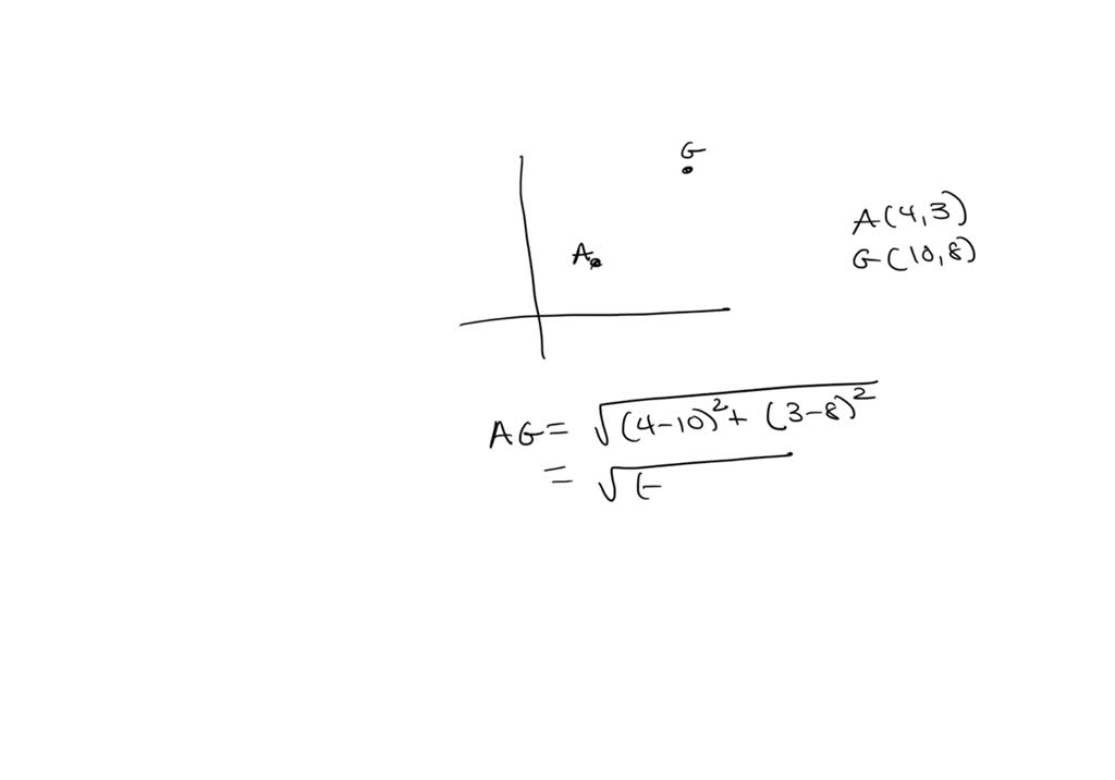
Angelica Uses The Point 4 3 To Represent . So a is at 3. They are representing the house of angelica, which is 4, 3. The gas station is at point 10, 8. — angelica uses the point (4,3) to represent the location of her house and uses the point (10,8) to represent the location of. Angelica uses the point (4, 3) to represent the location of her house and uses the point (10, 8) to represent the. angelica uses the points (4,3) to represent the location of her house and use the point (10,8) to represent the location of a gas station. We have a gas station at the. Angelica uses the point (2,1) to represent the location of her house and uses the point (7,13) to represent the location of. They are representing angelica's house, which is at 4, 3 points.
from thecontentauthority.com
angelica uses the points (4,3) to represent the location of her house and use the point (10,8) to represent the location of a gas station. We have a gas station at the. They are representing the house of angelica, which is 4, 3. The gas station is at point 10, 8. Angelica uses the point (4, 3) to represent the location of her house and uses the point (10, 8) to represent the. So a is at 3. They are representing angelica's house, which is at 4, 3 points. — angelica uses the point (4,3) to represent the location of her house and uses the point (10,8) to represent the location of. Angelica uses the point (2,1) to represent the location of her house and uses the point (7,13) to represent the location of.
