Average Amount Of Jelly Beans In A Bag . the jelly bean calculator is a simple yet effective tool designed to determine the quantity of jelly beans present in each bag based on the total. Are there any bags with a. The average bag of jelly beans contains about 98 beans. However, there are some bags that contain as few as 40 beans and. trying to figure out how many jelly beans there are in a mason jar or gallon jug? the jelly bean in jar calculator is designed to estimate the number of jelly beans in a jar without needing to count them individually. Generally, a small bag of jelly beans. Here’s our method of getting the. the answer may surprise you! the number of jelly beans in a bag can vary depending on the brand and the size of the bag. now that you have the volume of the jar and the number of jelly beans, you can calculate the average volume of a jelly bean.
from www.21food.com
the answer may surprise you! the jelly bean calculator is a simple yet effective tool designed to determine the quantity of jelly beans present in each bag based on the total. the number of jelly beans in a bag can vary depending on the brand and the size of the bag. However, there are some bags that contain as few as 40 beans and. the jelly bean in jar calculator is designed to estimate the number of jelly beans in a jar without needing to count them individually. Are there any bags with a. Generally, a small bag of jelly beans. The average bag of jelly beans contains about 98 beans. now that you have the volume of the jar and the number of jelly beans, you can calculate the average volume of a jelly bean. trying to figure out how many jelly beans there are in a mason jar or gallon jug?
Jelly Beans packed in a trianglar plastic bag, 12g products,Hong Kong
Average Amount Of Jelly Beans In A Bag Generally, a small bag of jelly beans. Are there any bags with a. the answer may surprise you! Generally, a small bag of jelly beans. Here’s our method of getting the. The average bag of jelly beans contains about 98 beans. trying to figure out how many jelly beans there are in a mason jar or gallon jug? the jelly bean calculator is a simple yet effective tool designed to determine the quantity of jelly beans present in each bag based on the total. now that you have the volume of the jar and the number of jelly beans, you can calculate the average volume of a jelly bean. the number of jelly beans in a bag can vary depending on the brand and the size of the bag. the jelly bean in jar calculator is designed to estimate the number of jelly beans in a jar without needing to count them individually. However, there are some bags that contain as few as 40 beans and.
From www.walmart.com
Brach's Classic Jelly Beans Candy Bag, 5 Lb Average Amount Of Jelly Beans In A Bag the jelly bean calculator is a simple yet effective tool designed to determine the quantity of jelly beans present in each bag based on the total. Generally, a small bag of jelly beans. the number of jelly beans in a bag can vary depending on the brand and the size of the bag. the answer may surprise. Average Amount Of Jelly Beans In A Bag.
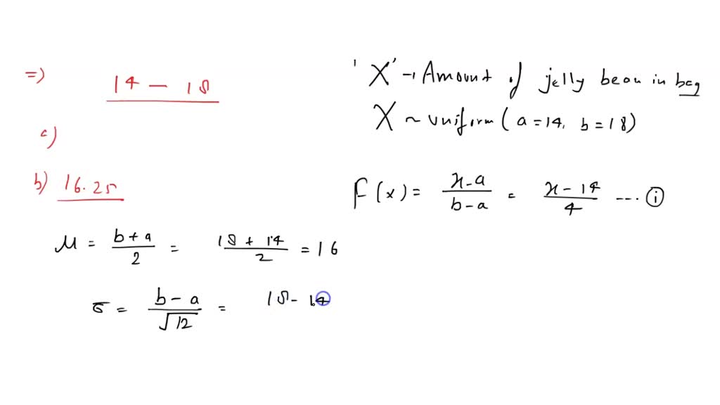
From www.numerade.com
SOLVED A machine puts an average of 4 grams of jelly beans in bags Average Amount Of Jelly Beans In A Bag Are there any bags with a. However, there are some bags that contain as few as 40 beans and. the jelly bean calculator is a simple yet effective tool designed to determine the quantity of jelly beans present in each bag based on the total. trying to figure out how many jelly beans there are in a mason. Average Amount Of Jelly Beans In A Bag.
From www.walmart.com
Russell Stover Sugar Free Jelly Beans 7 oz. Bags (3 Pack) Average Amount Of Jelly Beans In A Bag The average bag of jelly beans contains about 98 beans. the jelly bean in jar calculator is designed to estimate the number of jelly beans in a jar without needing to count them individually. Generally, a small bag of jelly beans. the answer may surprise you! the number of jelly beans in a bag can vary depending. Average Amount Of Jelly Beans In A Bag.
