How To Start A Business In Nd . See our how to startup guides for north dakota. The following steps guide you in registering with the office of the secretary of state. The new business registration site assists businesses starting or relocating to north dakota with planning, financing, registration and licensing. Learn more about starting a business with our north dakota entity specific start up guides. Start an llc in north dakota. The process of developing your business plan will help you outline your goals and the methods by which you plan to reach them. Our team wants to serve you with quality and efficiency. We’re here to help you understand your tax responsibilities. We are excited that you are considering choosing north dakota as a place to do business. When you’re starting a new business, it can be overwhelming to know where to begin. A domestic llc is one that is formed under laws of north dakota. There are many planning steps in. This online form may be used to assist in identifying the correct online form for filing a new business with the secretary of state's office. A limited liability company (llc) is created by filing articles of organization.
from www.youtube.com
When you’re starting a new business, it can be overwhelming to know where to begin. Our team wants to serve you with quality and efficiency. This online form may be used to assist in identifying the correct online form for filing a new business with the secretary of state's office. We are excited that you are considering choosing north dakota as a place to do business. Start an llc in north dakota. We’re here to help you understand your tax responsibilities. A domestic llc is one that is formed under laws of north dakota. The process of developing your business plan will help you outline your goals and the methods by which you plan to reach them. Learn more about starting a business with our north dakota entity specific start up guides. The new business registration site assists businesses starting or relocating to north dakota with planning, financing, registration and licensing.
How to start a notary business in North Dakota, General Notary Work
How To Start A Business In Nd We are excited that you are considering choosing north dakota as a place to do business. We’re here to help you understand your tax responsibilities. Learn more about starting a business with our north dakota entity specific start up guides. See our how to startup guides for north dakota. The following steps guide you in registering with the office of the secretary of state. Start an llc in north dakota. A limited liability company (llc) is created by filing articles of organization. A domestic llc is one that is formed under laws of north dakota. When you’re starting a new business, it can be overwhelming to know where to begin. The new business registration site assists businesses starting or relocating to north dakota with planning, financing, registration and licensing. We are excited that you are considering choosing north dakota as a place to do business. There are many planning steps in. The process of developing your business plan will help you outline your goals and the methods by which you plan to reach them. Our team wants to serve you with quality and efficiency. This online form may be used to assist in identifying the correct online form for filing a new business with the secretary of state's office.
From grandforksiscooler.com
Start a Small Business in North Dakota Grand Forks Business How To Start A Business In Nd See our how to startup guides for north dakota. There are many planning steps in. This online form may be used to assist in identifying the correct online form for filing a new business with the secretary of state's office. Start an llc in north dakota. We are excited that you are considering choosing north dakota as a place to. How To Start A Business In Nd.
From www.ecwid.com
How to Start a Small Business in North Dakota (ND) How To Start A Business In Nd There are many planning steps in. The process of developing your business plan will help you outline your goals and the methods by which you plan to reach them. Learn more about starting a business with our north dakota entity specific start up guides. The new business registration site assists businesses starting or relocating to north dakota with planning, financing,. How To Start A Business In Nd.
From webinarcare.com
Start a Food Truck Business in North Dakota Essential Steps How To Start A Business In Nd The following steps guide you in registering with the office of the secretary of state. The new business registration site assists businesses starting or relocating to north dakota with planning, financing, registration and licensing. A domestic llc is one that is formed under laws of north dakota. When you’re starting a new business, it can be overwhelming to know where. How To Start A Business In Nd.
From www.zarla.com
How to Start a Business in North Dakota How To Start A Business In Nd This online form may be used to assist in identifying the correct online form for filing a new business with the secretary of state's office. The following steps guide you in registering with the office of the secretary of state. Learn more about starting a business with our north dakota entity specific start up guides. A domestic llc is one. How To Start A Business In Nd.
