Copper Chloride Ksp . Solubility product constant (ksp) (or the solubility product) is. Whereas solubility is usually expressed in terms of mass of. Crc handbook of chemistry and. The solubility product constant (\ (k_ {sp}\)) describes the equilibrium between a solid and its constituent ions in a solution. We hope they will prove usefull to you. Below are the values of the ksp product constant for the most common salts. 176 rows a small value of k sp indicates a insoluble substance. If there are any other salts. The equilibrium constant, ksp, for aqueous solutions of ionic compounds at 25°c. ) for compounds at 25°c. The equilibrium constant for a dissolution reaction, called the solubility product (ksp), is a measure of the solubility of a compound. The solubility of copper(i) chloride is 3.91 mg per 100.0 ml of solution. 133 rows although all compounds have a characteristic solubility in water at a given temperature, some families of compounds are.
from favpng.com
The equilibrium constant for a dissolution reaction, called the solubility product (ksp), is a measure of the solubility of a compound. The solubility of copper(i) chloride is 3.91 mg per 100.0 ml of solution. The solubility product constant (\ (k_ {sp}\)) describes the equilibrium between a solid and its constituent ions in a solution. Solubility product constant (ksp) (or the solubility product) is. The equilibrium constant, ksp, for aqueous solutions of ionic compounds at 25°c. We hope they will prove usefull to you. If there are any other salts. 133 rows although all compounds have a characteristic solubility in water at a given temperature, some families of compounds are. Whereas solubility is usually expressed in terms of mass of. Below are the values of the ksp product constant for the most common salts.
Copper(I) Chloride Copper(II) Chloride Crystal Structure, PNG
Copper Chloride Ksp Solubility product constant (ksp) (or the solubility product) is. The equilibrium constant for a dissolution reaction, called the solubility product (ksp), is a measure of the solubility of a compound. 176 rows a small value of k sp indicates a insoluble substance. 133 rows although all compounds have a characteristic solubility in water at a given temperature, some families of compounds are. The solubility product constant (\ (k_ {sp}\)) describes the equilibrium between a solid and its constituent ions in a solution. ) for compounds at 25°c. Crc handbook of chemistry and. Solubility product constant (ksp) (or the solubility product) is. We hope they will prove usefull to you. Whereas solubility is usually expressed in terms of mass of. Below are the values of the ksp product constant for the most common salts. The solubility of copper(i) chloride is 3.91 mg per 100.0 ml of solution. If there are any other salts. The equilibrium constant, ksp, for aqueous solutions of ionic compounds at 25°c.
From www.numerade.com
The solubility of copper(I) chloride is 3.91 mg per 100.0 mL of Copper Chloride Ksp 133 rows although all compounds have a characteristic solubility in water at a given temperature, some families of compounds are. Solubility product constant (ksp) (or the solubility product) is. Whereas solubility is usually expressed in terms of mass of. The solubility product constant (\ (k_ {sp}\)) describes the equilibrium between a solid and its constituent ions in a solution. The. Copper Chloride Ksp.
