Haploid Number Of Chromosomes In Housefly . A cell has the haploid number of chromosomes, but each chromosome has two chromatids. 220 rows the list of organisms by chromosome count describes ploidy or numbers of chromosomes in the cells of various plants,. The chromosomes are arranged at the center of the. Houseflies provide a good experimental model to study the initial evolutionary stages of a primary sex. The house fly, musca domestica, has a haploid chromosome number of 6. How many chromosomes and how many chromatids are present in each of the following stages?. How many chromatids should be present in a diploid, somatic,. A diploid cell in g1 has 6 chromosomes. An example of haploid cells is sperm found in male species and eggs found in. Study with quizlet and memorize flashcards containing terms like the diploid chromosome number for the house fly is 12. Haploid/sex cells contain only half the number of chromosomes (n).
from www.numerade.com
A cell has the haploid number of chromosomes, but each chromosome has two chromatids. A diploid cell in g1 has 6 chromosomes. The house fly, musca domestica, has a haploid chromosome number of 6. 220 rows the list of organisms by chromosome count describes ploidy or numbers of chromosomes in the cells of various plants,. Houseflies provide a good experimental model to study the initial evolutionary stages of a primary sex. An example of haploid cells is sperm found in male species and eggs found in. Study with quizlet and memorize flashcards containing terms like the diploid chromosome number for the house fly is 12. Haploid/sex cells contain only half the number of chromosomes (n). How many chromosomes and how many chromatids are present in each of the following stages?. How many chromatids should be present in a diploid, somatic,.
SOLVED Which best explains the zygote? It has a diploid number of
Haploid Number Of Chromosomes In Housefly An example of haploid cells is sperm found in male species and eggs found in. Houseflies provide a good experimental model to study the initial evolutionary stages of a primary sex. 220 rows the list of organisms by chromosome count describes ploidy or numbers of chromosomes in the cells of various plants,. The house fly, musca domestica, has a haploid chromosome number of 6. How many chromosomes and how many chromatids are present in each of the following stages?. Haploid/sex cells contain only half the number of chromosomes (n). How many chromatids should be present in a diploid, somatic,. The chromosomes are arranged at the center of the. Study with quizlet and memorize flashcards containing terms like the diploid chromosome number for the house fly is 12. A cell has the haploid number of chromosomes, but each chromosome has two chromatids. A diploid cell in g1 has 6 chromosomes. An example of haploid cells is sperm found in male species and eggs found in.
From www.youtube.com
2N, 1N, N Diploid, Haploid Chromosome number YouTube Haploid Number Of Chromosomes In Housefly An example of haploid cells is sperm found in male species and eggs found in. Haploid/sex cells contain only half the number of chromosomes (n). The chromosomes are arranged at the center of the. A cell has the haploid number of chromosomes, but each chromosome has two chromatids. A diploid cell in g1 has 6 chromosomes. Houseflies provide a good. Haploid Number Of Chromosomes In Housefly.
From www.slideserve.com
PPT Chromosome Challenge PowerPoint Presentation, free download ID Haploid Number Of Chromosomes In Housefly A cell has the haploid number of chromosomes, but each chromosome has two chromatids. Study with quizlet and memorize flashcards containing terms like the diploid chromosome number for the house fly is 12. A diploid cell in g1 has 6 chromosomes. Houseflies provide a good experimental model to study the initial evolutionary stages of a primary sex. How many chromatids. Haploid Number Of Chromosomes In Housefly.
From entreasmemorias.blogspot.com
47 Best Of Haploid Number Of Chromosomes In Housefly insectza Haploid Number Of Chromosomes In Housefly A diploid cell in g1 has 6 chromosomes. The chromosomes are arranged at the center of the. The house fly, musca domestica, has a haploid chromosome number of 6. Houseflies provide a good experimental model to study the initial evolutionary stages of a primary sex. How many chromatids should be present in a diploid, somatic,. An example of haploid cells. Haploid Number Of Chromosomes In Housefly.
