A Model Rocket Launched With An Initial Velocity . a model rocket is launched straight upward with an initial speed of 50.0 m/s. It accelerates with a constant upward. a model rocket is launched with an initial velocity of $150 \mathrm{ft} / \mathrm{sec}$ from a height of 40 ft. The rocket’s height h (in feet ) 𝑡 seconds after. a model rocket is launched straight upward. a model rocket is launched with an initial upward velocity of 188/fts. The rocket's height h (in feet) after t seconds. a model rocket is launched with an initial velocity of 235 ft/s. The solid fuel propellant pushes the rocket off the ground at an initial velocity of 200 feet per second.
from www.chegg.com
a model rocket is launched with an initial velocity of 235 ft/s. The solid fuel propellant pushes the rocket off the ground at an initial velocity of 200 feet per second. The rocket’s height h (in feet ) 𝑡 seconds after. a model rocket is launched straight upward with an initial speed of 50.0 m/s. a model rocket is launched straight upward. The rocket's height h (in feet) after t seconds. a model rocket is launched with an initial velocity of $150 \mathrm{ft} / \mathrm{sec}$ from a height of 40 ft. a model rocket is launched with an initial upward velocity of 188/fts. It accelerates with a constant upward.
Solved A model rocket is launched from point A with an
A Model Rocket Launched With An Initial Velocity The rocket's height h (in feet) after t seconds. a model rocket is launched with an initial velocity of $150 \mathrm{ft} / \mathrm{sec}$ from a height of 40 ft. a model rocket is launched with an initial upward velocity of 188/fts. a model rocket is launched straight upward with an initial speed of 50.0 m/s. The rocket's height h (in feet) after t seconds. a model rocket is launched straight upward. a model rocket is launched with an initial velocity of 235 ft/s. It accelerates with a constant upward. The rocket’s height h (in feet ) 𝑡 seconds after. The solid fuel propellant pushes the rocket off the ground at an initial velocity of 200 feet per second.
From www.chegg.com
Solved A model rocket is launched with an initial upward A Model Rocket Launched With An Initial Velocity It accelerates with a constant upward. The solid fuel propellant pushes the rocket off the ground at an initial velocity of 200 feet per second. The rocket’s height h (in feet ) 𝑡 seconds after. The rocket's height h (in feet) after t seconds. a model rocket is launched straight upward. a model rocket is launched with an. A Model Rocket Launched With An Initial Velocity.
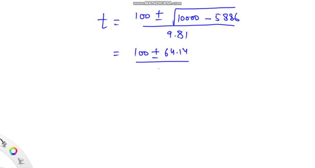
From www.toppr.com
You are to launch a rocket, from just above the ground, with one of the A Model Rocket Launched With An Initial Velocity a model rocket is launched with an initial upward velocity of 188/fts. The rocket’s height h (in feet ) 𝑡 seconds after. a model rocket is launched with an initial velocity of $150 \mathrm{ft} / \mathrm{sec}$ from a height of 40 ft. a model rocket is launched with an initial velocity of 235 ft/s. a model. A Model Rocket Launched With An Initial Velocity.
From www.numerade.com
SOLVED A model rocket is launched with an initial upward velocity of A Model Rocket Launched With An Initial Velocity The solid fuel propellant pushes the rocket off the ground at an initial velocity of 200 feet per second. a model rocket is launched with an initial velocity of 235 ft/s. The rocket's height h (in feet) after t seconds. a model rocket is launched with an initial velocity of $150 \mathrm{ft} / \mathrm{sec}$ from a height of. A Model Rocket Launched With An Initial Velocity.
From www.chegg.com
Solved A model rocket is launched from point A with an A Model Rocket Launched With An Initial Velocity a model rocket is launched with an initial upward velocity of 188/fts. a model rocket is launched with an initial velocity of $150 \mathrm{ft} / \mathrm{sec}$ from a height of 40 ft. a model rocket is launched straight upward with an initial speed of 50.0 m/s. The solid fuel propellant pushes the rocket off the ground at. A Model Rocket Launched With An Initial Velocity.
From www.chegg.com
Solved A model rocket is launched from point A with an A Model Rocket Launched With An Initial Velocity The solid fuel propellant pushes the rocket off the ground at an initial velocity of 200 feet per second. It accelerates with a constant upward. a model rocket is launched with an initial velocity of 235 ft/s. a model rocket is launched with an initial upward velocity of 188/fts. a model rocket is launched straight upward with. A Model Rocket Launched With An Initial Velocity.