From management.org
How to Register Your Business in North Dakota With Ease How To Start A Business In Nd The process of developing your business plan will help you outline your goals and the methods by which you plan to reach them. Learn more about starting a business with our north dakota entity specific start up guides. A limited liability company (llc) is created by filing articles of organization. There are many planning steps in. A domestic llc is. How To Start A Business In Nd.
From www.zarla.com
How to Start a Business in North Dakota How To Start A Business In Nd The new business registration site assists businesses starting or relocating to north dakota with planning, financing, registration and licensing. A domestic llc is one that is formed under laws of north dakota. A limited liability company (llc) is created by filing articles of organization. The process of developing your business plan will help you outline your goals and the methods. How To Start A Business In Nd.
From llcbuddy.com
Best Businesses To Start In North Dakota How To Start A Business In Nd Our team wants to serve you with quality and efficiency. See our how to startup guides for north dakota. A domestic llc is one that is formed under laws of north dakota. The new business registration site assists businesses starting or relocating to north dakota with planning, financing, registration and licensing. The following steps guide you in registering with the. How To Start A Business In Nd.
From www.pinterest.com
Find out step by step instructions on how to start your business (LLC How To Start A Business In Nd The process of developing your business plan will help you outline your goals and the methods by which you plan to reach them. When you’re starting a new business, it can be overwhelming to know where to begin. A domestic llc is one that is formed under laws of north dakota. Start an llc in north dakota. Our team wants. How To Start A Business In Nd.
From www.starthousecleaning.com
How to Start a Cleaning Business in North Dakota (ND) How To Start A Business In Nd The following steps guide you in registering with the office of the secretary of state. We are excited that you are considering choosing north dakota as a place to do business. We’re here to help you understand your tax responsibilities. The process of developing your business plan will help you outline your goals and the methods by which you plan. How To Start A Business In Nd.
From llcbuddy.com
How to Start a North Dakota Corporation How To Start A Business In Nd This online form may be used to assist in identifying the correct online form for filing a new business with the secretary of state's office. See our how to startup guides for north dakota. Our team wants to serve you with quality and efficiency. Learn more about starting a business with our north dakota entity specific start up guides. A. How To Start A Business In Nd.
From howtostartanllc.com
Starting a Business in North Dakota TRUiC How To Start A Business In Nd There are many planning steps in. The following steps guide you in registering with the office of the secretary of state. A limited liability company (llc) is created by filing articles of organization. The process of developing your business plan will help you outline your goals and the methods by which you plan to reach them. Our team wants to. How To Start A Business In Nd.
From stepbystepbusiness.com
16 Best Business Ideas to Start in North Dakota How To Start A Business In Nd There are many planning steps in. Start an llc in north dakota. We are excited that you are considering choosing north dakota as a place to do business. The new business registration site assists businesses starting or relocating to north dakota with planning, financing, registration and licensing. Learn more about starting a business with our north dakota entity specific start. How To Start A Business In Nd.
From www.slideserve.com
PPT ND Business Plan (E) PowerPoint Presentation, free download How To Start A Business In Nd When you’re starting a new business, it can be overwhelming to know where to begin. There are many planning steps in. Start an llc in north dakota. This online form may be used to assist in identifying the correct online form for filing a new business with the secretary of state's office. The process of developing your business plan will. How To Start A Business In Nd.
From stepbystepbusiness.com
Starting a Business in North Dakota 13Step Guide How To Start A Business In Nd We are excited that you are considering choosing north dakota as a place to do business. A domestic llc is one that is formed under laws of north dakota. Learn more about starting a business with our north dakota entity specific start up guides. Our team wants to serve you with quality and efficiency. When you’re starting a new business,. How To Start A Business In Nd.
From www.youtube.com
What Business Licenses are Needed in North Dakota Starting a Business How To Start A Business In Nd Our team wants to serve you with quality and efficiency. When you’re starting a new business, it can be overwhelming to know where to begin. Start an llc in north dakota. See our how to startup guides for north dakota. A domestic llc is one that is formed under laws of north dakota. There are many planning steps in. We. How To Start A Business In Nd.
