South Dakota Unclaimed Property Negative Report . Enter your claim id to see the status of a claim you have submitted to south dakota unclaimed property. Some states don’t have anything in their laws that say you must file a negative report, but they request a negative report as office policy. Take a minute and to check if south dakota has unclaimed property that belongs to you or a family. The state treasurer is holding millions of dollars in unclaimed funds for south dakotans. (a) a person holding property tangible or intangible, presumed abandoned and subject to custody as. The state holds these lost funds until claimed by either the original owner or their heirs. Lee dejabet, unclaimed property administrator. The state maintains custody of the property until the rightful owner or heirs come forward to claim it. They can be claimed at no.
from www.unclaimedpropertyspecialists.com
Enter your claim id to see the status of a claim you have submitted to south dakota unclaimed property. Some states don’t have anything in their laws that say you must file a negative report, but they request a negative report as office policy. (a) a person holding property tangible or intangible, presumed abandoned and subject to custody as. They can be claimed at no. The state holds these lost funds until claimed by either the original owner or their heirs. The state treasurer is holding millions of dollars in unclaimed funds for south dakotans. Take a minute and to check if south dakota has unclaimed property that belongs to you or a family. Lee dejabet, unclaimed property administrator. The state maintains custody of the property until the rightful owner or heirs come forward to claim it.
State Unclaimed Property Notices Best Practices MarketSphere
South Dakota Unclaimed Property Negative Report Some states don’t have anything in their laws that say you must file a negative report, but they request a negative report as office policy. The state maintains custody of the property until the rightful owner or heirs come forward to claim it. Some states don’t have anything in their laws that say you must file a negative report, but they request a negative report as office policy. Take a minute and to check if south dakota has unclaimed property that belongs to you or a family. Enter your claim id to see the status of a claim you have submitted to south dakota unclaimed property. They can be claimed at no. The state treasurer is holding millions of dollars in unclaimed funds for south dakotans. The state holds these lost funds until claimed by either the original owner or their heirs. (a) a person holding property tangible or intangible, presumed abandoned and subject to custody as. Lee dejabet, unclaimed property administrator.
From ourpublicrecords.org
Unclaimed Money In South Dakota The Ultimate Guide 2024 Public South Dakota Unclaimed Property Negative Report Take a minute and to check if south dakota has unclaimed property that belongs to you or a family. They can be claimed at no. Some states don’t have anything in their laws that say you must file a negative report, but they request a negative report as office policy. Lee dejabet, unclaimed property administrator. The state maintains custody of. South Dakota Unclaimed Property Negative Report.
From sovos.com
South Dakota Escheat & Unclaimed Property Laws Sovos South Dakota Unclaimed Property Negative Report The state holds these lost funds until claimed by either the original owner or their heirs. Take a minute and to check if south dakota has unclaimed property that belongs to you or a family. Some states don’t have anything in their laws that say you must file a negative report, but they request a negative report as office policy.. South Dakota Unclaimed Property Negative Report.
From www.formsbank.com
Form AsdNeg Negative Report Of Unclaimed Property For Holding Period South Dakota Unclaimed Property Negative Report The state treasurer is holding millions of dollars in unclaimed funds for south dakotans. (a) a person holding property tangible or intangible, presumed abandoned and subject to custody as. Take a minute and to check if south dakota has unclaimed property that belongs to you or a family. The state maintains custody of the property until the rightful owner or. South Dakota Unclaimed Property Negative Report.
From ourpublicrecords.org
Unclaimed Money In South Dakota The Ultimate Guide 2024 Public South Dakota Unclaimed Property Negative Report Some states don’t have anything in their laws that say you must file a negative report, but they request a negative report as office policy. Take a minute and to check if south dakota has unclaimed property that belongs to you or a family. The state holds these lost funds until claimed by either the original owner or their heirs.. South Dakota Unclaimed Property Negative Report.
From www.unclaimedpropertyspecialists.com
State Unclaimed Property Notices Best Practices MarketSphere South Dakota Unclaimed Property Negative Report Lee dejabet, unclaimed property administrator. They can be claimed at no. (a) a person holding property tangible or intangible, presumed abandoned and subject to custody as. Take a minute and to check if south dakota has unclaimed property that belongs to you or a family. The state treasurer is holding millions of dollars in unclaimed funds for south dakotans. Some. South Dakota Unclaimed Property Negative Report.
From www.youtube.com
South Dakota Unclaimed Property Find Unclaimed Money That Could South Dakota Unclaimed Property Negative Report (a) a person holding property tangible or intangible, presumed abandoned and subject to custody as. Take a minute and to check if south dakota has unclaimed property that belongs to you or a family. Lee dejabet, unclaimed property administrator. The state maintains custody of the property until the rightful owner or heirs come forward to claim it. They can be. South Dakota Unclaimed Property Negative Report.
