the appropriate bond energies, calculate the heat of reaction δh for the following reaction: about press copyright contact us creators advertise developers terms. The rest are average bond energies. the following tables list experimental bond dissociation enthalpies of common bonds at 298 k. *bond dissociation energies for diatomic molecules can be directly measured. atoms bond. Aleks Bond Energy Table.
From www.youtube.com
ALEKS Calculating the Heat of Reaction from Bond Energies YouTube Aleks Bond Energy Table Using the appropriate bond energies, calculate the heat of reaction δh for the following reaction: the following tables list experimental bond dissociation enthalpies of common bonds at 298 k. atoms bond together to form compounds because in doing so they attain lower energies than they possess as individual atoms. about press copyright contact us creators advertise developers. Aleks Bond Energy Table.
From www.chegg.com
Calculate the heat of reaction AH for the following Aleks Bond Energy Table Using the appropriate bond energies, calculate the heat of reaction δh for the following reaction: The rest are average bond energies. each specific bond has its own characteristic strength, and extensive tables of such data are available. the following tables list experimental bond dissociation enthalpies of common bonds at 298 k. about press copyright contact us creators. Aleks Bond Energy Table.
From www.numerade.com
SOLVED Calculate the heat of reaction ΔH for the following reaction Aleks Bond Energy Table The rest are average bond energies. You can find a table of bond energies by. each specific bond has its own characteristic strength, and extensive tables of such data are available. *bond dissociation energies for diatomic molecules can be directly measured. using the appropriate bond energies, calculate the heat of reaction h for the following reaction: . Aleks Bond Energy Table.
From www.vrogue.co
Table Of Bond Energies Pathways To Chemistry vrogue.co Aleks Bond Energy Table Using the appropriate bond energies, calculate the heat of reaction δh for the following reaction: the following tables list experimental bond dissociation enthalpies of common bonds at 298 k. *bond dissociation energies for diatomic molecules can be directly measured. atoms bond together to form compounds because in doing so they attain lower energies than they possess as. Aleks Bond Energy Table.
From www.coursehero.com
[Solved] Using the appropriate bond energies, calculate the heat of Aleks Bond Energy Table atoms bond together to form compounds because in doing so they attain lower energies than they possess as individual atoms. *bond dissociation energies for diatomic molecules can be directly measured. each specific bond has its own characteristic strength, and extensive tables of such data are available. using the appropriate bond energies, calculate the heat of reaction. Aleks Bond Energy Table.
From www.youtube.com
ALEKS Predicting the relative length and energy of chemical bonds Aleks Bond Energy Table about press copyright contact us creators advertise developers terms. each specific bond has its own characteristic strength, and extensive tables of such data are available. Using the appropriate bond energies, calculate the heat of reaction δh for the following reaction: The rest are average bond energies. the following tables list experimental bond dissociation enthalpies of common bonds. Aleks Bond Energy Table.
From www.youtube.com
Aleks Writing the rate law of an elementary reaction YouTube Aleks Bond Energy Table The rest are average bond energies. You can find a table of bond energies by. atoms bond together to form compounds because in doing so they attain lower energies than they possess as individual atoms. the following tables list experimental bond dissociation enthalpies of common bonds at 298 k. using the appropriate bond energies, calculate the heat. Aleks Bond Energy Table.
From www.chegg.com
Solved Using the appropriate bond energies, calculate the Aleks Bond Energy Table *bond dissociation energies for diatomic molecules can be directly measured. You can find a table of bond energies by. each specific bond has its own characteristic strength, and extensive tables of such data are available. about press copyright contact us creators advertise developers terms. the following tables list experimental bond dissociation enthalpies of common bonds at. Aleks Bond Energy Table.
From www.numerade.com
SOLVED Using the appropriate bond energies, calculate the heat of Aleks Bond Energy Table using the appropriate bond energies, calculate the heat of reaction h for the following reaction: each specific bond has its own characteristic strength, and extensive tables of such data are available. atoms bond together to form compounds because in doing so they attain lower energies than they possess as individual atoms. Using the appropriate bond energies, calculate. Aleks Bond Energy Table.
From www.numerade.com
SOLVED Using the appropriate bond energies, calculate the heat of Aleks Bond Energy Table *bond dissociation energies for diatomic molecules can be directly measured. about press copyright contact us creators advertise developers terms. Using the appropriate bond energies, calculate the heat of reaction δh for the following reaction: the following tables list experimental bond dissociation enthalpies of common bonds at 298 k. atoms bond together to form compounds because in. Aleks Bond Energy Table.
From www.chegg.com
Solved OTHERMOCHEMISTRY Calculating the heat of reaction Aleks Bond Energy Table The rest are average bond energies. the following tables list experimental bond dissociation enthalpies of common bonds at 298 k. using the appropriate bond energies, calculate the heat of reaction h for the following reaction: *bond dissociation energies for diatomic molecules can be directly measured. You can find a table of bond energies by. atoms bond. Aleks Bond Energy Table.
From www.numerade.com
SOLVED Using the appropriate bond energies, calculate the heat of Aleks Bond Energy Table atoms bond together to form compounds because in doing so they attain lower energies than they possess as individual atoms. *bond dissociation energies for diatomic molecules can be directly measured. the following tables list experimental bond dissociation enthalpies of common bonds at 298 k. The rest are average bond energies. each specific bond has its own. Aleks Bond Energy Table.
