Sheaf Further Maths . The aim of this chapter is to introduce the new concept of matrices, a mathematical object that can concisely store a lot of information to solve. You would find that there are. Rearrange last eqn for y and sub it into the first two eqns. A sheaf is formed where the overlap of the solution spaces is, in fact, a 3d vector through space. Try to solve those two equations simultanously. If the planes are not parallel and the equations are consistent then they form a sheaf
from mathoverflow.net
The aim of this chapter is to introduce the new concept of matrices, a mathematical object that can concisely store a lot of information to solve. You would find that there are. If the planes are not parallel and the equations are consistent then they form a sheaf A sheaf is formed where the overlap of the solution spaces is, in fact, a 3d vector through space. Try to solve those two equations simultanously. Rearrange last eqn for y and sub it into the first two eqns.
ag.algebraic geometry Physical interpretations/meanings of the notion
Sheaf Further Maths The aim of this chapter is to introduce the new concept of matrices, a mathematical object that can concisely store a lot of information to solve. You would find that there are. A sheaf is formed where the overlap of the solution spaces is, in fact, a 3d vector through space. Rearrange last eqn for y and sub it into the first two eqns. The aim of this chapter is to introduce the new concept of matrices, a mathematical object that can concisely store a lot of information to solve. Try to solve those two equations simultanously. If the planes are not parallel and the equations are consistent then they form a sheaf
From www.youtube.com
Who Gives a Sheaf? Part 1 A First Example YouTube Sheaf Further Maths A sheaf is formed where the overlap of the solution spaces is, in fact, a 3d vector through space. Rearrange last eqn for y and sub it into the first two eqns. The aim of this chapter is to introduce the new concept of matrices, a mathematical object that can concisely store a lot of information to solve. You would. Sheaf Further Maths.
From math.stackexchange.com
algebraic geometry On the definition of a direct image of sheaf Sheaf Further Maths A sheaf is formed where the overlap of the solution spaces is, in fact, a 3d vector through space. Rearrange last eqn for y and sub it into the first two eqns. The aim of this chapter is to introduce the new concept of matrices, a mathematical object that can concisely store a lot of information to solve. Try to. Sheaf Further Maths.
From math.stackexchange.com
algebraic geometry Prove image sheaf is the sheafification of image Sheaf Further Maths Rearrange last eqn for y and sub it into the first two eqns. The aim of this chapter is to introduce the new concept of matrices, a mathematical object that can concisely store a lot of information to solve. You would find that there are. If the planes are not parallel and the equations are consistent then they form a. Sheaf Further Maths.
From www.youtube.com
Math Vectors 24 Planes Intersection of 3 planes YouTube Sheaf Further Maths Rearrange last eqn for y and sub it into the first two eqns. The aim of this chapter is to introduce the new concept of matrices, a mathematical object that can concisely store a lot of information to solve. You would find that there are. A sheaf is formed where the overlap of the solution spaces is, in fact, a. Sheaf Further Maths.
From math.stackexchange.com
differential geometry Why do the ideas in Sheaf theory seem analogous Sheaf Further Maths If the planes are not parallel and the equations are consistent then they form a sheaf You would find that there are. The aim of this chapter is to introduce the new concept of matrices, a mathematical object that can concisely store a lot of information to solve. A sheaf is formed where the overlap of the solution spaces is,. Sheaf Further Maths.
From edmaths.com
SS1 (YEAR 10) FURTHER MATHS TUTORIAL QUESTIONS 2 EdMaths Sheaf Further Maths If the planes are not parallel and the equations are consistent then they form a sheaf You would find that there are. Try to solve those two equations simultanously. A sheaf is formed where the overlap of the solution spaces is, in fact, a 3d vector through space. The aim of this chapter is to introduce the new concept of. Sheaf Further Maths.
From www.tmjtutoring.com
VCE 3/4 Further Mathematics Notes T.M.J. Tutoring Sheaf Further Maths If the planes are not parallel and the equations are consistent then they form a sheaf A sheaf is formed where the overlap of the solution spaces is, in fact, a 3d vector through space. Try to solve those two equations simultanously. You would find that there are. The aim of this chapter is to introduce the new concept of. Sheaf Further Maths.
From math.stackexchange.com
general topology Moral justification for "sheaf=continuously variable Sheaf Further Maths You would find that there are. A sheaf is formed where the overlap of the solution spaces is, in fact, a 3d vector through space. If the planes are not parallel and the equations are consistent then they form a sheaf Rearrange last eqn for y and sub it into the first two eqns. Try to solve those two equations. Sheaf Further Maths.
From www.youtube.com
Sheaf of Differential Forms YouTube Sheaf Further Maths A sheaf is formed where the overlap of the solution spaces is, in fact, a 3d vector through space. You would find that there are. If the planes are not parallel and the equations are consistent then they form a sheaf Rearrange last eqn for y and sub it into the first two eqns. Try to solve those two equations. Sheaf Further Maths.