Archangel vs Angelica Differences And Uses For Each One
Angelica Uses The Point 4 3 To Represent They are representing the house of angelica, which is 4, 3. Angelica uses the point (2,1) to represent the location of her house and uses the point (7,13) to represent the location of. They are representing angelica's house, which is at 4, 3 points. So a is at 3. Angelica uses the point (4, 3) to represent the location of her house and uses the point (10, 8) to represent the. We have a gas station at the. angelica uses the points (4,3) to represent the location of her house and use the point (10,8) to represent the location of a gas station. — angelica uses the point (4,3) to represent the location of her house and uses the point (10,8) to represent the location of. The gas station is at point 10, 8. They are representing the house of angelica, which is 4, 3.
From www.chegg.com
Solved Point A is launched horizontally away from a wall and Angelica Uses The Point 4 3 To Represent angelica uses the points (4,3) to represent the location of her house and use the point (10,8) to represent the location of a gas station. Angelica uses the point (4, 3) to represent the location of her house and uses the point (10, 8) to represent the. So a is at 3. Angelica uses the point (2,1) to represent. Angelica Uses The Point 4 3 To Represent.
From sacredplantco.com
Angelica Root Embrace the Healing Aura of the 'Root of the Holy Spirit Angelica Uses The Point 4 3 To Represent They are representing angelica's house, which is at 4, 3 points. — angelica uses the point (4,3) to represent the location of her house and uses the point (10,8) to represent the location of. Angelica uses the point (4, 3) to represent the location of her house and uses the point (10, 8) to represent the. So a is. Angelica Uses The Point 4 3 To Represent.
From www.vrogue.co
What Is An Inequality That Represents The Graph Below vrogue.co Angelica Uses The Point 4 3 To Represent angelica uses the points (4,3) to represent the location of her house and use the point (10,8) to represent the location of a gas station. — angelica uses the point (4,3) to represent the location of her house and uses the point (10,8) to represent the location of. The gas station is at point 10, 8. So a. Angelica Uses The Point 4 3 To Represent.
From worksheetfullunpraise.z21.web.core.windows.net
Table Of A Linear Function Angelica Uses The Point 4 3 To Represent — angelica uses the point (4,3) to represent the location of her house and uses the point (10,8) to represent the location of. Angelica uses the point (4, 3) to represent the location of her house and uses the point (10, 8) to represent the. They are representing the house of angelica, which is 4, 3. We have a. Angelica Uses The Point 4 3 To Represent.
From brainly.com
2. Angelica uses the point to represent the location of her house and Angelica Uses The Point 4 3 To Represent Angelica uses the point (2,1) to represent the location of her house and uses the point (7,13) to represent the location of. They are representing the house of angelica, which is 4, 3. They are representing angelica's house, which is at 4, 3 points. The gas station is at point 10, 8. We have a gas station at the. . Angelica Uses The Point 4 3 To Represent.
From brainly.com
Need Help ASAP it's due today. Angelica uses the point (4,3) to Angelica Uses The Point 4 3 To Represent The gas station is at point 10, 8. They are representing angelica's house, which is at 4, 3 points. Angelica uses the point (4, 3) to represent the location of her house and uses the point (10, 8) to represent the. Angelica uses the point (2,1) to represent the location of her house and uses the point (7,13) to represent. Angelica Uses The Point 4 3 To Represent.
From brainly.com
Use the number line below to determine which of the following answer Angelica Uses The Point 4 3 To Represent We have a gas station at the. Angelica uses the point (2,1) to represent the location of her house and uses the point (7,13) to represent the location of. angelica uses the points (4,3) to represent the location of her house and use the point (10,8) to represent the location of a gas station. Angelica uses the point (4,. Angelica Uses The Point 4 3 To Represent.