From www.youtube.com
ALEKS Predicting relative lattice energy of binary ionic compounds Aleks Bond Energy Table *bond dissociation energies for diatomic molecules can be directly measured. The rest are average bond energies. the following tables list experimental bond dissociation enthalpies of common bonds at 298 k. Using the appropriate bond energies, calculate the heat of reaction δh for the following reaction: atoms bond together to form compounds because in doing so they attain. Aleks Bond Energy Table.
From www.chegg.com
Solved Calculate the heat of reaction AH for the following Aleks Bond Energy Table the following tables list experimental bond dissociation enthalpies of common bonds at 298 k. Using the appropriate bond energies, calculate the heat of reaction δh for the following reaction: *bond dissociation energies for diatomic molecules can be directly measured. about press copyright contact us creators advertise developers terms. You can find a table of bond energies by.. Aleks Bond Energy Table.
From www.numerade.com
SOLVED 'THERMOCHEMISTRY Calculating the heat of reaction from bond Aleks Bond Energy Table *bond dissociation energies for diatomic molecules can be directly measured. The rest are average bond energies. about press copyright contact us creators advertise developers terms. Using the appropriate bond energies, calculate the heat of reaction δh for the following reaction: using the appropriate bond energies, calculate the heat of reaction h for the following reaction: each. Aleks Bond Energy Table.
From www.vrogue.co
Table Of Bond Energies Pathways To Chemistry vrogue.co Aleks Bond Energy Table You can find a table of bond energies by. The rest are average bond energies. each specific bond has its own characteristic strength, and extensive tables of such data are available. using the appropriate bond energies, calculate the heat of reaction h for the following reaction: *bond dissociation energies for diatomic molecules can be directly measured. . Aleks Bond Energy Table.
From www.numerade.com
SOLVED Calculate the heat of reaction ΔH for the following reaction Aleks Bond Energy Table the following tables list experimental bond dissociation enthalpies of common bonds at 298 k. Using the appropriate bond energies, calculate the heat of reaction δh for the following reaction: *bond dissociation energies for diatomic molecules can be directly measured. The rest are average bond energies. atoms bond together to form compounds because in doing so they attain. Aleks Bond Energy Table.
From www.bartleby.com
Answered Using the appropriate bond energies,… bartleby Aleks Bond Energy Table *bond dissociation energies for diatomic molecules can be directly measured. The rest are average bond energies. each specific bond has its own characteristic strength, and extensive tables of such data are available. about press copyright contact us creators advertise developers terms. using the appropriate bond energies, calculate the heat of reaction h for the following reaction:. Aleks Bond Energy Table.
From www.numerade.com
SOLVED Using the appropriate bond energies, calculate the heat of Aleks Bond Energy Table atoms bond together to form compounds because in doing so they attain lower energies than they possess as individual atoms. You can find a table of bond energies by. the following tables list experimental bond dissociation enthalpies of common bonds at 298 k. *bond dissociation energies for diatomic molecules can be directly measured. The rest are average. Aleks Bond Energy Table.
From www.chegg.com
Solved Using the appropriate bond energies, calculate the Aleks Bond Energy Table each specific bond has its own characteristic strength, and extensive tables of such data are available. You can find a table of bond energies by. using the appropriate bond energies, calculate the heat of reaction h for the following reaction: Using the appropriate bond energies, calculate the heat of reaction δh for the following reaction: about press. Aleks Bond Energy Table.
From www.chegg.com
Solved Bond TABLE 10.3 Average Bond Energies Bond Energy Aleks Bond Energy Table *bond dissociation energies for diatomic molecules can be directly measured. each specific bond has its own characteristic strength, and extensive tables of such data are available. using the appropriate bond energies, calculate the heat of reaction h for the following reaction: You can find a table of bond energies by. atoms bond together to form compounds. Aleks Bond Energy Table.
From mungfali.com
Bond Energies Chart Aleks Bond Energy Table using the appropriate bond energies, calculate the heat of reaction h for the following reaction: You can find a table of bond energies by. the following tables list experimental bond dissociation enthalpies of common bonds at 298 k. *bond dissociation energies for diatomic molecules can be directly measured. atoms bond together to form compounds because in. Aleks Bond Energy Table.
From www.chegg.com
Solved Using the table of average bond energies provided on Aleks Bond Energy Table You can find a table of bond energies by. Using the appropriate bond energies, calculate the heat of reaction δh for the following reaction: atoms bond together to form compounds because in doing so they attain lower energies than they possess as individual atoms. each specific bond has its own characteristic strength, and extensive tables of such data. Aleks Bond Energy Table.
From www.numerade.com
SOLVED Calculate the heat of reaction ΔH for the following reaction Aleks Bond Energy Table The rest are average bond energies. about press copyright contact us creators advertise developers terms. atoms bond together to form compounds because in doing so they attain lower energies than they possess as individual atoms. *bond dissociation energies for diatomic molecules can be directly measured. the following tables list experimental bond dissociation enthalpies of common bonds. Aleks Bond Energy Table.
From www.youtube.com
ALEKS Calculating the heat of reaction from bond energies and Lewis Aleks Bond Energy Table about press copyright contact us creators advertise developers terms. You can find a table of bond energies by. the following tables list experimental bond dissociation enthalpies of common bonds at 298 k. *bond dissociation energies for diatomic molecules can be directly measured. Using the appropriate bond energies, calculate the heat of reaction δh for the following reaction:. Aleks Bond Energy Table.