Venturi Meter Questions . A venturi flow meter is a type of differential pressure flow meter that generates a flow measurement by measuring the pressure difference at two different locations in a pipe. The venturi meter is a device used to measure the flow rate of a fluid through a pipe. Applications, advantages, and disadvantages of venturimeters. Difference between venturimeter and orificemeter, and. It is a device in which pressure energy is converted into kinetic energy and is used to measure the rate of flow through. It works based on bernoulli's principle, which states that an increase in the speed of a. Uncover the workings of venturi flow meters and flow elements with our comprehensive questions and answers guide. The rate of fluid flow through a pipe is measured by a venturimeter. The speed of water in both cross sectional areas of the pipe. Learn about the operating principles, advantages,. Venturimeter is a type of flowmeter that works on the principle of bernoulli’s equation. A venturi meter filled with mercury is placed in the pipe as shown in the figure. The venturi meter operates on the principle of bernoulli’s equation, which states that as the velocity of fluid increases, the pressure.
from www.chegg.com
A venturi flow meter is a type of differential pressure flow meter that generates a flow measurement by measuring the pressure difference at two different locations in a pipe. Uncover the workings of venturi flow meters and flow elements with our comprehensive questions and answers guide. The speed of water in both cross sectional areas of the pipe. A venturi meter filled with mercury is placed in the pipe as shown in the figure. It works based on bernoulli's principle, which states that an increase in the speed of a. Applications, advantages, and disadvantages of venturimeters. Venturimeter is a type of flowmeter that works on the principle of bernoulli’s equation. Difference between venturimeter and orificemeter, and. The venturi meter is a device used to measure the flow rate of a fluid through a pipe. The venturi meter operates on the principle of bernoulli’s equation, which states that as the velocity of fluid increases, the pressure.
Solved Example Problem Venturi Meter System. The Venturi...
Venturi Meter Questions Difference between venturimeter and orificemeter, and. Applications, advantages, and disadvantages of venturimeters. Uncover the workings of venturi flow meters and flow elements with our comprehensive questions and answers guide. The venturi meter is a device used to measure the flow rate of a fluid through a pipe. Difference between venturimeter and orificemeter, and. Learn about the operating principles, advantages,. The rate of fluid flow through a pipe is measured by a venturimeter. It is a device in which pressure energy is converted into kinetic energy and is used to measure the rate of flow through. The venturi meter operates on the principle of bernoulli’s equation, which states that as the velocity of fluid increases, the pressure. A venturi meter filled with mercury is placed in the pipe as shown in the figure. Venturimeter is a type of flowmeter that works on the principle of bernoulli’s equation. The speed of water in both cross sectional areas of the pipe. A venturi flow meter is a type of differential pressure flow meter that generates a flow measurement by measuring the pressure difference at two different locations in a pipe. It works based on bernoulli's principle, which states that an increase in the speed of a.
From www.chegg.com
Solved Questions 9 through 14 Consider the venturi meter Venturi Meter Questions Venturimeter is a type of flowmeter that works on the principle of bernoulli’s equation. Uncover the workings of venturi flow meters and flow elements with our comprehensive questions and answers guide. The rate of fluid flow through a pipe is measured by a venturimeter. It is a device in which pressure energy is converted into kinetic energy and is used. Venturi Meter Questions.
From www.coursehero.com
[Solved] QUESTIONS 34 Venturi meter as shown in Figure 2 has the Venturi Meter Questions Venturimeter is a type of flowmeter that works on the principle of bernoulli’s equation. Learn about the operating principles, advantages,. Uncover the workings of venturi flow meters and flow elements with our comprehensive questions and answers guide. It is a device in which pressure energy is converted into kinetic energy and is used to measure the rate of flow through.. Venturi Meter Questions.
From www.chegg.com
Solved The venturi meter shown below has inner diameters of Venturi Meter Questions Venturimeter is a type of flowmeter that works on the principle of bernoulli’s equation. The speed of water in both cross sectional areas of the pipe. A venturi flow meter is a type of differential pressure flow meter that generates a flow measurement by measuring the pressure difference at two different locations in a pipe. The rate of fluid flow. Venturi Meter Questions.
From www.chegg.com
Solved A venturi meter, shown in Fig 1, is a carefully Venturi Meter Questions The venturi meter operates on the principle of bernoulli’s equation, which states that as the velocity of fluid increases, the pressure. The rate of fluid flow through a pipe is measured by a venturimeter. It is a device in which pressure energy is converted into kinetic energy and is used to measure the rate of flow through. Uncover the workings. Venturi Meter Questions.