From www.numerade.com
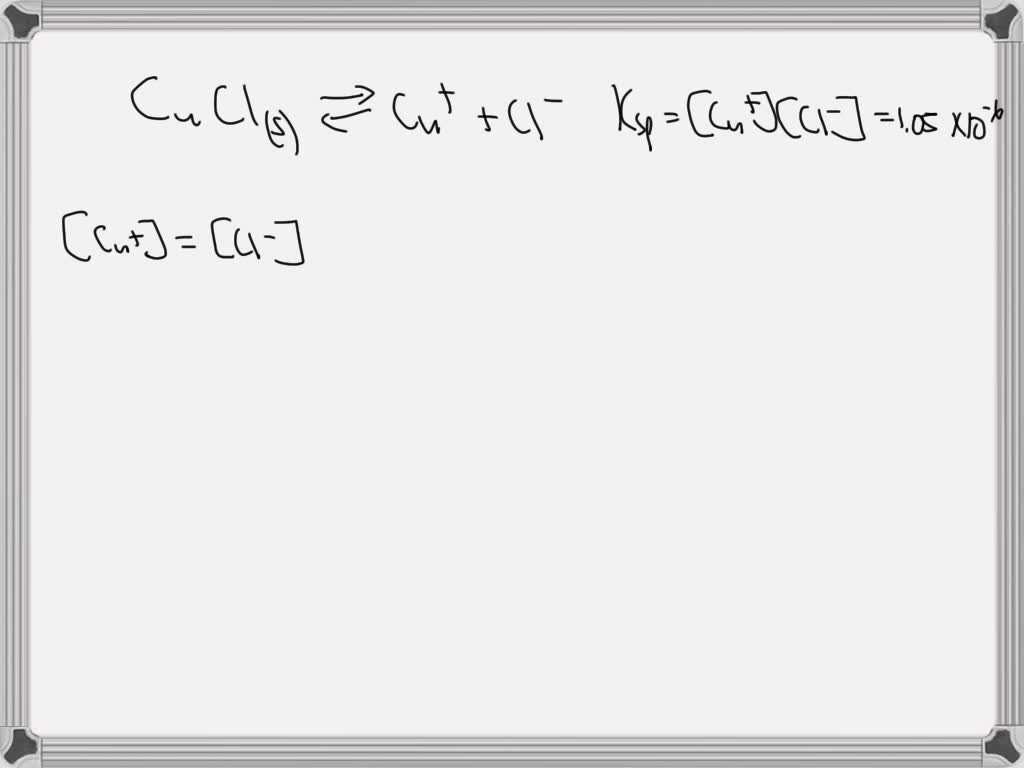
SOLVED What are the equilibrium concentrations of Cu+ and Cl in a Copper Chloride Ksp ) for compounds at 25°c. Whereas solubility is usually expressed in terms of mass of. We hope they will prove usefull to you. The solubility product constant (\ (k_ {sp}\)) describes the equilibrium between a solid and its constituent ions in a solution. 133 rows although all compounds have a characteristic solubility in water at a given temperature, some families. Copper Chloride Ksp.
From medium.com
Understanding Basic Copper Chloride Properties, Applications, and Copper Chloride Ksp 176 rows a small value of k sp indicates a insoluble substance. 133 rows although all compounds have a characteristic solubility in water at a given temperature, some families of compounds are. We hope they will prove usefull to you. Below are the values of the ksp product constant for the most common salts. Crc handbook of chemistry and. If. Copper Chloride Ksp.
From www.coursehero.com
[Solved] 12.Calculate the solubility of copper (II) chloride CuClz ksp Copper Chloride Ksp Crc handbook of chemistry and. The equilibrium constant, ksp, for aqueous solutions of ionic compounds at 25°c. The equilibrium constant for a dissolution reaction, called the solubility product (ksp), is a measure of the solubility of a compound. If there are any other salts. 133 rows although all compounds have a characteristic solubility in water at a given temperature, some. Copper Chloride Ksp.
From www.numerade.com
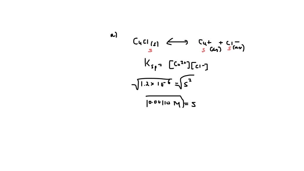
SOLVED The copper(I) ion forms a chloride salt that has a ksp=1.2e6 Copper Chloride Ksp The solubility of copper(i) chloride is 3.91 mg per 100.0 ml of solution. If there are any other salts. Solubility product constant (ksp) (or the solubility product) is. 133 rows although all compounds have a characteristic solubility in water at a given temperature, some families of compounds are. ) for compounds at 25°c. We hope they will prove usefull to. Copper Chloride Ksp.
From www.numerade.com
SOLVED What are the equilibrium concentrations of Cu+ and Cl in a Copper Chloride Ksp The solubility of copper(i) chloride is 3.91 mg per 100.0 ml of solution. Crc handbook of chemistry and. The solubility product constant (\ (k_ {sp}\)) describes the equilibrium between a solid and its constituent ions in a solution. Whereas solubility is usually expressed in terms of mass of. The equilibrium constant for a dissolution reaction, called the solubility product (ksp),. Copper Chloride Ksp.
From www.numerade.com
SOLVED What are the equilibrium concentrations of Cut and Cl ina Copper Chloride Ksp If there are any other salts. ) for compounds at 25°c. Crc handbook of chemistry and. The equilibrium constant for a dissolution reaction, called the solubility product (ksp), is a measure of the solubility of a compound. The solubility product constant (\ (k_ {sp}\)) describes the equilibrium between a solid and its constituent ions in a solution. Whereas solubility is. Copper Chloride Ksp.