From ndislearninghub.com
How to Start an NDIS Business A Comprehensive Guide How To Start A Business In Nd Learn more about starting a business with our north dakota entity specific start up guides. A limited liability company (llc) is created by filing articles of organization. Our team wants to serve you with quality and efficiency. We’re here to help you understand your tax responsibilities. A domestic llc is one that is formed under laws of north dakota. We. How To Start A Business In Nd.
From www.nd.gov
Starting or Expanding Business North Dakota State Government ND Portal How To Start A Business In Nd When you’re starting a new business, it can be overwhelming to know where to begin. The following steps guide you in registering with the office of the secretary of state. Our team wants to serve you with quality and efficiency. Learn more about starting a business with our north dakota entity specific start up guides. The process of developing your. How To Start A Business In Nd.
From atonce.com
ND Business Startup 5 Expert Tips for Success in 2024 How To Start A Business In Nd We are excited that you are considering choosing north dakota as a place to do business. There are many planning steps in. This online form may be used to assist in identifying the correct online form for filing a new business with the secretary of state's office. A domestic llc is one that is formed under laws of north dakota.. How To Start A Business In Nd.
From llcbuddy.com
How to Get Business License and Permits in North Dakota How To Start A Business In Nd We are excited that you are considering choosing north dakota as a place to do business. The new business registration site assists businesses starting or relocating to north dakota with planning, financing, registration and licensing. Learn more about starting a business with our north dakota entity specific start up guides. A domestic llc is one that is formed under laws. How To Start A Business In Nd.
From www.youtube.com
How to start a notary business in North Dakota, General Notary Work How To Start A Business In Nd Start an llc in north dakota. A domestic llc is one that is formed under laws of north dakota. The following steps guide you in registering with the office of the secretary of state. We’re here to help you understand your tax responsibilities. Our team wants to serve you with quality and efficiency. This online form may be used to. How To Start A Business In Nd.
From stepbystepbusiness.com
Starting a Business in North Dakota 13Step Guide How To Start A Business In Nd The new business registration site assists businesses starting or relocating to north dakota with planning, financing, registration and licensing. A domestic llc is one that is formed under laws of north dakota. We’re here to help you understand your tax responsibilities. When you’re starting a new business, it can be overwhelming to know where to begin. This online form may. How To Start A Business In Nd.
From managebusiness.org
How to Register a Business in North Dakota 2024 Guide Manage Business How To Start A Business In Nd We are excited that you are considering choosing north dakota as a place to do business. The process of developing your business plan will help you outline your goals and the methods by which you plan to reach them. This online form may be used to assist in identifying the correct online form for filing a new business with the. How To Start A Business In Nd.
From www.namesnack.com
How to Start a Business in South Dakota How To Start A Business In Nd The process of developing your business plan will help you outline your goals and the methods by which you plan to reach them. A domestic llc is one that is formed under laws of north dakota. Start an llc in north dakota. There are many planning steps in. See our how to startup guides for north dakota. Learn more about. How To Start A Business In Nd.
From www.tffn.net
How to Start a Business in North Dakota A StepbyStep Guide The How To Start A Business In Nd The following steps guide you in registering with the office of the secretary of state. The new business registration site assists businesses starting or relocating to north dakota with planning, financing, registration and licensing. We are excited that you are considering choosing north dakota as a place to do business. There are many planning steps in. When you’re starting a. How To Start A Business In Nd.
From www.starterstory.com
The 36 Best HomeBased Businesses To Start In North Dakota [2024] How To Start A Business In Nd There are many planning steps in. When you’re starting a new business, it can be overwhelming to know where to begin. See our how to startup guides for north dakota. Learn more about starting a business with our north dakota entity specific start up guides. A domestic llc is one that is formed under laws of north dakota. A limited. How To Start A Business In Nd.