From www.numerade.com
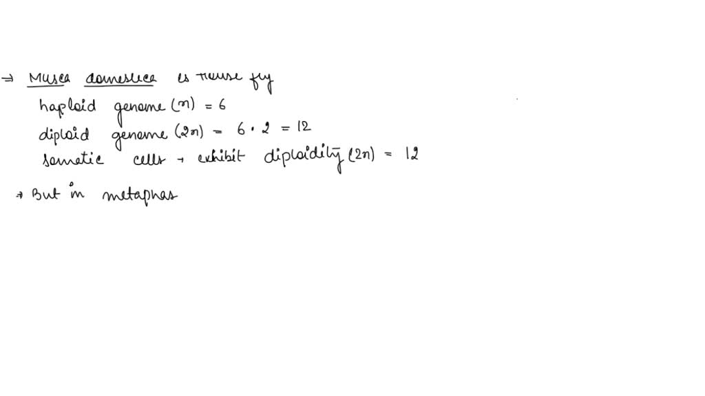
SOLVED The house fly, Musca domestica, has a haploid chromosome number Haploid Number Of Chromosomes In Housefly 220 rows the list of organisms by chromosome count describes ploidy or numbers of chromosomes in the cells of various plants,. The chromosomes are arranged at the center of the. Study with quizlet and memorize flashcards containing terms like the diploid chromosome number for the house fly is 12. Houseflies provide a good experimental model to study the initial evolutionary. Haploid Number Of Chromosomes In Housefly.
From www.numerade.com
SOLVED Which best explains the zygote? It has a diploid number of Haploid Number Of Chromosomes In Housefly Study with quizlet and memorize flashcards containing terms like the diploid chromosome number for the house fly is 12. An example of haploid cells is sperm found in male species and eggs found in. Haploid/sex cells contain only half the number of chromosomes (n). A cell has the haploid number of chromosomes, but each chromosome has two chromatids. A diploid. Haploid Number Of Chromosomes In Housefly.
From www.slideserve.com
PPT We’re Comparing Mitosis from Chapter 8 to Meiosis from Chapter 10 Haploid Number Of Chromosomes In Housefly How many chromosomes and how many chromatids are present in each of the following stages?. An example of haploid cells is sperm found in male species and eggs found in. How many chromatids should be present in a diploid, somatic,. The chromosomes are arranged at the center of the. 220 rows the list of organisms by chromosome count describes ploidy. Haploid Number Of Chromosomes In Housefly.
From www.numerade.com
SOLVEDhouse fly, which is a diploid eukaryotic organism, has a haploid Haploid Number Of Chromosomes In Housefly An example of haploid cells is sperm found in male species and eggs found in. The chromosomes are arranged at the center of the. 220 rows the list of organisms by chromosome count describes ploidy or numbers of chromosomes in the cells of various plants,. How many chromatids should be present in a diploid, somatic,. Study with quizlet and memorize. Haploid Number Of Chromosomes In Housefly.
From www.researchgate.net
Haploid chromosome numbers mapped onto the lepidopteran tree of life Haploid Number Of Chromosomes In Housefly How many chromosomes and how many chromatids are present in each of the following stages?. Haploid/sex cells contain only half the number of chromosomes (n). An example of haploid cells is sperm found in male species and eggs found in. A diploid cell in g1 has 6 chromosomes. How many chromatids should be present in a diploid, somatic,. A cell. Haploid Number Of Chromosomes In Housefly.
From www.pnas.org
Microchromosomes are building blocks of bird, reptile, and mammal Haploid Number Of Chromosomes In Housefly A diploid cell in g1 has 6 chromosomes. 220 rows the list of organisms by chromosome count describes ploidy or numbers of chromosomes in the cells of various plants,. How many chromatids should be present in a diploid, somatic,. Houseflies provide a good experimental model to study the initial evolutionary stages of a primary sex. Haploid/sex cells contain only half. Haploid Number Of Chromosomes In Housefly.
From slideplayer.com
Chapter 17 Section Meiosis. ppt download Haploid Number Of Chromosomes In Housefly Haploid/sex cells contain only half the number of chromosomes (n). Study with quizlet and memorize flashcards containing terms like the diploid chromosome number for the house fly is 12. How many chromosomes and how many chromatids are present in each of the following stages?. How many chromatids should be present in a diploid, somatic,. A diploid cell in g1 has. Haploid Number Of Chromosomes In Housefly.
