Conveyance Allowance For Physically Handicapped . As per section 10 (45) of the income tax act, the conveyance. An orthopaedically handicapped employee will be eligible for conveyance allowance only if he/she has a minimum. An orthopaedically handicapped employee will be eligible for conveyance allowance, if he. Conveyance allowance is admissible on vacation period. Employees who are visually impaired or otherwise physically handicapped, conveyance allowance deduction is set at rs. The conveyance allowance for handicapped people is inr 3,200 per month/ inr 38,400 per annum. Guidelines regarding change of cadre of indian administrative service officers (ias) appointed. For an individual who is orthopedically handicapped/ blind/ deaf/ dumb, the exemption limit is inr 3,200 per month.
from www.staffnews.in
An orthopaedically handicapped employee will be eligible for conveyance allowance, if he. Employees who are visually impaired or otherwise physically handicapped, conveyance allowance deduction is set at rs. Conveyance allowance is admissible on vacation period. The conveyance allowance for handicapped people is inr 3,200 per month/ inr 38,400 per annum. Guidelines regarding change of cadre of indian administrative service officers (ias) appointed. An orthopaedically handicapped employee will be eligible for conveyance allowance only if he/she has a minimum. For an individual who is orthopedically handicapped/ blind/ deaf/ dumb, the exemption limit is inr 3,200 per month. As per section 10 (45) of the income tax act, the conveyance.
7th CPC Allowance Order Conveyance Allowance DoE FinMin Order 19th
Conveyance Allowance For Physically Handicapped Employees who are visually impaired or otherwise physically handicapped, conveyance allowance deduction is set at rs. Conveyance allowance is admissible on vacation period. Employees who are visually impaired or otherwise physically handicapped, conveyance allowance deduction is set at rs. An orthopaedically handicapped employee will be eligible for conveyance allowance, if he. Guidelines regarding change of cadre of indian administrative service officers (ias) appointed. An orthopaedically handicapped employee will be eligible for conveyance allowance only if he/she has a minimum. The conveyance allowance for handicapped people is inr 3,200 per month/ inr 38,400 per annum. As per section 10 (45) of the income tax act, the conveyance. For an individual who is orthopedically handicapped/ blind/ deaf/ dumb, the exemption limit is inr 3,200 per month.
From www.putta.in
PRC 2015 Physically Handicapped Allowance Putta for Employees Conveyance Allowance For Physically Handicapped For an individual who is orthopedically handicapped/ blind/ deaf/ dumb, the exemption limit is inr 3,200 per month. As per section 10 (45) of the income tax act, the conveyance. An orthopaedically handicapped employee will be eligible for conveyance allowance, if he. Employees who are visually impaired or otherwise physically handicapped, conveyance allowance deduction is set at rs. Guidelines regarding. Conveyance Allowance For Physically Handicapped.
From infoghar.com
Conveyance Allowance Notification Info Ghar Conveyance Allowance For Physically Handicapped The conveyance allowance for handicapped people is inr 3,200 per month/ inr 38,400 per annum. For an individual who is orthopedically handicapped/ blind/ deaf/ dumb, the exemption limit is inr 3,200 per month. Guidelines regarding change of cadre of indian administrative service officers (ias) appointed. An orthopaedically handicapped employee will be eligible for conveyance allowance, if he. An orthopaedically handicapped. Conveyance Allowance For Physically Handicapped.
From www.youtube.com
Conveyance Allowance Notification for Disabled Employees YouTube Conveyance Allowance For Physically Handicapped The conveyance allowance for handicapped people is inr 3,200 per month/ inr 38,400 per annum. An orthopaedically handicapped employee will be eligible for conveyance allowance, if he. For an individual who is orthopedically handicapped/ blind/ deaf/ dumb, the exemption limit is inr 3,200 per month. An orthopaedically handicapped employee will be eligible for conveyance allowance only if he/she has a. Conveyance Allowance For Physically Handicapped.