From www.chegg.com
Solved The Following Device, Known As A Venturi Meter, Is... Venturi Meter Questions Learn about the operating principles, advantages,. It is a device in which pressure energy is converted into kinetic energy and is used to measure the rate of flow through. The venturi meter operates on the principle of bernoulli’s equation, which states that as the velocity of fluid increases, the pressure. Venturimeter is a type of flowmeter that works on the. Venturi Meter Questions.
From www.chegg.com
The venturi meter with attached manometer shown in Venturi Meter Questions Learn about the operating principles, advantages,. The venturi meter operates on the principle of bernoulli’s equation, which states that as the velocity of fluid increases, the pressure. Difference between venturimeter and orificemeter, and. It works based on bernoulli's principle, which states that an increase in the speed of a. The rate of fluid flow through a pipe is measured by. Venturi Meter Questions.
From www.chegg.com
Solved Example Problem Venturi Meter System. The Venturi... Venturi Meter Questions The venturi meter operates on the principle of bernoulli’s equation, which states that as the velocity of fluid increases, the pressure. A venturi flow meter is a type of differential pressure flow meter that generates a flow measurement by measuring the pressure difference at two different locations in a pipe. It is a device in which pressure energy is converted. Venturi Meter Questions.
From electricalworkbook.com
What is Venturimeter? Working, Construction & Applications Venturi Meter Questions The rate of fluid flow through a pipe is measured by a venturimeter. The venturi meter is a device used to measure the flow rate of a fluid through a pipe. Uncover the workings of venturi flow meters and flow elements with our comprehensive questions and answers guide. It is a device in which pressure energy is converted into kinetic. Venturi Meter Questions.
From www.coursehero.com
[Solved] QUESTIONS 34 Venturi meter as shown in Figure 2 has the Venturi Meter Questions Difference between venturimeter and orificemeter, and. A venturi meter filled with mercury is placed in the pipe as shown in the figure. It works based on bernoulli's principle, which states that an increase in the speed of a. The speed of water in both cross sectional areas of the pipe. The rate of fluid flow through a pipe is measured. Venturi Meter Questions.
From www.coursehero.com
[Solved] QUESTIONS 34 Venturi meter as shown in Figure 2 has the Venturi Meter Questions The venturi meter operates on the principle of bernoulli’s equation, which states that as the velocity of fluid increases, the pressure. Uncover the workings of venturi flow meters and flow elements with our comprehensive questions and answers guide. Learn about the operating principles, advantages,. Difference between venturimeter and orificemeter, and. The venturi meter is a device used to measure the. Venturi Meter Questions.
From engineerexcel.com
Construction of Venturi Meters A Comprehensive Guide EngineerExcel Venturi Meter Questions The venturi meter operates on the principle of bernoulli’s equation, which states that as the velocity of fluid increases, the pressure. A venturi meter filled with mercury is placed in the pipe as shown in the figure. Venturimeter is a type of flowmeter that works on the principle of bernoulli’s equation. The speed of water in both cross sectional areas. Venturi Meter Questions.
From www.chegg.com
Solved An Inclined Venturi Meter Is Shown In The Figure G... Venturi Meter Questions It is a device in which pressure energy is converted into kinetic energy and is used to measure the rate of flow through. Learn about the operating principles, advantages,. The venturi meter operates on the principle of bernoulli’s equation, which states that as the velocity of fluid increases, the pressure. Applications, advantages, and disadvantages of venturimeters. A venturi flow meter. Venturi Meter Questions.
From www.chegg.com
Solved (b) An inclined Venturi meter shown in Fig. C.Sb is Venturi Meter Questions It works based on bernoulli's principle, which states that an increase in the speed of a. A venturi flow meter is a type of differential pressure flow meter that generates a flow measurement by measuring the pressure difference at two different locations in a pipe. Applications, advantages, and disadvantages of venturimeters. Venturimeter is a type of flowmeter that works on. Venturi Meter Questions.
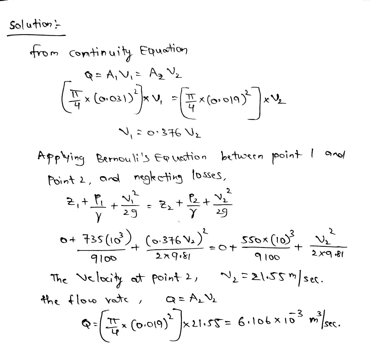
From www.studypool.com
SOLUTION Work, Bernoulli's theorem and Venturi Meter Studypool Venturi Meter Questions It works based on bernoulli's principle, which states that an increase in the speed of a. Applications, advantages, and disadvantages of venturimeters. A venturi flow meter is a type of differential pressure flow meter that generates a flow measurement by measuring the pressure difference at two different locations in a pipe. Uncover the workings of venturi flow meters and flow. Venturi Meter Questions.
