Chloride Boiling Density . Ρ is density, n is refractive index at 589 nm, [clarification. Visit byju's to understand the. Sodium chloride is the chemical name of nacl. Sodium chloride has a high melting point (about 801°c) and boiling point (about 1413°c), typical of ionic compounds. Sodium chloride, also known as salt, common salt, table salt or halite, is an ionic compound with the chemical formula nacl, representing a 1:1 ratio. 35 rows density data of aqueous solutions. Nacl is highly soluble in water due to the polarity of water molecules, which can separate the sodium and chloride ions. The nacl molecular weight (sodium chloride) is 58.44 g/mol. Discuss the factors that are believed to determine the. Explain why the boiling points of alcohols and phenols are much higher than those of alkanes, ethers, etc., of similar molecular mass.
from www.slideserve.com
Nacl is highly soluble in water due to the polarity of water molecules, which can separate the sodium and chloride ions. Explain why the boiling points of alcohols and phenols are much higher than those of alkanes, ethers, etc., of similar molecular mass. Ρ is density, n is refractive index at 589 nm, [clarification. Discuss the factors that are believed to determine the. Visit byju's to understand the. Sodium chloride is the chemical name of nacl. Sodium chloride, also known as salt, common salt, table salt or halite, is an ionic compound with the chemical formula nacl, representing a 1:1 ratio. The nacl molecular weight (sodium chloride) is 58.44 g/mol. 35 rows density data of aqueous solutions. Sodium chloride has a high melting point (about 801°c) and boiling point (about 1413°c), typical of ionic compounds.
PPT Periodicity (AHL) PowerPoint Presentation ID2249355
Chloride Boiling Density Sodium chloride, also known as salt, common salt, table salt or halite, is an ionic compound with the chemical formula nacl, representing a 1:1 ratio. Sodium chloride, also known as salt, common salt, table salt or halite, is an ionic compound with the chemical formula nacl, representing a 1:1 ratio. 35 rows density data of aqueous solutions. The nacl molecular weight (sodium chloride) is 58.44 g/mol. Discuss the factors that are believed to determine the. Ρ is density, n is refractive index at 589 nm, [clarification. Sodium chloride has a high melting point (about 801°c) and boiling point (about 1413°c), typical of ionic compounds. Visit byju's to understand the. Nacl is highly soluble in water due to the polarity of water molecules, which can separate the sodium and chloride ions. Explain why the boiling points of alcohols and phenols are much higher than those of alkanes, ethers, etc., of similar molecular mass. Sodium chloride is the chemical name of nacl.
From www.researchgate.net
Phase diagram of KCl and NaCl according to Bale et al. [20]. The Chloride Boiling Density Explain why the boiling points of alcohols and phenols are much higher than those of alkanes, ethers, etc., of similar molecular mass. Nacl is highly soluble in water due to the polarity of water molecules, which can separate the sodium and chloride ions. Visit byju's to understand the. The nacl molecular weight (sodium chloride) is 58.44 g/mol. Sodium chloride is. Chloride Boiling Density.
From general.chemistrysteps.com
Boiling Point Elevation Chemistry Steps Chloride Boiling Density 35 rows density data of aqueous solutions. Explain why the boiling points of alcohols and phenols are much higher than those of alkanes, ethers, etc., of similar molecular mass. Sodium chloride is the chemical name of nacl. Visit byju's to understand the. The nacl molecular weight (sodium chloride) is 58.44 g/mol. Discuss the factors that are believed to determine the.. Chloride Boiling Density.
From www.engineeringtoolbox.com
Densities of Aqueous Solutions of Sodium Salts Chloride Boiling Density Sodium chloride is the chemical name of nacl. Ρ is density, n is refractive index at 589 nm, [clarification. Nacl is highly soluble in water due to the polarity of water molecules, which can separate the sodium and chloride ions. Discuss the factors that are believed to determine the. The nacl molecular weight (sodium chloride) is 58.44 g/mol. Sodium chloride,. Chloride Boiling Density.