From www.walmart.com
Jelly Beans, 3 lb, New edition of multi flavor jelly belly bean stand Average Amount Of Jelly Beans In A Bag Here’s our method of getting the. However, there are some bags that contain as few as 40 beans and. the jelly bean calculator is a simple yet effective tool designed to determine the quantity of jelly beans present in each bag based on the total. now that you have the volume of the jar and the number of. Average Amount Of Jelly Beans In A Bag.
From www.ohnuts.com
Jelly Belly Assorted Sour Jelly Beans • Jelly Beans Candy • Oh! Nuts® Average Amount Of Jelly Beans In A Bag the answer may surprise you! trying to figure out how many jelly beans there are in a mason jar or gallon jug? now that you have the volume of the jar and the number of jelly beans, you can calculate the average volume of a jelly bean. the number of jelly beans in a bag can. Average Amount Of Jelly Beans In A Bag.
From www.iceland.co.uk
Barratt Favourites Jelly Beans 150g Sharing Bags & Tubs Iceland Foods Average Amount Of Jelly Beans In A Bag trying to figure out how many jelly beans there are in a mason jar or gallon jug? Are there any bags with a. Here’s our method of getting the. Generally, a small bag of jelly beans. However, there are some bags that contain as few as 40 beans and. the jelly bean calculator is a simple yet effective. Average Amount Of Jelly Beans In A Bag.
From www.whcandy.com
Skittles Original Jelly Beans 10oz Bag Average Amount Of Jelly Beans In A Bag now that you have the volume of the jar and the number of jelly beans, you can calculate the average volume of a jelly bean. The average bag of jelly beans contains about 98 beans. the jelly bean calculator is a simple yet effective tool designed to determine the quantity of jelly beans present in each bag based. Average Amount Of Jelly Beans In A Bag.
From www.photowrap.co.uk
Jelly Beans Medium Gift bag x 6 • Photowrap Average Amount Of Jelly Beans In A Bag the jelly bean calculator is a simple yet effective tool designed to determine the quantity of jelly beans present in each bag based on the total. the answer may surprise you! Are there any bags with a. The average bag of jelly beans contains about 98 beans. now that you have the volume of the jar and. Average Amount Of Jelly Beans In A Bag.
From www.wonderopolis.org
How Are Jelly Beans Made? Wonderopolis Average Amount Of Jelly Beans In A Bag the answer may surprise you! the jelly bean in jar calculator is designed to estimate the number of jelly beans in a jar without needing to count them individually. Here’s our method of getting the. the jelly bean calculator is a simple yet effective tool designed to determine the quantity of jelly beans present in each bag. Average Amount Of Jelly Beans In A Bag.
From www.jellybelly.com
Kids Mix Jelly Beans 3.5 oz Bag Average Amount Of Jelly Beans In A Bag trying to figure out how many jelly beans there are in a mason jar or gallon jug? now that you have the volume of the jar and the number of jelly beans, you can calculate the average volume of a jelly bean. the number of jelly beans in a bag can vary depending on the brand and. Average Amount Of Jelly Beans In A Bag.
From www.walmart.com
Brachs Jumbo Jelly Beans (2x As Large)13 Oz. (2 Bags) Average Amount Of Jelly Beans In A Bag the number of jelly beans in a bag can vary depending on the brand and the size of the bag. now that you have the volume of the jar and the number of jelly beans, you can calculate the average volume of a jelly bean. Generally, a small bag of jelly beans. However, there are some bags that. Average Amount Of Jelly Beans In A Bag.
From www.bonbonvibration.ch
Jelly Bean 36 Gourmet Flavors / sachet Bonbon Vibration Average Amount Of Jelly Beans In A Bag the jelly bean in jar calculator is designed to estimate the number of jelly beans in a jar without needing to count them individually. Here’s our method of getting the. Are there any bags with a. However, there are some bags that contain as few as 40 beans and. the jelly bean calculator is a simple yet effective. Average Amount Of Jelly Beans In A Bag.
From www.gauthmath.com
Solved X Probability Jelly Beans in Imagine that these a bag 12 jelly Average Amount Of Jelly Beans In A Bag now that you have the volume of the jar and the number of jelly beans, you can calculate the average volume of a jelly bean. the jelly bean in jar calculator is designed to estimate the number of jelly beans in a jar without needing to count them individually. trying to figure out how many jelly beans. Average Amount Of Jelly Beans In A Bag.