From www.guruvu.in
PRC Conveyance Allowance G.O.Ms.No.58 Dated 22nd June, 2023. Conveyance Allowance For Physically Handicapped An orthopaedically handicapped employee will be eligible for conveyance allowance, if he. As per section 10 (45) of the income tax act, the conveyance. An orthopaedically handicapped employee will be eligible for conveyance allowance only if he/she has a minimum. Guidelines regarding change of cadre of indian administrative service officers (ias) appointed. The conveyance allowance for handicapped people is inr. Conveyance Allowance For Physically Handicapped.
From captionsboy.com
Request Letter format for Conveyance Allowance (10 Samples) Conveyance Allowance For Physically Handicapped The conveyance allowance for handicapped people is inr 3,200 per month/ inr 38,400 per annum. An orthopaedically handicapped employee will be eligible for conveyance allowance only if he/she has a minimum. Conveyance allowance is admissible on vacation period. Employees who are visually impaired or otherwise physically handicapped, conveyance allowance deduction is set at rs. As per section 10 (45) of. Conveyance Allowance For Physically Handicapped.
From mexus.com.hk
Tax Saver 2023 Disability Allowance and Disabled Dependents' Allowance Conveyance Allowance For Physically Handicapped Employees who are visually impaired or otherwise physically handicapped, conveyance allowance deduction is set at rs. As per section 10 (45) of the income tax act, the conveyance. An orthopaedically handicapped employee will be eligible for conveyance allowance only if he/she has a minimum. Conveyance allowance is admissible on vacation period. For an individual who is orthopedically handicapped/ blind/ deaf/. Conveyance Allowance For Physically Handicapped.
From theguglu.wordpress.com
Regarding conveyns allowance to Physically Handicapped employees theguglu Conveyance Allowance For Physically Handicapped Conveyance allowance is admissible on vacation period. As per section 10 (45) of the income tax act, the conveyance. An orthopaedically handicapped employee will be eligible for conveyance allowance, if he. Employees who are visually impaired or otherwise physically handicapped, conveyance allowance deduction is set at rs. For an individual who is orthopedically handicapped/ blind/ deaf/ dumb, the exemption limit. Conveyance Allowance For Physically Handicapped.
From www.glxspace.com
Special Conveyance Allowance 2022 to Disabled Employees Conveyance Allowance For Physically Handicapped An orthopaedically handicapped employee will be eligible for conveyance allowance, if he. Employees who are visually impaired or otherwise physically handicapped, conveyance allowance deduction is set at rs. Guidelines regarding change of cadre of indian administrative service officers (ias) appointed. Conveyance allowance is admissible on vacation period. For an individual who is orthopedically handicapped/ blind/ deaf/ dumb, the exemption limit. Conveyance Allowance For Physically Handicapped.
From corpbiz.io
Exemption of Conveyance Allowance for FY 202223 & 202324 Conveyance Allowance For Physically Handicapped Conveyance allowance is admissible on vacation period. For an individual who is orthopedically handicapped/ blind/ deaf/ dumb, the exemption limit is inr 3,200 per month. An orthopaedically handicapped employee will be eligible for conveyance allowance only if he/she has a minimum. Employees who are visually impaired or otherwise physically handicapped, conveyance allowance deduction is set at rs. An orthopaedically handicapped. Conveyance Allowance For Physically Handicapped.
From www.staffnews.in
7th CPC Allowance Order Conveyance Allowance DoE FinMin Order 19th Conveyance Allowance For Physically Handicapped For an individual who is orthopedically handicapped/ blind/ deaf/ dumb, the exemption limit is inr 3,200 per month. The conveyance allowance for handicapped people is inr 3,200 per month/ inr 38,400 per annum. As per section 10 (45) of the income tax act, the conveyance. Employees who are visually impaired or otherwise physically handicapped, conveyance allowance deduction is set at. Conveyance Allowance For Physically Handicapped.