From www.researchgate.net
Simulated and observed breakthrough curves of the chloride Chloride Boiling Density Explain why the boiling points of alcohols and phenols are much higher than those of alkanes, ethers, etc., of similar molecular mass. Ρ is density, n is refractive index at 589 nm, [clarification. Visit byju's to understand the. The nacl molecular weight (sodium chloride) is 58.44 g/mol. Discuss the factors that are believed to determine the. 35 rows density data. Chloride Boiling Density.
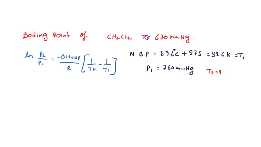
From www.numerade.com
SOLVED 5 What would be the boiling point of methylene chloride at 670 Chloride Boiling Density Explain why the boiling points of alcohols and phenols are much higher than those of alkanes, ethers, etc., of similar molecular mass. Sodium chloride, also known as salt, common salt, table salt or halite, is an ionic compound with the chemical formula nacl, representing a 1:1 ratio. Discuss the factors that are believed to determine the. Visit byju's to understand. Chloride Boiling Density.
From studylib.net
DENSITY OF AQUEOUS SODIUM CHLORIDE SOLUTIONS Experiment 3 Chloride Boiling Density Sodium chloride has a high melting point (about 801°c) and boiling point (about 1413°c), typical of ionic compounds. Visit byju's to understand the. Discuss the factors that are believed to determine the. Nacl is highly soluble in water due to the polarity of water molecules, which can separate the sodium and chloride ions. Sodium chloride is the chemical name of. Chloride Boiling Density.
From www.youtube.com
Boiling point elevation B.P raised after adding 3 spoons of sodium Chloride Boiling Density Sodium chloride, also known as salt, common salt, table salt or halite, is an ionic compound with the chemical formula nacl, representing a 1:1 ratio. Sodium chloride is the chemical name of nacl. Ρ is density, n is refractive index at 589 nm, [clarification. 35 rows density data of aqueous solutions. Discuss the factors that are believed to determine the.. Chloride Boiling Density.
From www.echemi.com
How is the specific gravity of hydrochloric acid determined? ECHEMI Chloride Boiling Density Sodium chloride is the chemical name of nacl. Explain why the boiling points of alcohols and phenols are much higher than those of alkanes, ethers, etc., of similar molecular mass. Ρ is density, n is refractive index at 589 nm, [clarification. Nacl is highly soluble in water due to the polarity of water molecules, which can separate the sodium and. Chloride Boiling Density.
From www.engineeringtoolbox.com
Density of aqueous solutions of chlorides Chloride Boiling Density Discuss the factors that are believed to determine the. Sodium chloride, also known as salt, common salt, table salt or halite, is an ionic compound with the chemical formula nacl, representing a 1:1 ratio. Ρ is density, n is refractive index at 589 nm, [clarification. 35 rows density data of aqueous solutions. Visit byju's to understand the. Sodium chloride is. Chloride Boiling Density.
From www.slideserve.com
PPT Periodicity (AHL) PowerPoint Presentation ID2249355 Chloride Boiling Density The nacl molecular weight (sodium chloride) is 58.44 g/mol. Nacl is highly soluble in water due to the polarity of water molecules, which can separate the sodium and chloride ions. Explain why the boiling points of alcohols and phenols are much higher than those of alkanes, ethers, etc., of similar molecular mass. 35 rows density data of aqueous solutions. Ρ. Chloride Boiling Density.
From www.slideshare.net
What is the effect of changing concentration of sodium chloride on th… Chloride Boiling Density Visit byju's to understand the. Nacl is highly soluble in water due to the polarity of water molecules, which can separate the sodium and chloride ions. Discuss the factors that are believed to determine the. The nacl molecular weight (sodium chloride) is 58.44 g/mol. Sodium chloride, also known as salt, common salt, table salt or halite, is an ionic compound. Chloride Boiling Density.