From www.numerade.com
Copper (II) Chloride has a Ksp of 1.9 x 10^7. Calculate the molar Copper Chloride Ksp We hope they will prove usefull to you. 176 rows a small value of k sp indicates a insoluble substance. Below are the values of the ksp product constant for the most common salts. Solubility product constant (ksp) (or the solubility product) is. ) for compounds at 25°c. If there are any other salts. Crc handbook of chemistry and. The. Copper Chloride Ksp.
From www.numerade.com
SOLVED The solubility of copper(I) chloride is 3.91 mg per 100.0 mL of Copper Chloride Ksp The solubility of copper(i) chloride is 3.91 mg per 100.0 ml of solution. The equilibrium constant, ksp, for aqueous solutions of ionic compounds at 25°c. If there are any other salts. The solubility product constant (\ (k_ {sp}\)) describes the equilibrium between a solid and its constituent ions in a solution. We hope they will prove usefull to you. ). Copper Chloride Ksp.
From www.numerade.com
SOLVED Calculate the molar solubility of copper(I) chloride at 25°C Copper Chloride Ksp The solubility product constant (\ (k_ {sp}\)) describes the equilibrium between a solid and its constituent ions in a solution. 133 rows although all compounds have a characteristic solubility in water at a given temperature, some families of compounds are. Below are the values of the ksp product constant for the most common salts. Solubility product constant (ksp) (or the. Copper Chloride Ksp.
From www.researchgate.net
Particle of copper chloride (CuCl). Xray spectrum and corresponding Copper Chloride Ksp Whereas solubility is usually expressed in terms of mass of. 176 rows a small value of k sp indicates a insoluble substance. ) for compounds at 25°c. Solubility product constant (ksp) (or the solubility product) is. Below are the values of the ksp product constant for the most common salts. The equilibrium constant for a dissolution reaction, called the solubility. Copper Chloride Ksp.
From www.chegg.com
Solved Copper(I) chloride has Ksp=17×10−7. Calculate the Copper Chloride Ksp 176 rows a small value of k sp indicates a insoluble substance. Whereas solubility is usually expressed in terms of mass of. Crc handbook of chemistry and. The equilibrium constant for a dissolution reaction, called the solubility product (ksp), is a measure of the solubility of a compound. 133 rows although all compounds have a characteristic solubility in water at. Copper Chloride Ksp.
From melscience.com
How is copper chloride obtained MEL Chemistry Copper Chloride Ksp Solubility product constant (ksp) (or the solubility product) is. ) for compounds at 25°c. Below are the values of the ksp product constant for the most common salts. 133 rows although all compounds have a characteristic solubility in water at a given temperature, some families of compounds are. The equilibrium constant for a dissolution reaction, called the solubility product (ksp),. Copper Chloride Ksp.
From www.youtube.com
Sodium Phosphate and Copper(II) Chloride YouTube Copper Chloride Ksp We hope they will prove usefull to you. The solubility product constant (\ (k_ {sp}\)) describes the equilibrium between a solid and its constituent ions in a solution. Solubility product constant (ksp) (or the solubility product) is. 133 rows although all compounds have a characteristic solubility in water at a given temperature, some families of compounds are. Crc handbook of. Copper Chloride Ksp.
From www.numerade.com
What are the equilibrium concentrations of Cu+ and Cl in a saturated Copper Chloride Ksp If there are any other salts. ) for compounds at 25°c. 133 rows although all compounds have a characteristic solubility in water at a given temperature, some families of compounds are. The equilibrium constant for a dissolution reaction, called the solubility product (ksp), is a measure of the solubility of a compound. The solubility product constant (\ (k_ {sp}\)) describes. Copper Chloride Ksp.
From www.numerade.com
SOLVED What are the equilibrium concentrations of Cu+ and Cl in a Copper Chloride Ksp 176 rows a small value of k sp indicates a insoluble substance. If there are any other salts. Crc handbook of chemistry and. The equilibrium constant for a dissolution reaction, called the solubility product (ksp), is a measure of the solubility of a compound. 133 rows although all compounds have a characteristic solubility in water at a given temperature, some. Copper Chloride Ksp.
From www.chegg.com
Solved 100.0 mL of a saturated solution of copper (I) Copper Chloride Ksp We hope they will prove usefull to you. The equilibrium constant for a dissolution reaction, called the solubility product (ksp), is a measure of the solubility of a compound. Crc handbook of chemistry and. Solubility product constant (ksp) (or the solubility product) is. The solubility of copper(i) chloride is 3.91 mg per 100.0 ml of solution. The equilibrium constant, ksp,. Copper Chloride Ksp.