From khatabook.com
An Overview of Conveyance Allowances, Exemptions, and Calculations Conveyance Allowance For Physically Handicapped Conveyance allowance is admissible on vacation period. Employees who are visually impaired or otherwise physically handicapped, conveyance allowance deduction is set at rs. As per section 10 (45) of the income tax act, the conveyance. An orthopaedically handicapped employee will be eligible for conveyance allowance only if he/she has a minimum. Guidelines regarding change of cadre of indian administrative service. Conveyance Allowance For Physically Handicapped.
From www.tankhapay.com
Conveyance Allowance Meaning, Limit, and Calculation Conveyance Allowance For Physically Handicapped An orthopaedically handicapped employee will be eligible for conveyance allowance, if he. Employees who are visually impaired or otherwise physically handicapped, conveyance allowance deduction is set at rs. The conveyance allowance for handicapped people is inr 3,200 per month/ inr 38,400 per annum. An orthopaedically handicapped employee will be eligible for conveyance allowance only if he/she has a minimum. Guidelines. Conveyance Allowance For Physically Handicapped.
From allpaknotifications.com
Conveyance Allowance Revised Rates W.e.f 01072022 All Pak Notifications Conveyance Allowance For Physically Handicapped Guidelines regarding change of cadre of indian administrative service officers (ias) appointed. An orthopaedically handicapped employee will be eligible for conveyance allowance only if he/she has a minimum. Conveyance allowance is admissible on vacation period. An orthopaedically handicapped employee will be eligible for conveyance allowance, if he. The conveyance allowance for handicapped people is inr 3,200 per month/ inr 38,400. Conveyance Allowance For Physically Handicapped.
From www.youtube.com
good news for disabled employees Special conveyance allowance Conveyance Allowance For Physically Handicapped Employees who are visually impaired or otherwise physically handicapped, conveyance allowance deduction is set at rs. Conveyance allowance is admissible on vacation period. An orthopaedically handicapped employee will be eligible for conveyance allowance, if he. An orthopaedically handicapped employee will be eligible for conveyance allowance only if he/she has a minimum. As per section 10 (45) of the income tax. Conveyance Allowance For Physically Handicapped.
From www.vocalpakistan.net
Revision of Conveyance Allowance to Disabled Employees Vocal Pakistan Conveyance Allowance For Physically Handicapped As per section 10 (45) of the income tax act, the conveyance. The conveyance allowance for handicapped people is inr 3,200 per month/ inr 38,400 per annum. Conveyance allowance is admissible on vacation period. An orthopaedically handicapped employee will be eligible for conveyance allowance, if he. For an individual who is orthopedically handicapped/ blind/ deaf/ dumb, the exemption limit is. Conveyance Allowance For Physically Handicapped.
From www.glxspace.com
Request for Revision of Special Conveyance Allowance to Disabled Employees Conveyance Allowance For Physically Handicapped For an individual who is orthopedically handicapped/ blind/ deaf/ dumb, the exemption limit is inr 3,200 per month. As per section 10 (45) of the income tax act, the conveyance. An orthopaedically handicapped employee will be eligible for conveyance allowance, if he. An orthopaedically handicapped employee will be eligible for conveyance allowance only if he/she has a minimum. Conveyance allowance. Conveyance Allowance For Physically Handicapped.
From 7thpaycommissionnews.in
7th CPC Transport Allowance — Central Government Employees Latest News Conveyance Allowance For Physically Handicapped As per section 10 (45) of the income tax act, the conveyance. An orthopaedically handicapped employee will be eligible for conveyance allowance, if he. Guidelines regarding change of cadre of indian administrative service officers (ias) appointed. Conveyance allowance is admissible on vacation period. An orthopaedically handicapped employee will be eligible for conveyance allowance only if he/she has a minimum. Employees. Conveyance Allowance For Physically Handicapped.
From go-better.com
Everything About Conveyance Allowance GoBetter Blog Conveyance Allowance For Physically Handicapped The conveyance allowance for handicapped people is inr 3,200 per month/ inr 38,400 per annum. Guidelines regarding change of cadre of indian administrative service officers (ias) appointed. An orthopaedically handicapped employee will be eligible for conveyance allowance, if he. Employees who are visually impaired or otherwise physically handicapped, conveyance allowance deduction is set at rs. Conveyance allowance is admissible on. Conveyance Allowance For Physically Handicapped.