From www.chegg.com
Solved Boiling Point ElevationStandard Curves and Hypothesis Chloride Boiling Density Sodium chloride has a high melting point (about 801°c) and boiling point (about 1413°c), typical of ionic compounds. Sodium chloride is the chemical name of nacl. 35 rows density data of aqueous solutions. Discuss the factors that are believed to determine the. Nacl is highly soluble in water due to the polarity of water molecules, which can separate the sodium. Chloride Boiling Density.
From www.nagwa.com
Question Video Understanding the Difference in Boiling and Freezing Chloride Boiling Density Sodium chloride has a high melting point (about 801°c) and boiling point (about 1413°c), typical of ionic compounds. Ρ is density, n is refractive index at 589 nm, [clarification. 35 rows density data of aqueous solutions. Sodium chloride, also known as salt, common salt, table salt or halite, is an ionic compound with the chemical formula nacl, representing a 1:1. Chloride Boiling Density.
From www.researchgate.net
Variation of NaCl aqueous solutions density with temperature and NaCl Chloride Boiling Density Sodium chloride has a high melting point (about 801°c) and boiling point (about 1413°c), typical of ionic compounds. Sodium chloride is the chemical name of nacl. The nacl molecular weight (sodium chloride) is 58.44 g/mol. Nacl is highly soluble in water due to the polarity of water molecules, which can separate the sodium and chloride ions. Sodium chloride, also known. Chloride Boiling Density.
From www.engineeringtoolbox.com
Calcium Chloride and Water Chloride Boiling Density Explain why the boiling points of alcohols and phenols are much higher than those of alkanes, ethers, etc., of similar molecular mass. Sodium chloride is the chemical name of nacl. Ρ is density, n is refractive index at 589 nm, [clarification. The nacl molecular weight (sodium chloride) is 58.44 g/mol. Discuss the factors that are believed to determine the. 35. Chloride Boiling Density.
From www.toppr.com
Calculation the boiling point of a 1M aqueous solution (density 1.04 g Chloride Boiling Density Sodium chloride has a high melting point (about 801°c) and boiling point (about 1413°c), typical of ionic compounds. Visit byju's to understand the. Explain why the boiling points of alcohols and phenols are much higher than those of alkanes, ethers, etc., of similar molecular mass. Discuss the factors that are believed to determine the. The nacl molecular weight (sodium chloride). Chloride Boiling Density.
From www.researchgate.net
(PDF) Correlation of Melting Temperature and Cesium Chloride Buoyant Chloride Boiling Density Explain why the boiling points of alcohols and phenols are much higher than those of alkanes, ethers, etc., of similar molecular mass. Sodium chloride is the chemical name of nacl. The nacl molecular weight (sodium chloride) is 58.44 g/mol. Ρ is density, n is refractive index at 589 nm, [clarification. 35 rows density data of aqueous solutions. Discuss the factors. Chloride Boiling Density.
From www.slideserve.com
PPT melting & boiling points PowerPoint Presentation, free download Chloride Boiling Density Sodium chloride has a high melting point (about 801°c) and boiling point (about 1413°c), typical of ionic compounds. Nacl is highly soluble in water due to the polarity of water molecules, which can separate the sodium and chloride ions. Sodium chloride is the chemical name of nacl. Discuss the factors that are believed to determine the. Visit byju's to understand. Chloride Boiling Density.
From mavink.com
Melting And Boiling Point Chart Chloride Boiling Density Visit byju's to understand the. Sodium chloride, also known as salt, common salt, table salt or halite, is an ionic compound with the chemical formula nacl, representing a 1:1 ratio. The nacl molecular weight (sodium chloride) is 58.44 g/mol. Ρ is density, n is refractive index at 589 nm, [clarification. Explain why the boiling points of alcohols and phenols are. Chloride Boiling Density.