From www.herbal-supplement-resource.com
Angelica Benefits, Side Effects and Uses of Its Root Angelica Uses The Point 4 3 To Represent Angelica uses the point (4, 3) to represent the location of her house and uses the point (10, 8) to represent the. They are representing the house of angelica, which is 4, 3. Angelica uses the point (2,1) to represent the location of her house and uses the point (7,13) to represent the location of. The gas station is at. Angelica Uses The Point 4 3 To Represent.
From www.otvfoco.com.br
Angélica Saiba tudo sobre a vida e carreira da apresentadora Angelica Uses The Point 4 3 To Represent — angelica uses the point (4,3) to represent the location of her house and uses the point (10,8) to represent the location of. They are representing the house of angelica, which is 4, 3. angelica uses the points (4,3) to represent the location of her house and use the point (10,8) to represent the location of a gas. Angelica Uses The Point 4 3 To Represent.
From lessoncampussquiffy.z21.web.core.windows.net
What Are Points Lines And Planes In Geometry Angelica Uses The Point 4 3 To Represent They are representing the house of angelica, which is 4, 3. Angelica uses the point (2,1) to represent the location of her house and uses the point (7,13) to represent the location of. — angelica uses the point (4,3) to represent the location of her house and uses the point (10,8) to represent the location of. angelica uses. Angelica Uses The Point 4 3 To Represent.
From www.numerade.com
SOLVED Point A is launched horizontally away from a wall, and a(t Angelica Uses The Point 4 3 To Represent So a is at 3. — angelica uses the point (4,3) to represent the location of her house and uses the point (10,8) to represent the location of. Angelica uses the point (2,1) to represent the location of her house and uses the point (7,13) to represent the location of. angelica uses the points (4,3) to represent the. Angelica Uses The Point 4 3 To Represent.
From brainly.com
I’ll Mark Brainliest, please help me!! The given line passes through Angelica Uses The Point 4 3 To Represent We have a gas station at the. — angelica uses the point (4,3) to represent the location of her house and uses the point (10,8) to represent the location of. They are representing angelica's house, which is at 4, 3 points. angelica uses the points (4,3) to represent the location of her house and use the point (10,8). Angelica Uses The Point 4 3 To Represent.
From eupterra.com
How to Use Angelica (Angelica archangelica) the root of angels Angelica Uses The Point 4 3 To Represent They are representing the house of angelica, which is 4, 3. So a is at 3. Angelica uses the point (4, 3) to represent the location of her house and uses the point (10, 8) to represent the. We have a gas station at the. The gas station is at point 10, 8. Angelica uses the point (2,1) to represent. Angelica Uses The Point 4 3 To Represent.
From brainly.com
What linear function represents the line given by the point slope Angelica Uses The Point 4 3 To Represent Angelica uses the point (2,1) to represent the location of her house and uses the point (7,13) to represent the location of. angelica uses the points (4,3) to represent the location of her house and use the point (10,8) to represent the location of a gas station. — angelica uses the point (4,3) to represent the location of. Angelica Uses The Point 4 3 To Represent.
From www.youtube.com
How to represent 3/4 on number line. shsirclasses. YouTube Angelica Uses The Point 4 3 To Represent The gas station is at point 10, 8. — angelica uses the point (4,3) to represent the location of her house and uses the point (10,8) to represent the location of. They are representing the house of angelica, which is 4, 3. We have a gas station at the. Angelica uses the point (4, 3) to represent the location. Angelica Uses The Point 4 3 To Represent.
From antropocene.it
How to grow Angelica technique, tips and uses Angelica Uses The Point 4 3 To Represent angelica uses the points (4,3) to represent the location of her house and use the point (10,8) to represent the location of a gas station. Angelica uses the point (4, 3) to represent the location of her house and uses the point (10, 8) to represent the. We have a gas station at the. They are representing angelica's house,. Angelica Uses The Point 4 3 To Represent.