From ourpublicrecords.org
Unclaimed Money In North Dakota The Ultimate Guide 2024 Public South Dakota Unclaimed Property Negative Report Enter your claim id to see the status of a claim you have submitted to south dakota unclaimed property. Some states don’t have anything in their laws that say you must file a negative report, but they request a negative report as office policy. They can be claimed at no. (a) a person holding property tangible or intangible, presumed abandoned. South Dakota Unclaimed Property Negative Report.
From www.unclaimedmoneyfinder.org
Find all Unclaimed Property in South Dakota (2022 Guide) South Dakota Unclaimed Property Negative Report They can be claimed at no. (a) a person holding property tangible or intangible, presumed abandoned and subject to custody as. The state treasurer is holding millions of dollars in unclaimed funds for south dakotans. Lee dejabet, unclaimed property administrator. Some states don’t have anything in their laws that say you must file a negative report, but they request a. South Dakota Unclaimed Property Negative Report.
From www.formsbank.com
Form 497Up2 Report Of Unclaimed Property Form printable pdf download South Dakota Unclaimed Property Negative Report Some states don’t have anything in their laws that say you must file a negative report, but they request a negative report as office policy. Enter your claim id to see the status of a claim you have submitted to south dakota unclaimed property. The state treasurer is holding millions of dollars in unclaimed funds for south dakotans. The state. South Dakota Unclaimed Property Negative Report.
From www.unclaimedmoneyfinder.org
Find all Unclaimed Property in South Dakota (2022 Guide) South Dakota Unclaimed Property Negative Report Some states don’t have anything in their laws that say you must file a negative report, but they request a negative report as office policy. (a) a person holding property tangible or intangible, presumed abandoned and subject to custody as. Lee dejabet, unclaimed property administrator. Enter your claim id to see the status of a claim you have submitted to. South Dakota Unclaimed Property Negative Report.
From www.scribd.com
South Dakota State Treasurer Unclaimed Property Claim Form PDF South Dakota Unclaimed Property Negative Report (a) a person holding property tangible or intangible, presumed abandoned and subject to custody as. The state maintains custody of the property until the rightful owner or heirs come forward to claim it. Some states don’t have anything in their laws that say you must file a negative report, but they request a negative report as office policy. They can. South Dakota Unclaimed Property Negative Report.
From ourpublicrecords.org
Unclaimed Money In South Dakota The Ultimate Guide 2024 Public South Dakota Unclaimed Property Negative Report Lee dejabet, unclaimed property administrator. They can be claimed at no. Enter your claim id to see the status of a claim you have submitted to south dakota unclaimed property. (a) a person holding property tangible or intangible, presumed abandoned and subject to custody as. The state holds these lost funds until claimed by either the original owner or their. South Dakota Unclaimed Property Negative Report.
From www.formsbank.com
Fillable Form Ap1 Neg Negative Reporting Form For Abandoned And South Dakota Unclaimed Property Negative Report (a) a person holding property tangible or intangible, presumed abandoned and subject to custody as. They can be claimed at no. The state holds these lost funds until claimed by either the original owner or their heirs. Lee dejabet, unclaimed property administrator. Some states don’t have anything in their laws that say you must file a negative report, but they. South Dakota Unclaimed Property Negative Report.
From sdtreasurer.gov
Unclaimed Property South Dakota State Treasurer South Dakota Unclaimed Property Negative Report The state holds these lost funds until claimed by either the original owner or their heirs. The state treasurer is holding millions of dollars in unclaimed funds for south dakotans. Enter your claim id to see the status of a claim you have submitted to south dakota unclaimed property. (a) a person holding property tangible or intangible, presumed abandoned and. South Dakota Unclaimed Property Negative Report.
From ourpublicrecords.org
Unclaimed Money In South Dakota The Ultimate Guide 2024 Public South Dakota Unclaimed Property Negative Report The state treasurer is holding millions of dollars in unclaimed funds for south dakotans. Take a minute and to check if south dakota has unclaimed property that belongs to you or a family. They can be claimed at no. (a) a person holding property tangible or intangible, presumed abandoned and subject to custody as. The state holds these lost funds. South Dakota Unclaimed Property Negative Report.
From www.formsbank.com
Form 202009 Negative Report Of Unclaimed Property printable pdf download South Dakota Unclaimed Property Negative Report (a) a person holding property tangible or intangible, presumed abandoned and subject to custody as. The state maintains custody of the property until the rightful owner or heirs come forward to claim it. Lee dejabet, unclaimed property administrator. The state treasurer is holding millions of dollars in unclaimed funds for south dakotans. Take a minute and to check if south. South Dakota Unclaimed Property Negative Report.