From www.chegg.com
Solved A 3kg model rocket is launched vertically and A Model Rocket Launched With An Initial Velocity a model rocket is launched straight upward. It accelerates with a constant upward. a model rocket is launched straight upward with an initial speed of 50.0 m/s. The solid fuel propellant pushes the rocket off the ground at an initial velocity of 200 feet per second. The rocket’s height h (in feet ) 𝑡 seconds after. The rocket's. A Model Rocket Launched With An Initial Velocity.
From www.chegg.com
Solved A model rocket is launched with an initial velocity A Model Rocket Launched With An Initial Velocity a model rocket is launched with an initial upward velocity of 188/fts. a model rocket is launched with an initial velocity of 235 ft/s. a model rocket is launched with an initial velocity of $150 \mathrm{ft} / \mathrm{sec}$ from a height of 40 ft. It accelerates with a constant upward. The rocket’s height h (in feet ). A Model Rocket Launched With An Initial Velocity.
From courses.lumenlearning.com
Introduction to Rocket Propulsion Physics A Model Rocket Launched With An Initial Velocity The rocket’s height h (in feet ) 𝑡 seconds after. a model rocket is launched with an initial velocity of $150 \mathrm{ft} / \mathrm{sec}$ from a height of 40 ft. a model rocket is launched with an initial velocity of 235 ft/s. a model rocket is launched straight upward. a model rocket is launched with an. A Model Rocket Launched With An Initial Velocity.
From www.chegg.com
Solved 8. A model rocket is launched with an initial A Model Rocket Launched With An Initial Velocity It accelerates with a constant upward. a model rocket is launched with an initial velocity of $150 \mathrm{ft} / \mathrm{sec}$ from a height of 40 ft. a model rocket is launched straight upward. a model rocket is launched with an initial velocity of 235 ft/s. The rocket's height h (in feet) after t seconds. The solid fuel. A Model Rocket Launched With An Initial Velocity.
From www.coursehero.com
[Solved] A model rocket is launched with an initial upward velocity of A Model Rocket Launched With An Initial Velocity a model rocket is launched with an initial velocity of $150 \mathrm{ft} / \mathrm{sec}$ from a height of 40 ft. a model rocket is launched with an initial upward velocity of 188/fts. The rocket's height h (in feet) after t seconds. a model rocket is launched straight upward with an initial speed of 50.0 m/s. a. A Model Rocket Launched With An Initial Velocity.
From www.numerade.com
Two rockets are launched at a fireworks display. Rocket A is launched A Model Rocket Launched With An Initial Velocity a model rocket is launched straight upward. a model rocket is launched with an initial upward velocity of 188/fts. The solid fuel propellant pushes the rocket off the ground at an initial velocity of 200 feet per second. It accelerates with a constant upward. a model rocket is launched straight upward with an initial speed of 50.0. A Model Rocket Launched With An Initial Velocity.
From www.chegg.com
Solved A model rocket is launched from point A with an A Model Rocket Launched With An Initial Velocity a model rocket is launched with an initial velocity of $150 \mathrm{ft} / \mathrm{sec}$ from a height of 40 ft. a model rocket is launched with an initial upward velocity of 188/fts. a model rocket is launched straight upward. a model rocket is launched straight upward with an initial speed of 50.0 m/s. The rocket’s height. A Model Rocket Launched With An Initial Velocity.
From www.youtube.com
A model rocket is launched straight upward with an initial speed of 50. A Model Rocket Launched With An Initial Velocity It accelerates with a constant upward. The rocket’s height h (in feet ) 𝑡 seconds after. The solid fuel propellant pushes the rocket off the ground at an initial velocity of 200 feet per second. a model rocket is launched with an initial upward velocity of 188/fts. The rocket's height h (in feet) after t seconds. a model. A Model Rocket Launched With An Initial Velocity.
From solvedlib.com
A model rocket is launched straight up with a speed o… SolvedLib A Model Rocket Launched With An Initial Velocity a model rocket is launched straight upward with an initial speed of 50.0 m/s. The solid fuel propellant pushes the rocket off the ground at an initial velocity of 200 feet per second. It accelerates with a constant upward. a model rocket is launched with an initial velocity of 235 ft/s. a model rocket is launched with. A Model Rocket Launched With An Initial Velocity.
From www.vrogue.co
Solved A Model Rocket Is Launched With An Initial Upw vrogue.co A Model Rocket Launched With An Initial Velocity a model rocket is launched with an initial velocity of $150 \mathrm{ft} / \mathrm{sec}$ from a height of 40 ft. a model rocket is launched straight upward. The solid fuel propellant pushes the rocket off the ground at an initial velocity of 200 feet per second. The rocket’s height h (in feet ) 𝑡 seconds after. a. A Model Rocket Launched With An Initial Velocity.