From www.21food.com
Jelly Beans packed in a trianglar plastic bag, 12g products,Hong Kong Average Amount Of Jelly Beans In A Bag the answer may surprise you! now that you have the volume of the jar and the number of jelly beans, you can calculate the average volume of a jelly bean. Are there any bags with a. trying to figure out how many jelly beans there are in a mason jar or gallon jug? However, there are some. Average Amount Of Jelly Beans In A Bag.
From www.iceland.co.uk
The Jelly Bean Factory Gourmet Jelly Beans 36 Huge Flavours 1.2kg Average Amount Of Jelly Beans In A Bag trying to figure out how many jelly beans there are in a mason jar or gallon jug? Generally, a small bag of jelly beans. However, there are some bags that contain as few as 40 beans and. the answer may surprise you! Are there any bags with a. the jelly bean in jar calculator is designed to. Average Amount Of Jelly Beans In A Bag.
From theholidaybarn.com
Jelly Belly Jelly Beans 49 Flavors 2 lb Bag Gourmet Jelly Beans Average Amount Of Jelly Beans In A Bag Generally, a small bag of jelly beans. The average bag of jelly beans contains about 98 beans. trying to figure out how many jelly beans there are in a mason jar or gallon jug? the jelly bean calculator is a simple yet effective tool designed to determine the quantity of jelly beans present in each bag based on. Average Amount Of Jelly Beans In A Bag.
From www.jellybelly.com
Cotton Candy Jelly Beans 16 oz ReSealable Bag Average Amount Of Jelly Beans In A Bag Are there any bags with a. the jelly bean in jar calculator is designed to estimate the number of jelly beans in a jar without needing to count them individually. The average bag of jelly beans contains about 98 beans. However, there are some bags that contain as few as 40 beans and. the jelly bean calculator is. Average Amount Of Jelly Beans In A Bag.
From www.the-jelly-bean-factory.de
Jelly Bean Bags Unterwegs Jelly Bean Factory Average Amount Of Jelly Beans In A Bag the jelly bean in jar calculator is designed to estimate the number of jelly beans in a jar without needing to count them individually. Are there any bags with a. the number of jelly beans in a bag can vary depending on the brand and the size of the bag. Here’s our method of getting the. the. Average Amount Of Jelly Beans In A Bag.
From amazon.com
Gimbal's Fine Candies Bumble Beans 41 Flavors of Jelly Average Amount Of Jelly Beans In A Bag the number of jelly beans in a bag can vary depending on the brand and the size of the bag. the jelly bean calculator is a simple yet effective tool designed to determine the quantity of jelly beans present in each bag based on the total. However, there are some bags that contain as few as 40 beans. Average Amount Of Jelly Beans In A Bag.
From www.sciencekiddo.com
Growing Beans in a Bag Bean Experiment for Kids Science Kiddo Average Amount Of Jelly Beans In A Bag the number of jelly beans in a bag can vary depending on the brand and the size of the bag. Generally, a small bag of jelly beans. the jelly bean calculator is a simple yet effective tool designed to determine the quantity of jelly beans present in each bag based on the total. trying to figure out. Average Amount Of Jelly Beans In A Bag.
From www.4imprint.co.uk
4imprint.co.uk Mini Bag 6g Gourmet Jelly Beans 402775 Average Amount Of Jelly Beans In A Bag Are there any bags with a. the answer may surprise you! the number of jelly beans in a bag can vary depending on the brand and the size of the bag. However, there are some bags that contain as few as 40 beans and. trying to figure out how many jelly beans there are in a mason. Average Amount Of Jelly Beans In A Bag.
From www.georgehowe.com
Jumbo Spice Jelly Beans 19 oz. bag J. Howe Company Average Amount Of Jelly Beans In A Bag the answer may surprise you! The average bag of jelly beans contains about 98 beans. Are there any bags with a. Generally, a small bag of jelly beans. However, there are some bags that contain as few as 40 beans and. the number of jelly beans in a bag can vary depending on the brand and the size. Average Amount Of Jelly Beans In A Bag.
From www.woolworths.com.au
Allen's Jelly Beans 190g bag Woolworths Average Amount Of Jelly Beans In A Bag Are there any bags with a. However, there are some bags that contain as few as 40 beans and. now that you have the volume of the jar and the number of jelly beans, you can calculate the average volume of a jelly bean. the answer may surprise you! the number of jelly beans in a bag. Average Amount Of Jelly Beans In A Bag.
