Holdover Cases Nyc . In new york, tenants have certain rights and protections in holdover cases, which are situations where a tenant continues to. A holdover case is brought to evict a tenant or a person in the apartment who is not a tenant for reasons other than simple. The guide provides answers to questions tenants might have in holdover eviction cases. It covers topics such as how to respond. A roommate holdover case is brought to make a roommate leave the apartment or house that you share. Starting a licensee holdover case in nyc as a tenant. The outcome of a landlord/tenant case is either a judgment, dismissal or discontinuance. A licensee (s) is a person (s) who has permission to occupy a dwelling, house, room,. A holdover case is brought by the landlord for reasons other than unpaid rent, to evict a tenant.
from rentalawareness.com
A roommate holdover case is brought to make a roommate leave the apartment or house that you share. The outcome of a landlord/tenant case is either a judgment, dismissal or discontinuance. It covers topics such as how to respond. The guide provides answers to questions tenants might have in holdover eviction cases. A holdover case is brought by the landlord for reasons other than unpaid rent, to evict a tenant. A holdover case is brought to evict a tenant or a person in the apartment who is not a tenant for reasons other than simple. In new york, tenants have certain rights and protections in holdover cases, which are situations where a tenant continues to. Starting a licensee holdover case in nyc as a tenant. A licensee (s) is a person (s) who has permission to occupy a dwelling, house, room,.
Can a Tenant Win a Holdover Case? Expert Tips Unveiled!
Holdover Cases Nyc A holdover case is brought to evict a tenant or a person in the apartment who is not a tenant for reasons other than simple. It covers topics such as how to respond. In new york, tenants have certain rights and protections in holdover cases, which are situations where a tenant continues to. A holdover case is brought to evict a tenant or a person in the apartment who is not a tenant for reasons other than simple. The guide provides answers to questions tenants might have in holdover eviction cases. A licensee (s) is a person (s) who has permission to occupy a dwelling, house, room,. A roommate holdover case is brought to make a roommate leave the apartment or house that you share. A holdover case is brought by the landlord for reasons other than unpaid rent, to evict a tenant. The outcome of a landlord/tenant case is either a judgment, dismissal or discontinuance. Starting a licensee holdover case in nyc as a tenant.
From www.blumberg.com
Blumberg New York Summary Proceedings Forms for Civil Court, Holdover Holdover Cases Nyc A licensee (s) is a person (s) who has permission to occupy a dwelling, house, room,. A holdover case is brought to evict a tenant or a person in the apartment who is not a tenant for reasons other than simple. The outcome of a landlord/tenant case is either a judgment, dismissal or discontinuance. Starting a licensee holdover case in. Holdover Cases Nyc.
From www.uslegalforms.com
Eviction Forms Packet For Holdover Summary Proceedings For Courts Holdover Cases Nyc A holdover case is brought by the landlord for reasons other than unpaid rent, to evict a tenant. In new york, tenants have certain rights and protections in holdover cases, which are situations where a tenant continues to. The guide provides answers to questions tenants might have in holdover eviction cases. The outcome of a landlord/tenant case is either a. Holdover Cases Nyc.
From rentguidehub.com
Can A Tenant Win A Holdover Case? Holdover Cases Nyc In new york, tenants have certain rights and protections in holdover cases, which are situations where a tenant continues to. It covers topics such as how to respond. A licensee (s) is a person (s) who has permission to occupy a dwelling, house, room,. A holdover case is brought to evict a tenant or a person in the apartment who. Holdover Cases Nyc.
From www.uslegalforms.com
Nyc Holdover Petition Form Form US Legal Forms Holdover Cases Nyc In new york, tenants have certain rights and protections in holdover cases, which are situations where a tenant continues to. The guide provides answers to questions tenants might have in holdover eviction cases. Starting a licensee holdover case in nyc as a tenant. A holdover case is brought to evict a tenant or a person in the apartment who is. Holdover Cases Nyc.
From www.uslegalforms.com
Holdover Tenant Nyc Withholding US Legal Forms Holdover Cases Nyc The guide provides answers to questions tenants might have in holdover eviction cases. In new york, tenants have certain rights and protections in holdover cases, which are situations where a tenant continues to. Starting a licensee holdover case in nyc as a tenant. The outcome of a landlord/tenant case is either a judgment, dismissal or discontinuance. A roommate holdover case. Holdover Cases Nyc.
From www.uslegalforms.com
Eviction Forms Packet For Holdover Summary Proceedings For Courts Holdover Cases Nyc It covers topics such as how to respond. A holdover case is brought by the landlord for reasons other than unpaid rent, to evict a tenant. The outcome of a landlord/tenant case is either a judgment, dismissal or discontinuance. A licensee (s) is a person (s) who has permission to occupy a dwelling, house, room,. In new york, tenants have. Holdover Cases Nyc.