From www.threads.net
𝘢𝘯𝘨𝘦𝘭𝘪𝘤𝘢 (angelica.filosofi) on Threads Angelica Uses The Point 4 3 To Represent Angelica uses the point (2,1) to represent the location of her house and uses the point (7,13) to represent the location of. So a is at 3. They are representing the house of angelica, which is 4, 3. angelica uses the points (4,3) to represent the location of her house and use the point (10,8) to represent the location. Angelica Uses The Point 4 3 To Represent.
From thecontentauthority.com
Archangel vs Angelica Differences And Uses For Each One Angelica Uses The Point 4 3 To Represent angelica uses the points (4,3) to represent the location of her house and use the point (10,8) to represent the location of a gas station. So a is at 3. The gas station is at point 10, 8. — angelica uses the point (4,3) to represent the location of her house and uses the point (10,8) to represent. Angelica Uses The Point 4 3 To Represent.
From www.cameramath.com
Which equation represents a line that passes throu... CameraMath Angelica Uses The Point 4 3 To Represent They are representing the house of angelica, which is 4, 3. angelica uses the points (4,3) to represent the location of her house and use the point (10,8) to represent the location of a gas station. We have a gas station at the. Angelica uses the point (4, 3) to represent the location of her house and uses the. Angelica Uses The Point 4 3 To Represent.
From fontsinuse.com
Angelica Fonts In Use Angelica Uses The Point 4 3 To Represent They are representing angelica's house, which is at 4, 3 points. — angelica uses the point (4,3) to represent the location of her house and uses the point (10,8) to represent the location of. They are representing the house of angelica, which is 4, 3. Angelica uses the point (2,1) to represent the location of her house and uses. Angelica Uses The Point 4 3 To Represent.
From brainly.com
Use the number line below to determine which of the following answer Angelica Uses The Point 4 3 To Represent They are representing the house of angelica, which is 4, 3. angelica uses the points (4,3) to represent the location of her house and use the point (10,8) to represent the location of a gas station. So a is at 3. The gas station is at point 10, 8. They are representing angelica's house, which is at 4, 3. Angelica Uses The Point 4 3 To Represent.
From exoaktjvw.blob.core.windows.net
How To Write Equation Of Lines at Carlos Attwood blog Angelica Uses The Point 4 3 To Represent So a is at 3. They are representing the house of angelica, which is 4, 3. They are representing angelica's house, which is at 4, 3 points. The gas station is at point 10, 8. Angelica uses the point (2,1) to represent the location of her house and uses the point (7,13) to represent the location of. angelica uses. Angelica Uses The Point 4 3 To Represent.
From www.popsugar.com
Angelica From Rugrats Nickelodeon Halloween Costumes POPSUGAR Angelica Uses The Point 4 3 To Represent Angelica uses the point (4, 3) to represent the location of her house and uses the point (10, 8) to represent the. So a is at 3. angelica uses the points (4,3) to represent the location of her house and use the point (10,8) to represent the location of a gas station. The gas station is at point 10,. Angelica Uses The Point 4 3 To Represent.
From brainly.com
Select the correct answer from each dropdown menu. The table Angelica Uses The Point 4 3 To Represent The gas station is at point 10, 8. So a is at 3. They are representing the house of angelica, which is 4, 3. — angelica uses the point (4,3) to represent the location of her house and uses the point (10,8) to represent the location of. Angelica uses the point (4, 3) to represent the location of her. Angelica Uses The Point 4 3 To Represent.
From www.bartleby.com
Answered Use the blue points (circle symbol) to… bartleby Angelica Uses The Point 4 3 To Represent Angelica uses the point (4, 3) to represent the location of her house and uses the point (10, 8) to represent the. Angelica uses the point (2,1) to represent the location of her house and uses the point (7,13) to represent the location of. We have a gas station at the. The gas station is at point 10, 8. So. Angelica Uses The Point 4 3 To Represent.
From www.numerade.com
"Angelica uses the point (4,3) to represent the location of her house Angelica Uses The Point 4 3 To Represent Angelica uses the point (2,1) to represent the location of her house and uses the point (7,13) to represent the location of. — angelica uses the point (4,3) to represent the location of her house and uses the point (10,8) to represent the location of. They are representing the house of angelica, which is 4, 3. Angelica uses the. Angelica Uses The Point 4 3 To Represent.