From www.chegg.com
Solved The Venturi meter is used to measure the speed of air Venturi Meter Questions Learn about the operating principles, advantages,. Uncover the workings of venturi flow meters and flow elements with our comprehensive questions and answers guide. A venturi flow meter is a type of differential pressure flow meter that generates a flow measurement by measuring the pressure difference at two different locations in a pipe. It works based on bernoulli's principle, which states. Venturi Meter Questions.
From www.chegg.com
Solved A venturi meter, shown in Figure. P8, is a carefully Venturi Meter Questions It works based on bernoulli's principle, which states that an increase in the speed of a. Venturimeter is a type of flowmeter that works on the principle of bernoulli’s equation. Learn about the operating principles, advantages,. The speed of water in both cross sectional areas of the pipe. Difference between venturimeter and orificemeter, and. The rate of fluid flow through. Venturi Meter Questions.
From www.youtube.com
How To Solve Venturimeter Problems Fluid dynamics YouTube Venturi Meter Questions The rate of fluid flow through a pipe is measured by a venturimeter. A venturi meter filled with mercury is placed in the pipe as shown in the figure. Learn about the operating principles, advantages,. A venturi flow meter is a type of differential pressure flow meter that generates a flow measurement by measuring the pressure difference at two different. Venturi Meter Questions.
From www.chegg.com
Solved Question 6 Figure 2 shows an inclined venturi meter. Venturi Meter Questions The rate of fluid flow through a pipe is measured by a venturimeter. The speed of water in both cross sectional areas of the pipe. A venturi flow meter is a type of differential pressure flow meter that generates a flow measurement by measuring the pressure difference at two different locations in a pipe. It is a device in which. Venturi Meter Questions.
From www.chegg.com
Solved Determine the flowrate through the Venturi meter Venturi Meter Questions Difference between venturimeter and orificemeter, and. Uncover the workings of venturi flow meters and flow elements with our comprehensive questions and answers guide. A venturi flow meter is a type of differential pressure flow meter that generates a flow measurement by measuring the pressure difference at two different locations in a pipe. The rate of fluid flow through a pipe. Venturi Meter Questions.
From www.numerade.com
SOLVED The figure shows a Venturi meter; used to measure the flow Venturi Meter Questions The venturi meter is a device used to measure the flow rate of a fluid through a pipe. It is a device in which pressure energy is converted into kinetic energy and is used to measure the rate of flow through. Uncover the workings of venturi flow meters and flow elements with our comprehensive questions and answers guide. It works. Venturi Meter Questions.
From constructionhow.com
Study of Venturimeter, Parts, Uses Advantages Construction How Venturi Meter Questions Venturimeter is a type of flowmeter that works on the principle of bernoulli’s equation. A venturi meter filled with mercury is placed in the pipe as shown in the figure. The venturi meter is a device used to measure the flow rate of a fluid through a pipe. The rate of fluid flow through a pipe is measured by a. Venturi Meter Questions.
From www.youtube.com
Venturi Meter Working of Venturi Meter Venturi Meter Equation YouTube Venturi Meter Questions Uncover the workings of venturi flow meters and flow elements with our comprehensive questions and answers guide. The speed of water in both cross sectional areas of the pipe. A venturi meter filled with mercury is placed in the pipe as shown in the figure. The rate of fluid flow through a pipe is measured by a venturimeter. Venturimeter is. Venturi Meter Questions.
From www.studypool.com
SOLUTION 2 venturi meter Studypool Venturi Meter Questions The speed of water in both cross sectional areas of the pipe. The rate of fluid flow through a pipe is measured by a venturimeter. It works based on bernoulli's principle, which states that an increase in the speed of a. Applications, advantages, and disadvantages of venturimeters. Learn about the operating principles, advantages,. Venturimeter is a type of flowmeter that. Venturi Meter Questions.
From www.coursehero.com
[Solved] QUESTIONS 34 Venturi meter as shown in Figure 2 has the Venturi Meter Questions It works based on bernoulli's principle, which states that an increase in the speed of a. A venturi meter filled with mercury is placed in the pipe as shown in the figure. The venturi meter is a device used to measure the flow rate of a fluid through a pipe. Difference between venturimeter and orificemeter, and. Learn about the operating. Venturi Meter Questions.