From www.chegg.com
Solved A model rocket is launched with an initial velocity A Model Rocket Launched With An Initial Velocity The solid fuel propellant pushes the rocket off the ground at an initial velocity of 200 feet per second. The rocket's height h (in feet) after t seconds. The rocket’s height h (in feet ) 𝑡 seconds after. a model rocket is launched with an initial upward velocity of 188/fts. a model rocket is launched with an initial. A Model Rocket Launched With An Initial Velocity.
From www.chegg.com
Solved A model rocket is launched with an initial upward A Model Rocket Launched With An Initial Velocity a model rocket is launched with an initial velocity of $150 \mathrm{ft} / \mathrm{sec}$ from a height of 40 ft. The rocket’s height h (in feet ) 𝑡 seconds after. The solid fuel propellant pushes the rocket off the ground at an initial velocity of 200 feet per second. a model rocket is launched straight upward. a. A Model Rocket Launched With An Initial Velocity.
From brainly.com
A model rocket is launched with an initial upward velocity of 215 ft/s A Model Rocket Launched With An Initial Velocity The rocket’s height h (in feet ) 𝑡 seconds after. a model rocket is launched straight upward with an initial speed of 50.0 m/s. a model rocket is launched with an initial velocity of $150 \mathrm{ft} / \mathrm{sec}$ from a height of 40 ft. a model rocket is launched with an initial velocity of 235 ft/s. . A Model Rocket Launched With An Initial Velocity.
From www.bartleby.com
Answered A model rocket is launched with an… bartleby A Model Rocket Launched With An Initial Velocity a model rocket is launched with an initial velocity of 235 ft/s. a model rocket is launched with an initial upward velocity of 188/fts. a model rocket is launched with an initial velocity of $150 \mathrm{ft} / \mathrm{sec}$ from a height of 40 ft. a model rocket is launched straight upward. It accelerates with a constant. A Model Rocket Launched With An Initial Velocity.
From www.coursehero.com
[Solved] A model rocket is launched with an initial upward velocity of A Model Rocket Launched With An Initial Velocity a model rocket is launched with an initial velocity of 235 ft/s. a model rocket is launched straight upward. It accelerates with a constant upward. a model rocket is launched with an initial velocity of $150 \mathrm{ft} / \mathrm{sec}$ from a height of 40 ft. The rocket’s height h (in feet ) 𝑡 seconds after. a. A Model Rocket Launched With An Initial Velocity.
From www.numerade.com
SOLVED A model rocket is launched from point A with an initial A Model Rocket Launched With An Initial Velocity The rocket's height h (in feet) after t seconds. a model rocket is launched straight upward with an initial speed of 50.0 m/s. a model rocket is launched with an initial upward velocity of 188/fts. a model rocket is launched straight upward. The solid fuel propellant pushes the rocket off the ground at an initial velocity of. A Model Rocket Launched With An Initial Velocity.
From www.chegg.com
Solved A model rocket is launched from point A with an A Model Rocket Launched With An Initial Velocity a model rocket is launched straight upward with an initial speed of 50.0 m/s. a model rocket is launched with an initial velocity of $150 \mathrm{ft} / \mathrm{sec}$ from a height of 40 ft. a model rocket is launched straight upward. a model rocket is launched with an initial upward velocity of 188/fts. The solid fuel. A Model Rocket Launched With An Initial Velocity.
From www.chegg.com
Solved A model rocket is launched with an initial upward A Model Rocket Launched With An Initial Velocity The rocket's height h (in feet) after t seconds. The solid fuel propellant pushes the rocket off the ground at an initial velocity of 200 feet per second. a model rocket is launched with an initial upward velocity of 188/fts. The rocket’s height h (in feet ) 𝑡 seconds after. a model rocket is launched straight upward. . A Model Rocket Launched With An Initial Velocity.
From www.numerade.com
SOLVED Two rockets are launched at a fireworks display. Rocket A is A Model Rocket Launched With An Initial Velocity a model rocket is launched with an initial velocity of 235 ft/s. a model rocket is launched straight upward. a model rocket is launched straight upward with an initial speed of 50.0 m/s. a model rocket is launched with an initial velocity of $150 \mathrm{ft} / \mathrm{sec}$ from a height of 40 ft. The solid fuel. A Model Rocket Launched With An Initial Velocity.
From giojlcett.blob.core.windows.net
Model Rocket H Engine at Shannon Speciale blog A Model Rocket Launched With An Initial Velocity a model rocket is launched with an initial velocity of $150 \mathrm{ft} / \mathrm{sec}$ from a height of 40 ft. The rocket's height h (in feet) after t seconds. a model rocket is launched straight upward with an initial speed of 50.0 m/s. a model rocket is launched with an initial velocity of 235 ft/s. The rocket’s. A Model Rocket Launched With An Initial Velocity.