From llcbase.com
How to Start an LLC in North Dakota 2024 Essential Startup Guide How To Start A Business In Nd We are excited that you are considering choosing north dakota as a place to do business. There are many planning steps in. The new business registration site assists businesses starting or relocating to north dakota with planning, financing, registration and licensing. The following steps guide you in registering with the office of the secretary of state. A domestic llc is. How To Start A Business In Nd.
From oldcs.creditsuite.com
New Business in North Dakota Pioneer a Startup TodayCredit Suite How To Start A Business In Nd A domestic llc is one that is formed under laws of north dakota. The new business registration site assists businesses starting or relocating to north dakota with planning, financing, registration and licensing. There are many planning steps in. We are excited that you are considering choosing north dakota as a place to do business. See our how to startup guides. How To Start A Business In Nd.
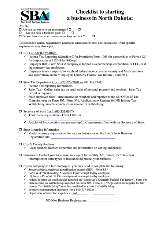
From www.formsbank.com
Checklist To Starting A Business In North Dakota printable pdf download How To Start A Business In Nd When you’re starting a new business, it can be overwhelming to know where to begin. A domestic llc is one that is formed under laws of north dakota. There are many planning steps in. The new business registration site assists businesses starting or relocating to north dakota with planning, financing, registration and licensing. We’re here to help you understand your. How To Start A Business In Nd.
From www.zenmaid.com
How to start a cleaning business in North Dakota How To Start A Business In Nd Learn more about starting a business with our north dakota entity specific start up guides. The following steps guide you in registering with the office of the secretary of state. The new business registration site assists businesses starting or relocating to north dakota with planning, financing, registration and licensing. A domestic llc is one that is formed under laws of. How To Start A Business In Nd.
From startup101.com
Starting a Business in North Dakota Simple, StepbyStep Guide How To Start A Business In Nd We’re here to help you understand your tax responsibilities. Learn more about starting a business with our north dakota entity specific start up guides. A limited liability company (llc) is created by filing articles of organization. When you’re starting a new business, it can be overwhelming to know where to begin. The new business registration site assists businesses starting or. How To Start A Business In Nd.
From stepbystepbusiness.com
How to File Articles of Organization in North Dakota Step By Step How To Start A Business In Nd A limited liability company (llc) is created by filing articles of organization. Our team wants to serve you with quality and efficiency. The following steps guide you in registering with the office of the secretary of state. We are excited that you are considering choosing north dakota as a place to do business. A domestic llc is one that is. How To Start A Business In Nd.
From stepbystepbusiness.com
How to Get a Business License in North Dakota How To Start A Business In Nd A limited liability company (llc) is created by filing articles of organization. A domestic llc is one that is formed under laws of north dakota. Start an llc in north dakota. We are excited that you are considering choosing north dakota as a place to do business. The following steps guide you in registering with the office of the secretary. How To Start A Business In Nd.
From www.shopify.com
How To Start a Business in North Dakota in 8 Easy Steps How To Start A Business In Nd We are excited that you are considering choosing north dakota as a place to do business. Learn more about starting a business with our north dakota entity specific start up guides. A domestic llc is one that is formed under laws of north dakota. We’re here to help you understand your tax responsibilities. See our how to startup guides for. How To Start A Business In Nd.
From www.youtube.com
How to Start a Business in North Dakota ND Secretary of State YouTube How To Start A Business In Nd There are many planning steps in. The process of developing your business plan will help you outline your goals and the methods by which you plan to reach them. A domestic llc is one that is formed under laws of north dakota. We’re here to help you understand your tax responsibilities. When you’re starting a new business, it can be. How To Start A Business In Nd.
From stepbystepbusiness.com
How to Get a Certificate of Exemption in North Dakota Step By Step How To Start A Business In Nd Our team wants to serve you with quality and efficiency. We’re here to help you understand your tax responsibilities. The process of developing your business plan will help you outline your goals and the methods by which you plan to reach them. See our how to startup guides for north dakota. There are many planning steps in. We are excited. How To Start A Business In Nd.