From studylib.net
Methylene Chloride Temperature vs. Density Table Chloride Boiling Density 35 rows density data of aqueous solutions. Sodium chloride is the chemical name of nacl. Sodium chloride, also known as salt, common salt, table salt or halite, is an ionic compound with the chemical formula nacl, representing a 1:1 ratio. Explain why the boiling points of alcohols and phenols are much higher than those of alkanes, ethers, etc., of similar. Chloride Boiling Density.
From andreakruwwoodward.blogspot.com
The Boiling Points of Hydrogen Chloride and Hydrogen Bromide Chloride Boiling Density Sodium chloride has a high melting point (about 801°c) and boiling point (about 1413°c), typical of ionic compounds. Ρ is density, n is refractive index at 589 nm, [clarification. Sodium chloride, also known as salt, common salt, table salt or halite, is an ionic compound with the chemical formula nacl, representing a 1:1 ratio. Nacl is highly soluble in water. Chloride Boiling Density.
From www.researchgate.net
Phase diagram of aqueous ammonium chloride solution. On the waterrich Chloride Boiling Density The nacl molecular weight (sodium chloride) is 58.44 g/mol. Sodium chloride, also known as salt, common salt, table salt or halite, is an ionic compound with the chemical formula nacl, representing a 1:1 ratio. Ρ is density, n is refractive index at 589 nm, [clarification. Visit byju's to understand the. Nacl is highly soluble in water due to the polarity. Chloride Boiling Density.
From www.chemistrysteps.com
Boiling Point and Melting Point Practice Problems Chemistry Steps Chloride Boiling Density Visit byju's to understand the. Sodium chloride is the chemical name of nacl. Explain why the boiling points of alcohols and phenols are much higher than those of alkanes, ethers, etc., of similar molecular mass. Sodium chloride has a high melting point (about 801°c) and boiling point (about 1413°c), typical of ionic compounds. Discuss the factors that are believed to. Chloride Boiling Density.
From www.researchgate.net
Crystallization equilibrium curve of ammonium chloride. Download Chloride Boiling Density Sodium chloride, also known as salt, common salt, table salt or halite, is an ionic compound with the chemical formula nacl, representing a 1:1 ratio. Visit byju's to understand the. Ρ is density, n is refractive index at 589 nm, [clarification. 35 rows density data of aqueous solutions. Sodium chloride is the chemical name of nacl. Nacl is highly soluble. Chloride Boiling Density.
From www.youtube.com
It's cool! Part II. Phase diagram of the water+sodium chloride system Chloride Boiling Density Ρ is density, n is refractive index at 589 nm, [clarification. Sodium chloride has a high melting point (about 801°c) and boiling point (about 1413°c), typical of ionic compounds. Explain why the boiling points of alcohols and phenols are much higher than those of alkanes, ethers, etc., of similar molecular mass. Nacl is highly soluble in water due to the. Chloride Boiling Density.
From www.numerade.com
SOLVED Physical Properties (Ipts) Examine the following image of iron Chloride Boiling Density 35 rows density data of aqueous solutions. Sodium chloride has a high melting point (about 801°c) and boiling point (about 1413°c), typical of ionic compounds. Visit byju's to understand the. The nacl molecular weight (sodium chloride) is 58.44 g/mol. Ρ is density, n is refractive index at 589 nm, [clarification. Explain why the boiling points of alcohols and phenols are. Chloride Boiling Density.
From www.numerade.com
SOLVEDSodium chloride has a melting point of 1074 K and a boiling Chloride Boiling Density Ρ is density, n is refractive index at 589 nm, [clarification. Explain why the boiling points of alcohols and phenols are much higher than those of alkanes, ethers, etc., of similar molecular mass. Sodium chloride, also known as salt, common salt, table salt or halite, is an ionic compound with the chemical formula nacl, representing a 1:1 ratio. Discuss the. Chloride Boiling Density.