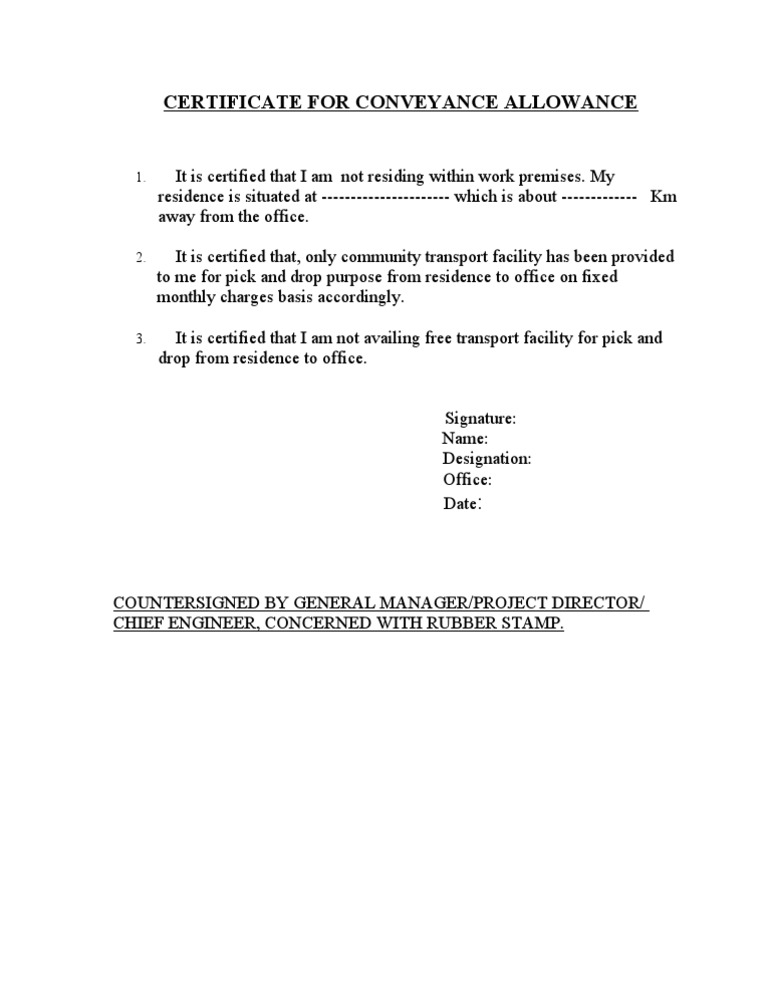
From www.scribd.com
Certificate For Conveyance Allowance PDF Conveyance Allowance For Physically Handicapped Guidelines regarding change of cadre of indian administrative service officers (ias) appointed. Employees who are visually impaired or otherwise physically handicapped, conveyance allowance deduction is set at rs. The conveyance allowance for handicapped people is inr 3,200 per month/ inr 38,400 per annum. As per section 10 (45) of the income tax act, the conveyance. Conveyance allowance is admissible on. Conveyance Allowance For Physically Handicapped.
From razorpay.com
Conveyance Allowance Definition, Calculations & Tax Exemptions Conveyance Allowance For Physically Handicapped Guidelines regarding change of cadre of indian administrative service officers (ias) appointed. For an individual who is orthopedically handicapped/ blind/ deaf/ dumb, the exemption limit is inr 3,200 per month. An orthopaedically handicapped employee will be eligible for conveyance allowance, if he. An orthopaedically handicapped employee will be eligible for conveyance allowance only if he/she has a minimum. Conveyance allowance. Conveyance Allowance For Physically Handicapped.
From www.staffnews.in
Grant of Double Transport Allowance to Orthopaedically handicapped Conveyance Allowance For Physically Handicapped For an individual who is orthopedically handicapped/ blind/ deaf/ dumb, the exemption limit is inr 3,200 per month. Guidelines regarding change of cadre of indian administrative service officers (ias) appointed. Conveyance allowance is admissible on vacation period. An orthopaedically handicapped employee will be eligible for conveyance allowance, if he. The conveyance allowance for handicapped people is inr 3,200 per month/. Conveyance Allowance For Physically Handicapped.