From entreasmemorias.blogspot.com
47 Best Of Haploid Number Of Chromosomes In Housefly insectza Haploid Number Of Chromosomes In Housefly How many chromatids should be present in a diploid, somatic,. Haploid/sex cells contain only half the number of chromosomes (n). An example of haploid cells is sperm found in male species and eggs found in. A cell has the haploid number of chromosomes, but each chromosome has two chromatids. Study with quizlet and memorize flashcards containing terms like the diploid. Haploid Number Of Chromosomes In Housefly.
From entreasmemorias.blogspot.com
30 HD Haploid Cell Have Chromosomes insectza Haploid Number Of Chromosomes In Housefly An example of haploid cells is sperm found in male species and eggs found in. Haploid/sex cells contain only half the number of chromosomes (n). A diploid cell in g1 has 6 chromosomes. A cell has the haploid number of chromosomes, but each chromosome has two chromatids. How many chromosomes and how many chromatids are present in each of the. Haploid Number Of Chromosomes In Housefly.
From learn.careers360.com
The significance of meiosis lies in Option 1 Reduction of the diploid Haploid Number Of Chromosomes In Housefly Haploid/sex cells contain only half the number of chromosomes (n). Houseflies provide a good experimental model to study the initial evolutionary stages of a primary sex. The house fly, musca domestica, has a haploid chromosome number of 6. Study with quizlet and memorize flashcards containing terms like the diploid chromosome number for the house fly is 12. How many chromosomes. Haploid Number Of Chromosomes In Housefly.
From www.genome.gov
Haploid Haploid Number Of Chromosomes In Housefly The house fly, musca domestica, has a haploid chromosome number of 6. The chromosomes are arranged at the center of the. How many chromosomes and how many chromatids are present in each of the following stages?. Houseflies provide a good experimental model to study the initial evolutionary stages of a primary sex. How many chromatids should be present in a. Haploid Number Of Chromosomes In Housefly.
From www.researchgate.net
Schematic drawing of the haploid chromosome set representing the Cband Haploid Number Of Chromosomes In Housefly How many chromosomes and how many chromatids are present in each of the following stages?. 220 rows the list of organisms by chromosome count describes ploidy or numbers of chromosomes in the cells of various plants,. How many chromatids should be present in a diploid, somatic,. A diploid cell in g1 has 6 chromosomes. An example of haploid cells is. Haploid Number Of Chromosomes In Housefly.
From davida.davivienda.com
Diploid Vs Haploid Chromosomes Worksheet Answers Printable Word Searches Haploid Number Of Chromosomes In Housefly 220 rows the list of organisms by chromosome count describes ploidy or numbers of chromosomes in the cells of various plants,. Study with quizlet and memorize flashcards containing terms like the diploid chromosome number for the house fly is 12. A cell has the haploid number of chromosomes, but each chromosome has two chromatids. Houseflies provide a good experimental model. Haploid Number Of Chromosomes In Housefly.
From www.biologyonline.com
Haploid Definition and Examples Biology Online Dictionary Haploid Number Of Chromosomes In Housefly The house fly, musca domestica, has a haploid chromosome number of 6. How many chromosomes and how many chromatids are present in each of the following stages?. How many chromatids should be present in a diploid, somatic,. Haploid/sex cells contain only half the number of chromosomes (n). An example of haploid cells is sperm found in male species and eggs. Haploid Number Of Chromosomes In Housefly.
From www.researchgate.net
Conservatism of chromosome number in Lepidoptera. Haploid chromosome Haploid Number Of Chromosomes In Housefly Houseflies provide a good experimental model to study the initial evolutionary stages of a primary sex. 220 rows the list of organisms by chromosome count describes ploidy or numbers of chromosomes in the cells of various plants,. The chromosomes are arranged at the center of the. How many chromosomes and how many chromatids are present in each of the following. Haploid Number Of Chromosomes In Housefly.