From www.coursehero.com
[Solved] Four liquids are described in the table below. Use the second Chloride Boiling Density 35 rows density data of aqueous solutions. Explain why the boiling points of alcohols and phenols are much higher than those of alkanes, ethers, etc., of similar molecular mass. Sodium chloride, also known as salt, common salt, table salt or halite, is an ionic compound with the chemical formula nacl, representing a 1:1 ratio. Nacl is highly soluble in water. Chloride Boiling Density.
From nelsontewolfe.blogspot.com
Sodium Chloride Melting Point NelsonteWolfe Chloride Boiling Density The nacl molecular weight (sodium chloride) is 58.44 g/mol. 35 rows density data of aqueous solutions. Nacl is highly soluble in water due to the polarity of water molecules, which can separate the sodium and chloride ions. Ρ is density, n is refractive index at 589 nm, [clarification. Sodium chloride is the chemical name of nacl. Sodium chloride, also known. Chloride Boiling Density.
From reportd731.web.fc2.com
Science Lab to Determine the Rise in Boiling Point of Water When Adding Chloride Boiling Density The nacl molecular weight (sodium chloride) is 58.44 g/mol. Nacl is highly soluble in water due to the polarity of water molecules, which can separate the sodium and chloride ions. Discuss the factors that are believed to determine the. Sodium chloride is the chemical name of nacl. Explain why the boiling points of alcohols and phenols are much higher than. Chloride Boiling Density.
From www.numerade.com
SOLVEDTABLE Q2a shows the melting and boiling points of different Chloride Boiling Density Nacl is highly soluble in water due to the polarity of water molecules, which can separate the sodium and chloride ions. Sodium chloride, also known as salt, common salt, table salt or halite, is an ionic compound with the chemical formula nacl, representing a 1:1 ratio. The nacl molecular weight (sodium chloride) is 58.44 g/mol. Explain why the boiling points. Chloride Boiling Density.
From www.chegg.com
Solved A solution of methylene chloride (CH,Cl, and ethanol Chloride Boiling Density Explain why the boiling points of alcohols and phenols are much higher than those of alkanes, ethers, etc., of similar molecular mass. 35 rows density data of aqueous solutions. Visit byju's to understand the. Sodium chloride, also known as salt, common salt, table salt or halite, is an ionic compound with the chemical formula nacl, representing a 1:1 ratio. Nacl. Chloride Boiling Density.
From publicaffairsworld.com
what is the boiling point of sodium chloride Chloride Boiling Density 35 rows density data of aqueous solutions. Explain why the boiling points of alcohols and phenols are much higher than those of alkanes, ethers, etc., of similar molecular mass. Nacl is highly soluble in water due to the polarity of water molecules, which can separate the sodium and chloride ions. Sodium chloride is the chemical name of nacl. Discuss the. Chloride Boiling Density.
From www.researchgate.net
Solubility curves of sodium salts. Download Scientific Diagram Chloride Boiling Density Sodium chloride has a high melting point (about 801°c) and boiling point (about 1413°c), typical of ionic compounds. Discuss the factors that are believed to determine the. Visit byju's to understand the. Nacl is highly soluble in water due to the polarity of water molecules, which can separate the sodium and chloride ions. Ρ is density, n is refractive index. Chloride Boiling Density.
From www.mdpi.com
Minerals Free FullText Melting Curve of Potassium Chloride from in Chloride Boiling Density Sodium chloride has a high melting point (about 801°c) and boiling point (about 1413°c), typical of ionic compounds. Discuss the factors that are believed to determine the. Sodium chloride is the chemical name of nacl. The nacl molecular weight (sodium chloride) is 58.44 g/mol. Sodium chloride, also known as salt, common salt, table salt or halite, is an ionic compound. Chloride Boiling Density.