From www.thinkswap.com
Further Maths Module 4 Further Mathematics Year 12 VCE Thinkswap Sheaf Further Maths If the planes are not parallel and the equations are consistent then they form a sheaf You would find that there are. Rearrange last eqn for y and sub it into the first two eqns. A sheaf is formed where the overlap of the solution spaces is, in fact, a 3d vector through space. Try to solve those two equations. Sheaf Further Maths.
From www.youtube.com
Transformation shear matrix part 2 iGCSE maths revision YouTube Sheaf Further Maths If the planes are not parallel and the equations are consistent then they form a sheaf The aim of this chapter is to introduce the new concept of matrices, a mathematical object that can concisely store a lot of information to solve. Rearrange last eqn for y and sub it into the first two eqns. Try to solve those two. Sheaf Further Maths.
From math.stackexchange.com
Coherence of some sheaf in the proof of the Lemma de dévissage (Gortz's Sheaf Further Maths You would find that there are. A sheaf is formed where the overlap of the solution spaces is, in fact, a 3d vector through space. The aim of this chapter is to introduce the new concept of matrices, a mathematical object that can concisely store a lot of information to solve. Rearrange last eqn for y and sub it into. Sheaf Further Maths.
From www.youtube.com
ALevel Further Maths C804 Geometrical Interpretation Three Planes Sheaf Further Maths You would find that there are. A sheaf is formed where the overlap of the solution spaces is, in fact, a 3d vector through space. Try to solve those two equations simultanously. Rearrange last eqn for y and sub it into the first two eqns. The aim of this chapter is to introduce the new concept of matrices, a mathematical. Sheaf Further Maths.
From www.youtube.com
Sheaf (mathematics) YouTube Sheaf Further Maths If the planes are not parallel and the equations are consistent then they form a sheaf You would find that there are. A sheaf is formed where the overlap of the solution spaces is, in fact, a 3d vector through space. Try to solve those two equations simultanously. Rearrange last eqn for y and sub it into the first two. Sheaf Further Maths.
From study.oarly.com
Further Maths Notes 2022 OARLY Sheaf Further Maths If the planes are not parallel and the equations are consistent then they form a sheaf A sheaf is formed where the overlap of the solution spaces is, in fact, a 3d vector through space. The aim of this chapter is to introduce the new concept of matrices, a mathematical object that can concisely store a lot of information to. Sheaf Further Maths.
From math.stackexchange.com
Recover a sheaf from partial information on a base vs extend a sheaf on Sheaf Further Maths A sheaf is formed where the overlap of the solution spaces is, in fact, a 3d vector through space. Try to solve those two equations simultanously. If the planes are not parallel and the equations are consistent then they form a sheaf Rearrange last eqn for y and sub it into the first two eqns. The aim of this chapter. Sheaf Further Maths.
From math.stackexchange.com
Coherence of some sheaf in the proof of the Lemma de dévissage (Gortz's Sheaf Further Maths Try to solve those two equations simultanously. If the planes are not parallel and the equations are consistent then they form a sheaf The aim of this chapter is to introduce the new concept of matrices, a mathematical object that can concisely store a lot of information to solve. Rearrange last eqn for y and sub it into the first. Sheaf Further Maths.
From www.thinkswap.com
Further Maths Full Notes Further Mathematics A Level A Levels AQA Sheaf Further Maths A sheaf is formed where the overlap of the solution spaces is, in fact, a 3d vector through space. Try to solve those two equations simultanously. If the planes are not parallel and the equations are consistent then they form a sheaf The aim of this chapter is to introduce the new concept of matrices, a mathematical object that can. Sheaf Further Maths.
From www.scribd.com
Sheaf Theory Differentiable Manifold Ring (Mathematics) Sheaf Further Maths You would find that there are. Rearrange last eqn for y and sub it into the first two eqns. If the planes are not parallel and the equations are consistent then they form a sheaf Try to solve those two equations simultanously. A sheaf is formed where the overlap of the solution spaces is, in fact, a 3d vector through. Sheaf Further Maths.
From www.scribd.com
(Further Mathematics) (FP1 Section 2.3) (Edexcel) (A Level) PDF Sheaf Further Maths If the planes are not parallel and the equations are consistent then they form a sheaf A sheaf is formed where the overlap of the solution spaces is, in fact, a 3d vector through space. Rearrange last eqn for y and sub it into the first two eqns. The aim of this chapter is to introduce the new concept of. Sheaf Further Maths.