From brainly.ph
complete the table below by supplying the chromosome number of the Haploid Number Of Chromosomes In Housefly A diploid cell in g1 has 6 chromosomes. 220 rows the list of organisms by chromosome count describes ploidy or numbers of chromosomes in the cells of various plants,. Haploid/sex cells contain only half the number of chromosomes (n). A cell has the haploid number of chromosomes, but each chromosome has two chromatids. Houseflies provide a good experimental model to. Haploid Number Of Chromosomes In Housefly.
From www.nagwa.com
Question Video Recalling How Many Chromosomes a Human Haploid Cell Haploid Number Of Chromosomes In Housefly The chromosomes are arranged at the center of the. A diploid cell in g1 has 6 chromosomes. A cell has the haploid number of chromosomes, but each chromosome has two chromatids. How many chromosomes and how many chromatids are present in each of the following stages?. 220 rows the list of organisms by chromosome count describes ploidy or numbers of. Haploid Number Of Chromosomes In Housefly.
From www.numerade.com
SOLVED The number of chromosomes in a cell haploid during Haploid Number Of Chromosomes In Housefly A cell has the haploid number of chromosomes, but each chromosome has two chromatids. The chromosomes are arranged at the center of the. An example of haploid cells is sperm found in male species and eggs found in. How many chromatids should be present in a diploid, somatic,. The house fly, musca domestica, has a haploid chromosome number of 6.. Haploid Number Of Chromosomes In Housefly.
From www.youtube.com
5.2.1 Haploid v. Diploid YouTube Haploid Number Of Chromosomes In Housefly Houseflies provide a good experimental model to study the initial evolutionary stages of a primary sex. How many chromosomes and how many chromatids are present in each of the following stages?. A cell has the haploid number of chromosomes, but each chromosome has two chromatids. The chromosomes are arranged at the center of the. 220 rows the list of organisms. Haploid Number Of Chromosomes In Housefly.
From entreasmemorias.blogspot.com
47 Best Of Haploid Number Of Chromosomes In Housefly insectza Haploid Number Of Chromosomes In Housefly Houseflies provide a good experimental model to study the initial evolutionary stages of a primary sex. The house fly, musca domestica, has a haploid chromosome number of 6. 220 rows the list of organisms by chromosome count describes ploidy or numbers of chromosomes in the cells of various plants,. A diploid cell in g1 has 6 chromosomes. An example of. Haploid Number Of Chromosomes In Housefly.
From www.numerade.com
SOLVED The house fly, Musca domestica, has a haploid chromosome number Haploid Number Of Chromosomes In Housefly 220 rows the list of organisms by chromosome count describes ploidy or numbers of chromosomes in the cells of various plants,. The house fly, musca domestica, has a haploid chromosome number of 6. How many chromatids should be present in a diploid, somatic,. How many chromosomes and how many chromatids are present in each of the following stages?. A diploid. Haploid Number Of Chromosomes In Housefly.
From learningschoolthatcherca.z4.web.core.windows.net
How To Determine Number Of Chromosomes Haploid Number Of Chromosomes In Housefly A diploid cell in g1 has 6 chromosomes. Houseflies provide a good experimental model to study the initial evolutionary stages of a primary sex. Study with quizlet and memorize flashcards containing terms like the diploid chromosome number for the house fly is 12. A cell has the haploid number of chromosomes, but each chromosome has two chromatids. Haploid/sex cells contain. Haploid Number Of Chromosomes In Housefly.
From learn.genetics.utah.edu
What are Chromosomes? Haploid Number Of Chromosomes In Housefly A cell has the haploid number of chromosomes, but each chromosome has two chromatids. Houseflies provide a good experimental model to study the initial evolutionary stages of a primary sex. The house fly, musca domestica, has a haploid chromosome number of 6. How many chromatids should be present in a diploid, somatic,. Study with quizlet and memorize flashcards containing terms. Haploid Number Of Chromosomes In Housefly.