From www.unclaimedmoneyfinder.org
Find all Unclaimed Property in South Dakota (2024 Guide) South Dakota Unclaimed Property Negative Report The state holds these lost funds until claimed by either the original owner or their heirs. (a) a person holding property tangible or intangible, presumed abandoned and subject to custody as. Some states don’t have anything in their laws that say you must file a negative report, but they request a negative report as office policy. The state maintains custody. South Dakota Unclaimed Property Negative Report.
From www.unclaimedmoneyfinder.org
Find all Unclaimed Property in South Dakota (2024 Guide) South Dakota Unclaimed Property Negative Report They can be claimed at no. Enter your claim id to see the status of a claim you have submitted to south dakota unclaimed property. The state treasurer is holding millions of dollars in unclaimed funds for south dakotans. Some states don’t have anything in their laws that say you must file a negative report, but they request a negative. South Dakota Unclaimed Property Negative Report.
From www.unclaimedmoneyfinder.org
Find all Unclaimed Property in South Dakota (2022 Guide) South Dakota Unclaimed Property Negative Report The state treasurer is holding millions of dollars in unclaimed funds for south dakotans. Enter your claim id to see the status of a claim you have submitted to south dakota unclaimed property. Some states don’t have anything in their laws that say you must file a negative report, but they request a negative report as office policy. Lee dejabet,. South Dakota Unclaimed Property Negative Report.
From www.formsbank.com
Fillable Form Ador 172009 Negative Report Of Unclaimed Property South Dakota Unclaimed Property Negative Report (a) a person holding property tangible or intangible, presumed abandoned and subject to custody as. The state treasurer is holding millions of dollars in unclaimed funds for south dakotans. They can be claimed at no. The state holds these lost funds until claimed by either the original owner or their heirs. Some states don’t have anything in their laws that. South Dakota Unclaimed Property Negative Report.
From southdakotasearchlight.com
Staking claims on unclaimed property 175 million haul sparks budget South Dakota Unclaimed Property Negative Report The state holds these lost funds until claimed by either the original owner or their heirs. Some states don’t have anything in their laws that say you must file a negative report, but they request a negative report as office policy. Take a minute and to check if south dakota has unclaimed property that belongs to you or a family.. South Dakota Unclaimed Property Negative Report.
From www.unclaimedmoneyfinder.org
Find all Unclaimed Property in South Dakota (2024 Guide) South Dakota Unclaimed Property Negative Report They can be claimed at no. Enter your claim id to see the status of a claim you have submitted to south dakota unclaimed property. The state treasurer is holding millions of dollars in unclaimed funds for south dakotans. Lee dejabet, unclaimed property administrator. (a) a person holding property tangible or intangible, presumed abandoned and subject to custody as. The. South Dakota Unclaimed Property Negative Report.
From www.formsbank.com
Fillable Form Ap 1 Neg Negative Reporting Form For Abandoned And South Dakota Unclaimed Property Negative Report Enter your claim id to see the status of a claim you have submitted to south dakota unclaimed property. Take a minute and to check if south dakota has unclaimed property that belongs to you or a family. Lee dejabet, unclaimed property administrator. The state maintains custody of the property until the rightful owner or heirs come forward to claim. South Dakota Unclaimed Property Negative Report.
From ourpublicrecords.org
Unclaimed Money In South Dakota The Ultimate Guide 2024 Public South Dakota Unclaimed Property Negative Report The state holds these lost funds until claimed by either the original owner or their heirs. Lee dejabet, unclaimed property administrator. Take a minute and to check if south dakota has unclaimed property that belongs to you or a family. (a) a person holding property tangible or intangible, presumed abandoned and subject to custody as. The state treasurer is holding. South Dakota Unclaimed Property Negative Report.
From www.formsbank.com
Form 202009 Negative Report Of Unclaimed Property printable pdf download South Dakota Unclaimed Property Negative Report Some states don’t have anything in their laws that say you must file a negative report, but they request a negative report as office policy. Take a minute and to check if south dakota has unclaimed property that belongs to you or a family. The state holds these lost funds until claimed by either the original owner or their heirs.. South Dakota Unclaimed Property Negative Report.
From www.formsbank.com
Fillable Form A Report Of Unclaimed Property printable pdf download South Dakota Unclaimed Property Negative Report They can be claimed at no. Enter your claim id to see the status of a claim you have submitted to south dakota unclaimed property. The state holds these lost funds until claimed by either the original owner or their heirs. The state treasurer is holding millions of dollars in unclaimed funds for south dakotans. (a) a person holding property. South Dakota Unclaimed Property Negative Report.