From math.stackexchange.com
algebraic geometry Sheafification Construction of a Sheaf Sheaf Further Maths Try to solve those two equations simultanously. If the planes are not parallel and the equations are consistent then they form a sheaf Rearrange last eqn for y and sub it into the first two eqns. You would find that there are. A sheaf is formed where the overlap of the solution spaces is, in fact, a 3d vector through. Sheaf Further Maths.
From math.stackexchange.com
algebraic geometry On the definition of a direct image of sheaf Sheaf Further Maths Rearrange last eqn for y and sub it into the first two eqns. A sheaf is formed where the overlap of the solution spaces is, in fact, a 3d vector through space. If the planes are not parallel and the equations are consistent then they form a sheaf Try to solve those two equations simultanously. You would find that there. Sheaf Further Maths.
From math.stackexchange.com
differential geometry Example of locally free sheaf or free sheaf Sheaf Further Maths You would find that there are. Try to solve those two equations simultanously. The aim of this chapter is to introduce the new concept of matrices, a mathematical object that can concisely store a lot of information to solve. Rearrange last eqn for y and sub it into the first two eqns. A sheaf is formed where the overlap of. Sheaf Further Maths.
From math.stackexchange.com
sheaf cohomology Exact sequence of sheaves in Beauville's Sheaf Further Maths If the planes are not parallel and the equations are consistent then they form a sheaf A sheaf is formed where the overlap of the solution spaces is, in fact, a 3d vector through space. You would find that there are. Try to solve those two equations simultanously. Rearrange last eqn for y and sub it into the first two. Sheaf Further Maths.
From edmaths.com
SS1 (YEAR 10) FURTHER MATHS TUTORIAL QUESTIONS 2 EdMaths Sheaf Further Maths Rearrange last eqn for y and sub it into the first two eqns. Try to solve those two equations simultanously. A sheaf is formed where the overlap of the solution spaces is, in fact, a 3d vector through space. The aim of this chapter is to introduce the new concept of matrices, a mathematical object that can concisely store a. Sheaf Further Maths.
From math.stackexchange.com
algebraic geometry What is the linear system to an invertible sheaf Sheaf Further Maths The aim of this chapter is to introduce the new concept of matrices, a mathematical object that can concisely store a lot of information to solve. Rearrange last eqn for y and sub it into the first two eqns. If the planes are not parallel and the equations are consistent then they form a sheaf A sheaf is formed where. Sheaf Further Maths.
From www.youtube.com
Mathematics Why is the direct image sheaf a left exact functor and not Sheaf Further Maths You would find that there are. If the planes are not parallel and the equations are consistent then they form a sheaf Try to solve those two equations simultanously. A sheaf is formed where the overlap of the solution spaces is, in fact, a 3d vector through space. Rearrange last eqn for y and sub it into the first two. Sheaf Further Maths.
From teachfurthermaths.weebly.com
TEACH FURTHER MATHS SUPERB POWERPOINTS FOR TEACHERS OF A LEVEL MATHS Sheaf Further Maths If the planes are not parallel and the equations are consistent then they form a sheaf The aim of this chapter is to introduce the new concept of matrices, a mathematical object that can concisely store a lot of information to solve. Try to solve those two equations simultanously. Rearrange last eqn for y and sub it into the first. Sheaf Further Maths.
From math.stackexchange.com
algebraic geometry Quotient Presheaf inducing associated Sheaf Sheaf Further Maths You would find that there are. Rearrange last eqn for y and sub it into the first two eqns. The aim of this chapter is to introduce the new concept of matrices, a mathematical object that can concisely store a lot of information to solve. Try to solve those two equations simultanously. If the planes are not parallel and the. Sheaf Further Maths.
From www.thinkswap.com
Further Maths Notes (Diagrams & examples) Further Mathematics Year Sheaf Further Maths If the planes are not parallel and the equations are consistent then they form a sheaf The aim of this chapter is to introduce the new concept of matrices, a mathematical object that can concisely store a lot of information to solve. A sheaf is formed where the overlap of the solution spaces is, in fact, a 3d vector through. Sheaf Further Maths.