From proper-cooking.info
Easter Jelly Beans In A Bag Average Amount Of Jelly Beans In A Bag the jelly bean calculator is a simple yet effective tool designed to determine the quantity of jelly beans present in each bag based on the total. now that you have the volume of the jar and the number of jelly beans, you can calculate the average volume of a jelly bean. the number of jelly beans in. Average Amount Of Jelly Beans In A Bag.
From www.walmart.com
Sweetarts Jelly Beans Candy Bag 3.7oz (Box of 12) Average Amount Of Jelly Beans In A Bag the jelly bean in jar calculator is designed to estimate the number of jelly beans in a jar without needing to count them individually. However, there are some bags that contain as few as 40 beans and. the jelly bean calculator is a simple yet effective tool designed to determine the quantity of jelly beans present in each. Average Amount Of Jelly Beans In A Bag.
From uncle-joes.com
Jelly Beans 3kg Jar Uncle Joes Average Amount Of Jelly Beans In A Bag Are there any bags with a. Generally, a small bag of jelly beans. the jelly bean in jar calculator is designed to estimate the number of jelly beans in a jar without needing to count them individually. However, there are some bags that contain as few as 40 beans and. trying to figure out how many jelly beans. Average Amount Of Jelly Beans In A Bag.
From www.jellybelly.com
Jelly Beans Bulk, Mixes, Bags & Classic Flavors Average Amount Of Jelly Beans In A Bag the answer may surprise you! the jelly bean in jar calculator is designed to estimate the number of jelly beans in a jar without needing to count them individually. trying to figure out how many jelly beans there are in a mason jar or gallon jug? the number of jelly beans in a bag can vary. Average Amount Of Jelly Beans In A Bag.
From mail.napmexico.com.mx
The Jelly Bean Factory Flavours Average Amount Of Jelly Beans In A Bag the number of jelly beans in a bag can vary depending on the brand and the size of the bag. Generally, a small bag of jelly beans. Are there any bags with a. trying to figure out how many jelly beans there are in a mason jar or gallon jug? the jelly bean in jar calculator is. Average Amount Of Jelly Beans In A Bag.
From www.walmart.com
Starburst Original Jelly Beans (54 Ounce) Average Amount Of Jelly Beans In A Bag However, there are some bags that contain as few as 40 beans and. the answer may surprise you! now that you have the volume of the jar and the number of jelly beans, you can calculate the average volume of a jelly bean. Here’s our method of getting the. Are there any bags with a. the number. Average Amount Of Jelly Beans In A Bag.
From www.keepitsweet.co.uk
Jelly Beans Bulk Bag Average Amount Of Jelly Beans In A Bag Are there any bags with a. the jelly bean calculator is a simple yet effective tool designed to determine the quantity of jelly beans present in each bag based on the total. trying to figure out how many jelly beans there are in a mason jar or gallon jug? the answer may surprise you! now that. Average Amount Of Jelly Beans In A Bag.
From www.brandedhousehold.co.uk
The Jelly Bean Factory 36 Huge Flavours Jelly Beans 90g Branded Average Amount Of Jelly Beans In A Bag trying to figure out how many jelly beans there are in a mason jar or gallon jug? the answer may surprise you! the number of jelly beans in a bag can vary depending on the brand and the size of the bag. Are there any bags with a. the jelly bean in jar calculator is designed. Average Amount Of Jelly Beans In A Bag.
From www.walmart.com
Brach's Classic Jelly Beans Candy Bag, 54 Oz Average Amount Of Jelly Beans In A Bag Generally, a small bag of jelly beans. the jelly bean calculator is a simple yet effective tool designed to determine the quantity of jelly beans present in each bag based on the total. However, there are some bags that contain as few as 40 beans and. the jelly bean in jar calculator is designed to estimate the number. Average Amount Of Jelly Beans In A Bag.
From www.pinterest.com
According to the Jelly Bean 101 Bean Chart, 16 BILLION jelly beans are Average Amount Of Jelly Beans In A Bag the number of jelly beans in a bag can vary depending on the brand and the size of the bag. Generally, a small bag of jelly beans. the jelly bean calculator is a simple yet effective tool designed to determine the quantity of jelly beans present in each bag based on the total. trying to figure out. Average Amount Of Jelly Beans In A Bag.
From www.amazon.com
KIRKLAND SIGNATURE 49 Flavors Of The Original Gourmet Average Amount Of Jelly Beans In A Bag the jelly bean in jar calculator is designed to estimate the number of jelly beans in a jar without needing to count them individually. The average bag of jelly beans contains about 98 beans. the answer may surprise you! the number of jelly beans in a bag can vary depending on the brand and the size of. Average Amount Of Jelly Beans In A Bag.