From www.formsbank.com
Form Ap1 Ins Report Of Unclaimed Property printable pdf download South Dakota Unclaimed Property Negative Report Take a minute and to check if south dakota has unclaimed property that belongs to you or a family. Lee dejabet, unclaimed property administrator. The state treasurer is holding millions of dollars in unclaimed funds for south dakotans. (a) a person holding property tangible or intangible, presumed abandoned and subject to custody as. The state maintains custody of the property. South Dakota Unclaimed Property Negative Report.
From www.unclaimedmoneyfinder.org
Find all Unclaimed Property in South Dakota (2022 Guide) South Dakota Unclaimed Property Negative Report The state holds these lost funds until claimed by either the original owner or their heirs. Lee dejabet, unclaimed property administrator. The state maintains custody of the property until the rightful owner or heirs come forward to claim it. Some states don’t have anything in their laws that say you must file a negative report, but they request a negative. South Dakota Unclaimed Property Negative Report.
From southdakotasearchlight.com
Noem collects unclaimed property check at county GOP event • South South Dakota Unclaimed Property Negative Report The state treasurer is holding millions of dollars in unclaimed funds for south dakotans. (a) a person holding property tangible or intangible, presumed abandoned and subject to custody as. The state holds these lost funds until claimed by either the original owner or their heirs. Take a minute and to check if south dakota has unclaimed property that belongs to. South Dakota Unclaimed Property Negative Report.
From www.formsbank.com
Form Ap1 Report Of Unclaimed Property printable pdf download South Dakota Unclaimed Property Negative Report Enter your claim id to see the status of a claim you have submitted to south dakota unclaimed property. They can be claimed at no. The state treasurer is holding millions of dollars in unclaimed funds for south dakotans. Take a minute and to check if south dakota has unclaimed property that belongs to you or a family. The state. South Dakota Unclaimed Property Negative Report.
From ourpublicrecords.org
Unclaimed Money In South Dakota The Ultimate Guide 2024 Public South Dakota Unclaimed Property Negative Report Lee dejabet, unclaimed property administrator. Take a minute and to check if south dakota has unclaimed property that belongs to you or a family. They can be claimed at no. The state holds these lost funds until claimed by either the original owner or their heirs. Some states don’t have anything in their laws that say you must file a. South Dakota Unclaimed Property Negative Report.
From www.unclaimedmoneyfinder.org
Find all Unclaimed Property in South Dakota (2024 Guide) South Dakota Unclaimed Property Negative Report Lee dejabet, unclaimed property administrator. The state holds these lost funds until claimed by either the original owner or their heirs. Enter your claim id to see the status of a claim you have submitted to south dakota unclaimed property. The state maintains custody of the property until the rightful owner or heirs come forward to claim it. The state. South Dakota Unclaimed Property Negative Report.
From www.formsbank.com
Fillable Form Ador 20200 Unclaimed Property Report printable pdf South Dakota Unclaimed Property Negative Report They can be claimed at no. Enter your claim id to see the status of a claim you have submitted to south dakota unclaimed property. Lee dejabet, unclaimed property administrator. (a) a person holding property tangible or intangible, presumed abandoned and subject to custody as. Some states don’t have anything in their laws that say you must file a negative. South Dakota Unclaimed Property Negative Report.
From www.claimyourcash.sdtreasurer.gov
South Dakota Unclaimed Property South Dakota Unclaimed Property Negative Report They can be claimed at no. The state holds these lost funds until claimed by either the original owner or their heirs. The state maintains custody of the property until the rightful owner or heirs come forward to claim it. Take a minute and to check if south dakota has unclaimed property that belongs to you or a family. Enter. South Dakota Unclaimed Property Negative Report.
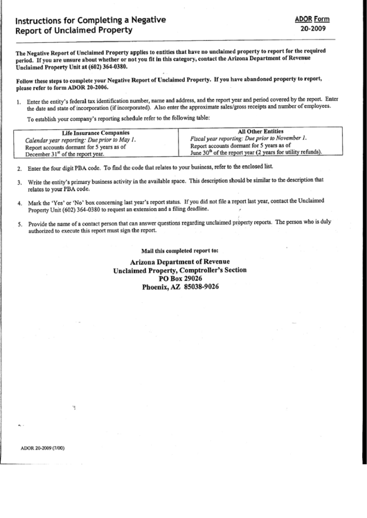
From www.formsbank.com
Instructions For Ador Form 202009 Completing A Negative Report Of South Dakota Unclaimed Property Negative Report Enter your claim id to see the status of a claim you have submitted to south dakota unclaimed property. The state maintains custody of the property until the rightful owner or heirs come forward to claim it. The state holds these lost funds until claimed by either the original owner or their heirs. (a) a person holding property tangible or. South Dakota Unclaimed Property Negative Report.