From math.stackexchange.com
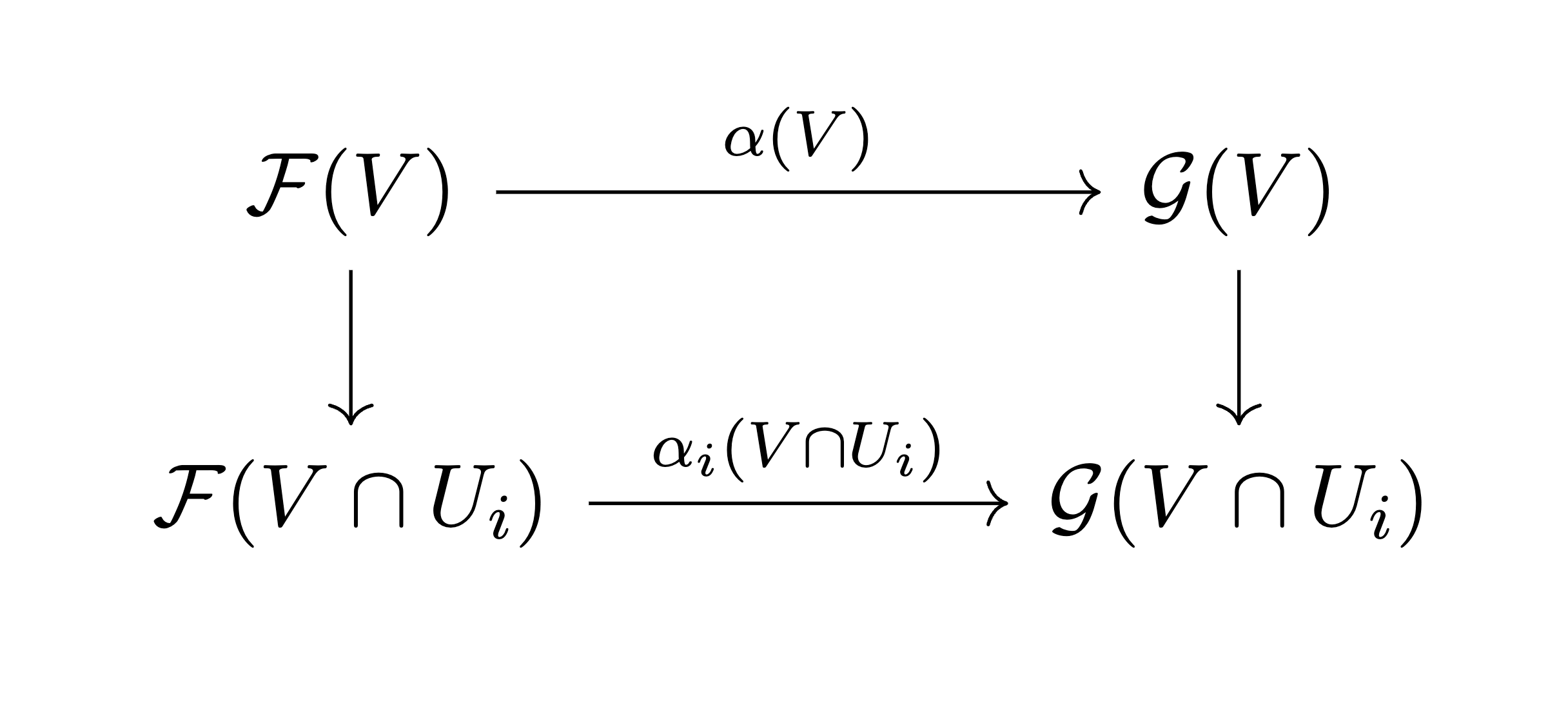
general topology How to show naturality of the section when trying to Sheaf Further Maths You would find that there are. A sheaf is formed where the overlap of the solution spaces is, in fact, a 3d vector through space. Try to solve those two equations simultanously. Rearrange last eqn for y and sub it into the first two eqns. If the planes are not parallel and the equations are consistent then they form a. Sheaf Further Maths.
From math.stackexchange.com
general topology How to show naturality of the section when trying to Sheaf Further Maths The aim of this chapter is to introduce the new concept of matrices, a mathematical object that can concisely store a lot of information to solve. A sheaf is formed where the overlap of the solution spaces is, in fact, a 3d vector through space. Try to solve those two equations simultanously. If the planes are not parallel and the. Sheaf Further Maths.
From math.stackexchange.com
algebraic geometry Regarding a sheaf of \mathcal O_Xmodules as a Sheaf Further Maths Rearrange last eqn for y and sub it into the first two eqns. The aim of this chapter is to introduce the new concept of matrices, a mathematical object that can concisely store a lot of information to solve. Try to solve those two equations simultanously. You would find that there are. A sheaf is formed where the overlap of. Sheaf Further Maths.
From mathoverflow.net
ag.algebraic geometry Physical interpretations/meanings of the notion Sheaf Further Maths You would find that there are. Rearrange last eqn for y and sub it into the first two eqns. If the planes are not parallel and the equations are consistent then they form a sheaf Try to solve those two equations simultanously. A sheaf is formed where the overlap of the solution spaces is, in fact, a 3d vector through. Sheaf Further Maths.
From www.thinkswap.com
Further Maths Full Notes Further Mathematics A Level A Levels AQA Sheaf Further Maths Try to solve those two equations simultanously. Rearrange last eqn for y and sub it into the first two eqns. If the planes are not parallel and the equations are consistent then they form a sheaf The aim of this chapter is to introduce the new concept of matrices, a mathematical object that can concisely store a lot of information. Sheaf Further Maths.