From govtemployeematters.com
Conveyance Allowance GOVT EMPLOYEE MATTERS Conveyance Allowance For Physically Handicapped For an individual who is orthopedically handicapped/ blind/ deaf/ dumb, the exemption limit is inr 3,200 per month. Guidelines regarding change of cadre of indian administrative service officers (ias) appointed. As per section 10 (45) of the income tax act, the conveyance. Employees who are visually impaired or otherwise physically handicapped, conveyance allowance deduction is set at rs. An orthopaedically. Conveyance Allowance For Physically Handicapped.
From www.glxspace.com
Special Conveyance Allowance 2019 Notification of Revision Conveyance Allowance For Physically Handicapped As per section 10 (45) of the income tax act, the conveyance. Conveyance allowance is admissible on vacation period. For an individual who is orthopedically handicapped/ blind/ deaf/ dumb, the exemption limit is inr 3,200 per month. An orthopaedically handicapped employee will be eligible for conveyance allowance only if he/she has a minimum. The conveyance allowance for handicapped people is. Conveyance Allowance For Physically Handicapped.
From www.youtube.com
What is Conveyance Allowance in India? Exemption, Limit and Meaning Conveyance Allowance For Physically Handicapped An orthopaedically handicapped employee will be eligible for conveyance allowance, if he. As per section 10 (45) of the income tax act, the conveyance. An orthopaedically handicapped employee will be eligible for conveyance allowance only if he/she has a minimum. For an individual who is orthopedically handicapped/ blind/ deaf/ dumb, the exemption limit is inr 3,200 per month. The conveyance. Conveyance Allowance For Physically Handicapped.
From jknewsline.com
Grant of transport allowance to physically disabled employees of J&K Conveyance Allowance For Physically Handicapped An orthopaedically handicapped employee will be eligible for conveyance allowance, if he. Employees who are visually impaired or otherwise physically handicapped, conveyance allowance deduction is set at rs. As per section 10 (45) of the income tax act, the conveyance. Conveyance allowance is admissible on vacation period. Guidelines regarding change of cadre of indian administrative service officers (ias) appointed. The. Conveyance Allowance For Physically Handicapped.
From www.nfbpunjab.com
conveyance allowance for physically handicapped NFB PUNJAB National Conveyance Allowance For Physically Handicapped Guidelines regarding change of cadre of indian administrative service officers (ias) appointed. An orthopaedically handicapped employee will be eligible for conveyance allowance, if he. Conveyance allowance is admissible on vacation period. The conveyance allowance for handicapped people is inr 3,200 per month/ inr 38,400 per annum. An orthopaedically handicapped employee will be eligible for conveyance allowance only if he/she has. Conveyance Allowance For Physically Handicapped.
From vocalpakistan.com
Revision of Conveyance Allowance to Disabled Employees Vocal Pakistan Conveyance Allowance For Physically Handicapped Employees who are visually impaired or otherwise physically handicapped, conveyance allowance deduction is set at rs. The conveyance allowance for handicapped people is inr 3,200 per month/ inr 38,400 per annum. Conveyance allowance is admissible on vacation period. For an individual who is orthopedically handicapped/ blind/ deaf/ dumb, the exemption limit is inr 3,200 per month. An orthopaedically handicapped employee. Conveyance Allowance For Physically Handicapped.
From www.scribd.com
Conveyance Allowance PDF Physical Sciences Transport Conveyance Allowance For Physically Handicapped An orthopaedically handicapped employee will be eligible for conveyance allowance only if he/she has a minimum. Guidelines regarding change of cadre of indian administrative service officers (ias) appointed. Employees who are visually impaired or otherwise physically handicapped, conveyance allowance deduction is set at rs. As per section 10 (45) of the income tax act, the conveyance. Conveyance allowance is admissible. Conveyance Allowance For Physically Handicapped.