From www.researchgate.net
Partial clarification of copper chloride. Top spectra is copper Copper Chloride Ksp The equilibrium constant for a dissolution reaction, called the solubility product (ksp), is a measure of the solubility of a compound. The solubility product constant (\ (k_ {sp}\)) describes the equilibrium between a solid and its constituent ions in a solution. 133 rows although all compounds have a characteristic solubility in water at a given temperature, some families of compounds. Copper Chloride Ksp.
From amizaraspecialitychemicals.co.in
The Versatile Uses of Copper Chloride in Various Industries Amizara Copper Chloride Ksp Solubility product constant (ksp) (or the solubility product) is. The equilibrium constant, ksp, for aqueous solutions of ionic compounds at 25°c. If there are any other salts. The solubility product constant (\ (k_ {sp}\)) describes the equilibrium between a solid and its constituent ions in a solution. Below are the values of the ksp product constant for the most common. Copper Chloride Ksp.
From www.pw.live
Copper II Chloride Formula, Structure, Properties, Uses Copper Chloride Ksp We hope they will prove usefull to you. The solubility of copper(i) chloride is 3.91 mg per 100.0 ml of solution. The equilibrium constant for a dissolution reaction, called the solubility product (ksp), is a measure of the solubility of a compound. The solubility product constant (\ (k_ {sp}\)) describes the equilibrium between a solid and its constituent ions in. Copper Chloride Ksp.
From www.researchgate.net
The absorption spectrum of Copper chloride with concentrations of (10 Copper Chloride Ksp The solubility of copper(i) chloride is 3.91 mg per 100.0 ml of solution. Whereas solubility is usually expressed in terms of mass of. Crc handbook of chemistry and. ) for compounds at 25°c. If there are any other salts. 176 rows a small value of k sp indicates a insoluble substance. The equilibrium constant for a dissolution reaction, called the. Copper Chloride Ksp.
From www.numerade.com
SOLVED Copper(l) has both a chloride precipitate form and a complex Copper Chloride Ksp If there are any other salts. 176 rows a small value of k sp indicates a insoluble substance. We hope they will prove usefull to you. The equilibrium constant, ksp, for aqueous solutions of ionic compounds at 25°c. ) for compounds at 25°c. Solubility product constant (ksp) (or the solubility product) is. Whereas solubility is usually expressed in terms of. Copper Chloride Ksp.
From favpng.com
Copper(I) Chloride Copper(II) Chloride Crystal Structure, PNG Copper Chloride Ksp Whereas solubility is usually expressed in terms of mass of. Solubility product constant (ksp) (or the solubility product) is. The equilibrium constant for a dissolution reaction, called the solubility product (ksp), is a measure of the solubility of a compound. Below are the values of the ksp product constant for the most common salts. The equilibrium constant, ksp, for aqueous. Copper Chloride Ksp.
From www.flinnsci.com
Copper(II) Chloride, Reagent, 100 g Flinn Scientific Copper Chloride Ksp The solubility of copper(i) chloride is 3.91 mg per 100.0 ml of solution. The equilibrium constant for a dissolution reaction, called the solubility product (ksp), is a measure of the solubility of a compound. ) for compounds at 25°c. Solubility product constant (ksp) (or the solubility product) is. The equilibrium constant, ksp, for aqueous solutions of ionic compounds at 25°c.. Copper Chloride Ksp.
From worldmetalllc.com
Copper Chloride CAS No. 10125130 World Metal, Stafford TX Copper Chloride Ksp 133 rows although all compounds have a characteristic solubility in water at a given temperature, some families of compounds are. If there are any other salts. The solubility product constant (\ (k_ {sp}\)) describes the equilibrium between a solid and its constituent ions in a solution. Solubility product constant (ksp) (or the solubility product) is. We hope they will prove. Copper Chloride Ksp.
From www.chemone.com
Copper Chloride Copper Chloride Ksp Solubility product constant (ksp) (or the solubility product) is. We hope they will prove usefull to you. The solubility product constant (\ (k_ {sp}\)) describes the equilibrium between a solid and its constituent ions in a solution. ) for compounds at 25°c. If there are any other salts. Crc handbook of chemistry and. 133 rows although all compounds have a. Copper Chloride Ksp.