From www.chegg.com
Solved A model rocket is launched with an initial upward A Model Rocket Launched With An Initial Velocity a model rocket is launched straight upward with an initial speed of 50.0 m/s. The rocket’s height h (in feet ) 𝑡 seconds after. It accelerates with a constant upward. The rocket's height h (in feet) after t seconds. a model rocket is launched with an initial velocity of $150 \mathrm{ft} / \mathrm{sec}$ from a height of 40. A Model Rocket Launched With An Initial Velocity.
From brainly.com
A model rocket is launched with an initial upward velocity of 62/ms A Model Rocket Launched With An Initial Velocity a model rocket is launched with an initial upward velocity of 188/fts. a model rocket is launched with an initial velocity of 235 ft/s. a model rocket is launched with an initial velocity of $150 \mathrm{ft} / \mathrm{sec}$ from a height of 40 ft. a model rocket is launched straight upward with an initial speed of. A Model Rocket Launched With An Initial Velocity.
From www.chegg.com
Solved A model rocket is launched with an initial upward A Model Rocket Launched With An Initial Velocity The solid fuel propellant pushes the rocket off the ground at an initial velocity of 200 feet per second. a model rocket is launched with an initial velocity of $150 \mathrm{ft} / \mathrm{sec}$ from a height of 40 ft. The rocket's height h (in feet) after t seconds. a model rocket is launched straight upward. a model. A Model Rocket Launched With An Initial Velocity.
From www.chegg.com
Solved A model rocket is launched upward from a stationary A Model Rocket Launched With An Initial Velocity a model rocket is launched straight upward with an initial speed of 50.0 m/s. a model rocket is launched with an initial velocity of $150 \mathrm{ft} / \mathrm{sec}$ from a height of 40 ft. a model rocket is launched straight upward. The rocket's height h (in feet) after t seconds. It accelerates with a constant upward. The. A Model Rocket Launched With An Initial Velocity.
From byjus.com
A rocket is launched at an angle 53^° to the horigontal with an initial A Model Rocket Launched With An Initial Velocity The rocket's height h (in feet) after t seconds. The rocket’s height h (in feet ) 𝑡 seconds after. a model rocket is launched with an initial velocity of 235 ft/s. a model rocket is launched with an initial velocity of $150 \mathrm{ft} / \mathrm{sec}$ from a height of 40 ft. a model rocket is launched with. A Model Rocket Launched With An Initial Velocity.
From www.chegg.com
Solved A model rocket is launched from point A with an A Model Rocket Launched With An Initial Velocity a model rocket is launched with an initial upward velocity of 188/fts. The solid fuel propellant pushes the rocket off the ground at an initial velocity of 200 feet per second. a model rocket is launched with an initial velocity of 235 ft/s. a model rocket is launched straight upward. The rocket's height h (in feet) after. A Model Rocket Launched With An Initial Velocity.
From www.chegg.com
Solved A model rocket is launched from point A with an A Model Rocket Launched With An Initial Velocity a model rocket is launched with an initial velocity of 235 ft/s. The rocket’s height h (in feet ) 𝑡 seconds after. The rocket's height h (in feet) after t seconds. a model rocket is launched with an initial upward velocity of 188/fts. It accelerates with a constant upward. a model rocket is launched straight upward with. A Model Rocket Launched With An Initial Velocity.
From www.gauthmath.com
A rocketry club is launching model rockets. The launching pad is 30 A Model Rocket Launched With An Initial Velocity It accelerates with a constant upward. a model rocket is launched straight upward. The rocket’s height h (in feet ) 𝑡 seconds after. a model rocket is launched with an initial velocity of $150 \mathrm{ft} / \mathrm{sec}$ from a height of 40 ft. The solid fuel propellant pushes the rocket off the ground at an initial velocity of. A Model Rocket Launched With An Initial Velocity.
From cameramath.com
A model rocket is launched with an initial upward CameraMath A Model Rocket Launched With An Initial Velocity a model rocket is launched with an initial velocity of 235 ft/s. The rocket’s height h (in feet ) 𝑡 seconds after. a model rocket is launched straight upward with an initial speed of 50.0 m/s. a model rocket is launched straight upward. The solid fuel propellant pushes the rocket off the ground at an initial velocity. A Model Rocket Launched With An Initial Velocity.
From www.chegg.com
Solved A model rocket is launched with an initial upward A Model Rocket Launched With An Initial Velocity a model rocket is launched with an initial upward velocity of 188/fts. a model rocket is launched with an initial velocity of 235 ft/s. The rocket's height h (in feet) after t seconds. a model rocket is launched straight upward. The solid fuel propellant pushes the rocket off the ground at an initial velocity of 200 feet. A Model Rocket Launched With An Initial Velocity.