From www.doubtnut.com
Doubt Solutions Maths, Science, CBSE, NCERT, IIT JEE, NEET Haploid Number Of Chromosomes In Housefly The house fly, musca domestica, has a haploid chromosome number of 6. Haploid/sex cells contain only half the number of chromosomes (n). 220 rows the list of organisms by chromosome count describes ploidy or numbers of chromosomes in the cells of various plants,. An example of haploid cells is sperm found in male species and eggs found in. How many. Haploid Number Of Chromosomes In Housefly.
From entreasmemorias.blogspot.com
47 Best Of Haploid Number Of Chromosomes In Housefly insectza Haploid Number Of Chromosomes In Housefly A diploid cell in g1 has 6 chromosomes. The house fly, musca domestica, has a haploid chromosome number of 6. How many chromosomes and how many chromatids are present in each of the following stages?. 220 rows the list of organisms by chromosome count describes ploidy or numbers of chromosomes in the cells of various plants,. Houseflies provide a good. Haploid Number Of Chromosomes In Housefly.
From www.youtube.com
Lesson 27 Chromosome numbers in different species YouTube Haploid Number Of Chromosomes In Housefly An example of haploid cells is sperm found in male species and eggs found in. 220 rows the list of organisms by chromosome count describes ploidy or numbers of chromosomes in the cells of various plants,. How many chromatids should be present in a diploid, somatic,. A diploid cell in g1 has 6 chromosomes. A cell has the haploid number. Haploid Number Of Chromosomes In Housefly.
From biologydairy.blogspot.com
Biology Topics Haploid Number Of Chromosomes In Housefly 220 rows the list of organisms by chromosome count describes ploidy or numbers of chromosomes in the cells of various plants,. How many chromatids should be present in a diploid, somatic,. An example of haploid cells is sperm found in male species and eggs found in. How many chromosomes and how many chromatids are present in each of the following. Haploid Number Of Chromosomes In Housefly.
From www.chegg.com
Solved The haploid number of chromosomes for a particular Haploid Number Of Chromosomes In Housefly How many chromosomes and how many chromatids are present in each of the following stages?. 220 rows the list of organisms by chromosome count describes ploidy or numbers of chromosomes in the cells of various plants,. The house fly, musca domestica, has a haploid chromosome number of 6. Haploid/sex cells contain only half the number of chromosomes (n). A cell. Haploid Number Of Chromosomes In Housefly.
From quizmischances.z4.web.core.windows.net
How To Find Haploid Number Of Chromosomes Haploid Number Of Chromosomes In Housefly A cell has the haploid number of chromosomes, but each chromosome has two chromatids. A diploid cell in g1 has 6 chromosomes. How many chromosomes and how many chromatids are present in each of the following stages?. Haploid/sex cells contain only half the number of chromosomes (n). Houseflies provide a good experimental model to study the initial evolutionary stages of. Haploid Number Of Chromosomes In Housefly.
From www.chegg.com
Solved The haploid number of chromosomes in human gametes Haploid Number Of Chromosomes In Housefly A diploid cell in g1 has 6 chromosomes. The house fly, musca domestica, has a haploid chromosome number of 6. 220 rows the list of organisms by chromosome count describes ploidy or numbers of chromosomes in the cells of various plants,. A cell has the haploid number of chromosomes, but each chromosome has two chromatids. How many chromatids should be. Haploid Number Of Chromosomes In Housefly.
From www.researchgate.net
Haploid chromosome numbers mapped onto the lepidopteran tree of life Haploid Number Of Chromosomes In Housefly An example of haploid cells is sperm found in male species and eggs found in. A diploid cell in g1 has 6 chromosomes. A cell has the haploid number of chromosomes, but each chromosome has two chromatids. Study with quizlet and memorize flashcards containing terms like the diploid chromosome number for the house fly is 12. How many chromatids should. Haploid Number Of Chromosomes In Housefly.
From www.goodscience.com.au
Chromosomes, Diploid Cells and Haploid Cells Good Science Haploid Number Of Chromosomes In Housefly The chromosomes are arranged at the center of the. How many chromosomes and how many chromatids are present in each of the following stages?. An example of haploid cells is sperm found in male species and eggs found in. Haploid/sex cells contain only half the number of chromosomes (n). Houseflies provide a good experimental model to study the initial evolutionary. Haploid Number Of Chromosomes In Housefly.