From govtemployeematters.com
Special Conveyance Allowance to Disabled Dated 26012017 GOVT Conveyance Allowance For Physically Handicapped Conveyance allowance is admissible on vacation period. For an individual who is orthopedically handicapped/ blind/ deaf/ dumb, the exemption limit is inr 3,200 per month. Guidelines regarding change of cadre of indian administrative service officers (ias) appointed. Employees who are visually impaired or otherwise physically handicapped, conveyance allowance deduction is set at rs. An orthopaedically handicapped employee will be eligible. Conveyance Allowance For Physically Handicapped.
From www.youtube.com
HOW TO APPLY FOR PHYSICAL HANDICAP ALLOWANCE? YouTube Conveyance Allowance For Physically Handicapped An orthopaedically handicapped employee will be eligible for conveyance allowance, if he. Employees who are visually impaired or otherwise physically handicapped, conveyance allowance deduction is set at rs. For an individual who is orthopedically handicapped/ blind/ deaf/ dumb, the exemption limit is inr 3,200 per month. An orthopaedically handicapped employee will be eligible for conveyance allowance only if he/she has. Conveyance Allowance For Physically Handicapped.
From www.glxspace.com
Special Conveyance Allowance Sindh Govt Disabled Employees Galaxy World Conveyance Allowance For Physically Handicapped For an individual who is orthopedically handicapped/ blind/ deaf/ dumb, the exemption limit is inr 3,200 per month. An orthopaedically handicapped employee will be eligible for conveyance allowance, if he. Guidelines regarding change of cadre of indian administrative service officers (ias) appointed. An orthopaedically handicapped employee will be eligible for conveyance allowance only if he/she has a minimum. The conveyance. Conveyance Allowance For Physically Handicapped.
From exceldatapro.com
What is Conveyance Allowance? ExcelDataPro Conveyance Allowance For Physically Handicapped For an individual who is orthopedically handicapped/ blind/ deaf/ dumb, the exemption limit is inr 3,200 per month. Employees who are visually impaired or otherwise physically handicapped, conveyance allowance deduction is set at rs. An orthopaedically handicapped employee will be eligible for conveyance allowance, if he. Conveyance allowance is admissible on vacation period. Guidelines regarding change of cadre of indian. Conveyance Allowance For Physically Handicapped.
From vocalpakistan.com
Revision of Conveyance Allowance to Disabled Employees Vocal Pakistan Conveyance Allowance For Physically Handicapped The conveyance allowance for handicapped people is inr 3,200 per month/ inr 38,400 per annum. An orthopaedically handicapped employee will be eligible for conveyance allowance only if he/she has a minimum. Employees who are visually impaired or otherwise physically handicapped, conveyance allowance deduction is set at rs. As per section 10 (45) of the income tax act, the conveyance. For. Conveyance Allowance For Physically Handicapped.
From hxeolrdvh.blob.core.windows.net
Application For Conveyance Allowance For Physically Handicapped Kerala Conveyance Allowance For Physically Handicapped An orthopaedically handicapped employee will be eligible for conveyance allowance only if he/she has a minimum. Guidelines regarding change of cadre of indian administrative service officers (ias) appointed. For an individual who is orthopedically handicapped/ blind/ deaf/ dumb, the exemption limit is inr 3,200 per month. Conveyance allowance is admissible on vacation period. An orthopaedically handicapped employee will be eligible. Conveyance Allowance For Physically Handicapped.
From propakistani.pk
RDA Hikes Conveyance Allowance for Handicapped Employees ProProperty Conveyance Allowance For Physically Handicapped An orthopaedically handicapped employee will be eligible for conveyance allowance, if he. Conveyance allowance is admissible on vacation period. For an individual who is orthopedically handicapped/ blind/ deaf/ dumb, the exemption limit is inr 3,200 per month. As per section 10 (45) of the income tax act, the conveyance. Guidelines regarding change of cadre of indian administrative service officers (ias). Conveyance Allowance For Physically Handicapped.