From www.numerade.com
SOLVED Copper(I) chloride has Ksp=1.7 ×10^7 . Calculate the molar Copper Chloride Ksp 133 rows although all compounds have a characteristic solubility in water at a given temperature, some families of compounds are. We hope they will prove usefull to you. The solubility of copper(i) chloride is 3.91 mg per 100.0 ml of solution. Whereas solubility is usually expressed in terms of mass of. Solubility product constant (ksp) (or the solubility product) is.. Copper Chloride Ksp.
From www.researchgate.net
Optimised structures of copper chloridecarbenes (CuNHC1 and CuNHC2 Copper Chloride Ksp We hope they will prove usefull to you. The equilibrium constant, ksp, for aqueous solutions of ionic compounds at 25°c. 133 rows although all compounds have a characteristic solubility in water at a given temperature, some families of compounds are. The solubility product constant (\ (k_ {sp}\)) describes the equilibrium between a solid and its constituent ions in a solution.. Copper Chloride Ksp.
From www.chegg.com
Solved The Ksp of copper (1) chloride, Cuci, is 1.9 x 107 Copper Chloride Ksp We hope they will prove usefull to you. Crc handbook of chemistry and. The equilibrium constant for a dissolution reaction, called the solubility product (ksp), is a measure of the solubility of a compound. 176 rows a small value of k sp indicates a insoluble substance. If there are any other salts. Below are the values of the ksp product. Copper Chloride Ksp.
From mmerevise.co.uk
Reactions of Acids Worksheets and Revision MME Copper Chloride Ksp Whereas solubility is usually expressed in terms of mass of. Solubility product constant (ksp) (or the solubility product) is. The solubility of copper(i) chloride is 3.91 mg per 100.0 ml of solution. If there are any other salts. 176 rows a small value of k sp indicates a insoluble substance. 133 rows although all compounds have a characteristic solubility in. Copper Chloride Ksp.
From www.coursehero.com
[Solved] 12.Calculate the solubility of copper (II) chloride CuClz ksp Copper Chloride Ksp The equilibrium constant, ksp, for aqueous solutions of ionic compounds at 25°c. We hope they will prove usefull to you. 133 rows although all compounds have a characteristic solubility in water at a given temperature, some families of compounds are. Solubility product constant (ksp) (or the solubility product) is. Below are the values of the ksp product constant for the. Copper Chloride Ksp.
From www.youtube.com
Synthesis of Copper Chloride YouTube Copper Chloride Ksp 176 rows a small value of k sp indicates a insoluble substance. We hope they will prove usefull to you. The equilibrium constant for a dissolution reaction, called the solubility product (ksp), is a measure of the solubility of a compound. The equilibrium constant, ksp, for aqueous solutions of ionic compounds at 25°c. If there are any other salts. Crc. Copper Chloride Ksp.
From www.numerade.com
SOLVED The solubility equilibrium constant for the dissolution of Copper Chloride Ksp The equilibrium constant, ksp, for aqueous solutions of ionic compounds at 25°c. The equilibrium constant for a dissolution reaction, called the solubility product (ksp), is a measure of the solubility of a compound. 133 rows although all compounds have a characteristic solubility in water at a given temperature, some families of compounds are. Whereas solubility is usually expressed in terms. Copper Chloride Ksp.
From www.chegg.com
Solved Copper (I) chloride has Ksp=1.7×10−7. Calculate the Copper Chloride Ksp 176 rows a small value of k sp indicates a insoluble substance. The equilibrium constant, ksp, for aqueous solutions of ionic compounds at 25°c. Solubility product constant (ksp) (or the solubility product) is. ) for compounds at 25°c. 133 rows although all compounds have a characteristic solubility in water at a given temperature, some families of compounds are. We hope. Copper Chloride Ksp.
From www.numerade.com
SOLVEDThe copper(I) ion forms a chloride salt that has Ksp= 1.2 ×10^6 Copper Chloride Ksp If there are any other salts. 176 rows a small value of k sp indicates a insoluble substance. We hope they will prove usefull to you. ) for compounds at 25°c. The solubility of copper(i) chloride is 3.91 mg per 100.0 ml of solution. The solubility product constant (\ (k_ {sp}\)) describes the equilibrium between a solid and its constituent. Copper Chloride Ksp.