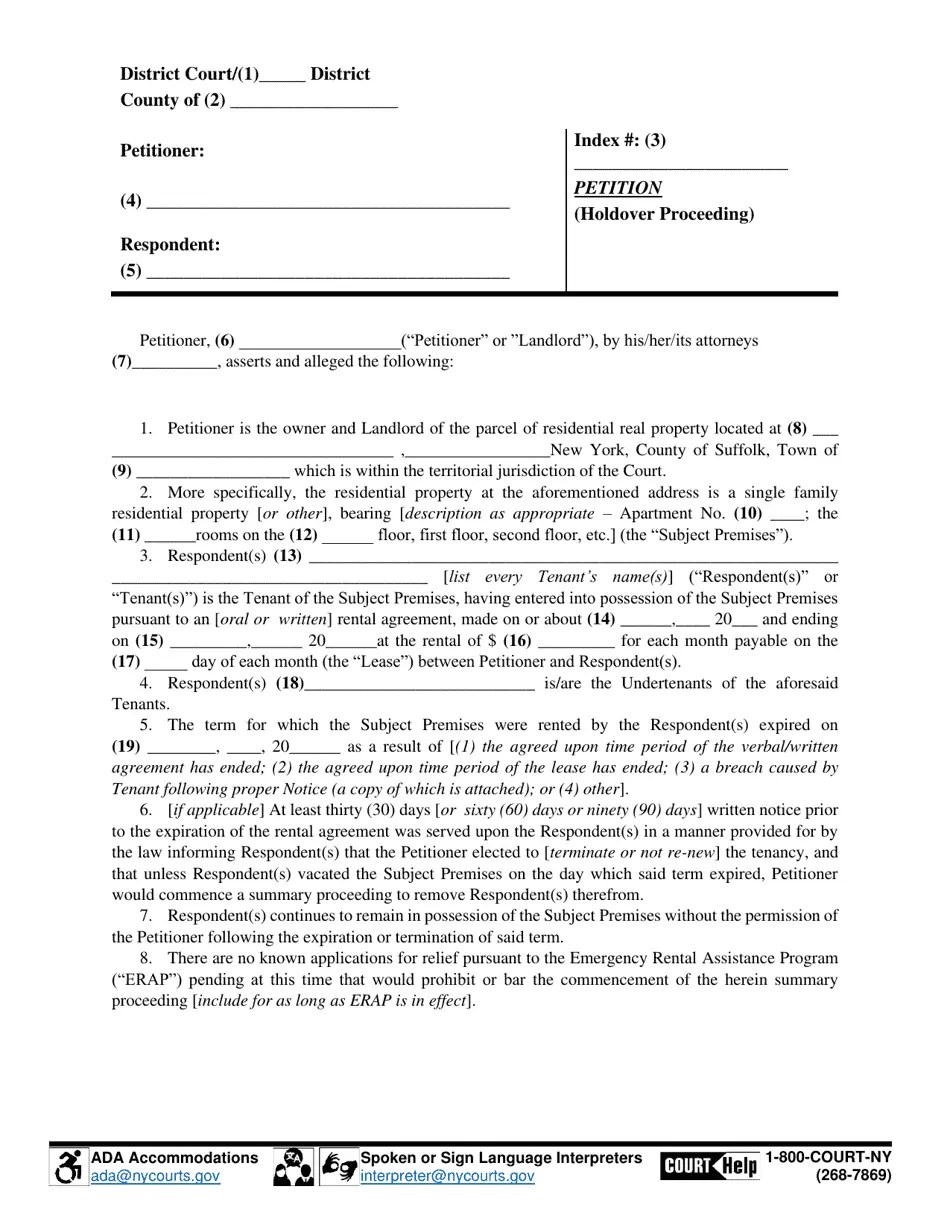
From www.templateroller.com
Suffolk County, New York Notice of Petition (Holdover Proceeding Holdover Cases Nyc A holdover case is brought by the landlord for reasons other than unpaid rent, to evict a tenant. A licensee (s) is a person (s) who has permission to occupy a dwelling, house, room,. The outcome of a landlord/tenant case is either a judgment, dismissal or discontinuance. It covers topics such as how to respond. The guide provides answers to. Holdover Cases Nyc.
From www.pdffiller.com
Fillable Online Notice Of Petition Holdover Form Nyc. Notice Of Holdover Cases Nyc The guide provides answers to questions tenants might have in holdover eviction cases. The outcome of a landlord/tenant case is either a judgment, dismissal or discontinuance. In new york, tenants have certain rights and protections in holdover cases, which are situations where a tenant continues to. A licensee (s) is a person (s) who has permission to occupy a dwelling,. Holdover Cases Nyc.