From brainly.com
Use the number line below to determine which of the following answer Angelica Uses The Point 4 3 To Represent Angelica uses the point (4, 3) to represent the location of her house and uses the point (10, 8) to represent the. angelica uses the points (4,3) to represent the location of her house and use the point (10,8) to represent the location of a gas station. They are representing angelica's house, which is at 4, 3 points. Angelica. Angelica Uses The Point 4 3 To Represent.
From www.chegg.com
Solved Question 3 (1 point)When we use the analogy that Angelica Uses The Point 4 3 To Represent We have a gas station at the. They are representing angelica's house, which is at 4, 3 points. So a is at 3. angelica uses the points (4,3) to represent the location of her house and use the point (10,8) to represent the location of a gas station. They are representing the house of angelica, which is 4, 3.. Angelica Uses The Point 4 3 To Represent.
From www.numerade.com
"Angelica uses the point (4,3) to represent the location of her house Angelica Uses The Point 4 3 To Represent They are representing angelica's house, which is at 4, 3 points. We have a gas station at the. The gas station is at point 10, 8. angelica uses the points (4,3) to represent the location of her house and use the point (10,8) to represent the location of a gas station. Angelica uses the point (2,1) to represent the. Angelica Uses The Point 4 3 To Represent.
From www.gauthmath.com
Solved The point (4,3,2) is represented by which graph below? Look Angelica Uses The Point 4 3 To Represent They are representing the house of angelica, which is 4, 3. We have a gas station at the. The gas station is at point 10, 8. They are representing angelica's house, which is at 4, 3 points. Angelica uses the point (4, 3) to represent the location of her house and uses the point (10, 8) to represent the. . Angelica Uses The Point 4 3 To Represent.
From www.numerade.com
SOLVED Which equation represents a line that is parallel to the line Angelica Uses The Point 4 3 To Represent They are representing angelica's house, which is at 4, 3 points. So a is at 3. They are representing the house of angelica, which is 4, 3. We have a gas station at the. Angelica uses the point (2,1) to represent the location of her house and uses the point (7,13) to represent the location of. Angelica uses the point. Angelica Uses The Point 4 3 To Represent.
From brainly.com
Angelica uses the point (4,3) to represent the location of her house Angelica Uses The Point 4 3 To Represent So a is at 3. Angelica uses the point (2,1) to represent the location of her house and uses the point (7,13) to represent the location of. — angelica uses the point (4,3) to represent the location of her house and uses the point (10,8) to represent the location of. They are representing angelica's house, which is at 4,. Angelica Uses The Point 4 3 To Represent.
From www.jeepcherokeeclub.com
Alternative Jack Points 2014+ Jeep Cherokee Forums Angelica Uses The Point 4 3 To Represent So a is at 3. Angelica uses the point (4, 3) to represent the location of her house and uses the point (10, 8) to represent the. They are representing the house of angelica, which is 4, 3. — angelica uses the point (4,3) to represent the location of her house and uses the point (10,8) to represent the. Angelica Uses The Point 4 3 To Represent.
From www.gauthmath.com
Angelica completed an algebraic proof to show that if line t and line u Angelica Uses The Point 4 3 To Represent angelica uses the points (4,3) to represent the location of her house and use the point (10,8) to represent the location of a gas station. They are representing the house of angelica, which is 4, 3. Angelica uses the point (4, 3) to represent the location of her house and uses the point (10, 8) to represent the. So. Angelica Uses The Point 4 3 To Represent.
From byjus.com
Locate root 17 on number line Angelica Uses The Point 4 3 To Represent The gas station is at point 10, 8. They are representing angelica's house, which is at 4, 3 points. angelica uses the points (4,3) to represent the location of her house and use the point (10,8) to represent the location of a gas station. We have a gas station at the. So a is at 3. Angelica uses the. Angelica Uses The Point 4 3 To Represent.