From www.chegg.com
Water flows through a Venturi meter, as shown in the Venturi Meter Questions Applications, advantages, and disadvantages of venturimeters. A venturi flow meter is a type of differential pressure flow meter that generates a flow measurement by measuring the pressure difference at two different locations in a pipe. The venturi meter is a device used to measure the flow rate of a fluid through a pipe. It is a device in which pressure. Venturi Meter Questions.
From www.chegg.com
Solved Water is flowing in a Venturimeter shown in figure Venturi Meter Questions The speed of water in both cross sectional areas of the pipe. Venturimeter is a type of flowmeter that works on the principle of bernoulli’s equation. A venturi meter filled with mercury is placed in the pipe as shown in the figure. Uncover the workings of venturi flow meters and flow elements with our comprehensive questions and answers guide. Learn. Venturi Meter Questions.
From www.chegg.com
Solved Example 14.9 The Venturi meter Figure 14.26 shows a Venturi Meter Questions Uncover the workings of venturi flow meters and flow elements with our comprehensive questions and answers guide. It is a device in which pressure energy is converted into kinetic energy and is used to measure the rate of flow through. The venturi meter is a device used to measure the flow rate of a fluid through a pipe. A venturi. Venturi Meter Questions.
From www.youtube.com
Chapter 11, Example 11 (The Venturi Meter) YouTube Venturi Meter Questions A venturi flow meter is a type of differential pressure flow meter that generates a flow measurement by measuring the pressure difference at two different locations in a pipe. Applications, advantages, and disadvantages of venturimeters. The venturi meter operates on the principle of bernoulli’s equation, which states that as the velocity of fluid increases, the pressure. Difference between venturimeter and. Venturi Meter Questions.
From www.chegg.com
Solved A Venturi meter is a device used to measure the flow Venturi Meter Questions Learn about the operating principles, advantages,. The venturi meter is a device used to measure the flow rate of a fluid through a pipe. The rate of fluid flow through a pipe is measured by a venturimeter. It is a device in which pressure energy is converted into kinetic energy and is used to measure the rate of flow through.. Venturi Meter Questions.
From www.transtutors.com
(Solved) Determine the flowrate through the Venturi meter shown in Venturi Meter Questions A venturi meter filled with mercury is placed in the pipe as shown in the figure. The rate of fluid flow through a pipe is measured by a venturimeter. The speed of water in both cross sectional areas of the pipe. The venturi meter operates on the principle of bernoulli’s equation, which states that as the velocity of fluid increases,. Venturi Meter Questions.
From www.coursehero.com
[Solved] QUESTIONS 34 Venturi meter as shown in Figure 2 has the Venturi Meter Questions Learn about the operating principles, advantages,. A venturi flow meter is a type of differential pressure flow meter that generates a flow measurement by measuring the pressure difference at two different locations in a pipe. The rate of fluid flow through a pipe is measured by a venturimeter. The speed of water in both cross sectional areas of the pipe.. Venturi Meter Questions.
From automationcommunity.com
Venturi Flow Meter and Flow Element Instrumentation Basics Venturi Meter Questions Learn about the operating principles, advantages,. The venturi meter operates on the principle of bernoulli’s equation, which states that as the velocity of fluid increases, the pressure. It is a device in which pressure energy is converted into kinetic energy and is used to measure the rate of flow through. Uncover the workings of venturi flow meters and flow elements. Venturi Meter Questions.
From www.chegg.com
Solved A venturi meter, shown in the figure below, is used Venturi Meter Questions A venturi flow meter is a type of differential pressure flow meter that generates a flow measurement by measuring the pressure difference at two different locations in a pipe. A venturi meter filled with mercury is placed in the pipe as shown in the figure. The speed of water in both cross sectional areas of the pipe. Difference between venturimeter. Venturi Meter Questions.
From www.chegg.com
Solved Venturi Flow Meter Shown In Fig. 4.13 Is Used To M... Venturi Meter Questions Learn about the operating principles, advantages,. It works based on bernoulli's principle, which states that an increase in the speed of a. Uncover the workings of venturi flow meters and flow elements with our comprehensive questions and answers guide. Applications, advantages, and disadvantages of venturimeters. It is a device in which pressure energy is converted into kinetic energy and is. Venturi Meter Questions.
From www.studypool.com
SOLUTION Venturi meter handout docx Studypool Venturi Meter Questions Difference between venturimeter and orificemeter, and. The speed of water in both cross sectional areas of the pipe. Uncover the workings of venturi flow meters and flow elements with our comprehensive questions and answers guide. It is a device in which pressure energy is converted into kinetic energy and is used to measure the rate of flow through. The rate. Venturi Meter Questions.