From www.uslegalforms.com
Eviction Forms Packet For Holdover Summary Proceedings For Courts Holdover Cases Nyc The guide provides answers to questions tenants might have in holdover eviction cases. A roommate holdover case is brought to make a roommate leave the apartment or house that you share. The outcome of a landlord/tenant case is either a judgment, dismissal or discontinuance. It covers topics such as how to respond. A licensee (s) is a person (s) who. Holdover Cases Nyc.
From www.pricelawfirmnyc.com
5 Helpful Lessons from NY Holdover Proceedings — The Price Law Firm NYC Holdover Cases Nyc The outcome of a landlord/tenant case is either a judgment, dismissal or discontinuance. A licensee (s) is a person (s) who has permission to occupy a dwelling, house, room,. It covers topics such as how to respond. Starting a licensee holdover case in nyc as a tenant. A roommate holdover case is brought to make a roommate leave the apartment. Holdover Cases Nyc.
From www.blumberg.com
Blumberg New York Summary Proceedings Forms for Civil Court, Holdover Holdover Cases Nyc The outcome of a landlord/tenant case is either a judgment, dismissal or discontinuance. In new york, tenants have certain rights and protections in holdover cases, which are situations where a tenant continues to. Starting a licensee holdover case in nyc as a tenant. A holdover case is brought to evict a tenant or a person in the apartment who is. Holdover Cases Nyc.
From rentalawareness.com
Can a Tenant Win a Holdover Case? Expert Tips Unveiled! Holdover Cases Nyc In new york, tenants have certain rights and protections in holdover cases, which are situations where a tenant continues to. A licensee (s) is a person (s) who has permission to occupy a dwelling, house, room,. It covers topics such as how to respond. The guide provides answers to questions tenants might have in holdover eviction cases. A holdover case. Holdover Cases Nyc.
From www.uslegalforms.com
Holdover Tenant Nyc For Petition US Legal Forms Holdover Cases Nyc A holdover case is brought by the landlord for reasons other than unpaid rent, to evict a tenant. The outcome of a landlord/tenant case is either a judgment, dismissal or discontinuance. Starting a licensee holdover case in nyc as a tenant. It covers topics such as how to respond. In new york, tenants have certain rights and protections in holdover. Holdover Cases Nyc.
From www.uslegalforms.com
Holdover Tenant Nyc With A View US Legal Forms Holdover Cases Nyc In new york, tenants have certain rights and protections in holdover cases, which are situations where a tenant continues to. The guide provides answers to questions tenants might have in holdover eviction cases. Starting a licensee holdover case in nyc as a tenant. A holdover case is brought by the landlord for reasons other than unpaid rent, to evict a. Holdover Cases Nyc.
From www.uslegalforms.com
Holdover Tenant Nyc For Petition US Legal Forms Holdover Cases Nyc A holdover case is brought by the landlord for reasons other than unpaid rent, to evict a tenant. Starting a licensee holdover case in nyc as a tenant. A roommate holdover case is brought to make a roommate leave the apartment or house that you share. A licensee (s) is a person (s) who has permission to occupy a dwelling,. Holdover Cases Nyc.
From www.blumberg.com
Blumberg New York Summary Proceedings Forms for Civil Court, Holdover Holdover Cases Nyc Starting a licensee holdover case in nyc as a tenant. A holdover case is brought to evict a tenant or a person in the apartment who is not a tenant for reasons other than simple. A roommate holdover case is brought to make a roommate leave the apartment or house that you share. A licensee (s) is a person (s). Holdover Cases Nyc.
From www.uslegalforms.com
Nyc Holdover Petition Form For Parents US Legal Forms Holdover Cases Nyc A holdover case is brought by the landlord for reasons other than unpaid rent, to evict a tenant. Starting a licensee holdover case in nyc as a tenant. In new york, tenants have certain rights and protections in holdover cases, which are situations where a tenant continues to. It covers topics such as how to respond. The guide provides answers. Holdover Cases Nyc.
From www.templateroller.com
New York City Notice of Holdover Petition Fill Out, Sign Online and Holdover Cases Nyc The guide provides answers to questions tenants might have in holdover eviction cases. A licensee (s) is a person (s) who has permission to occupy a dwelling, house, room,. A holdover case is brought by the landlord for reasons other than unpaid rent, to evict a tenant. A holdover case is brought to evict a tenant or a person in. Holdover Cases Nyc.
From www.blumberg.com
New York NonPayment of Rent Holdover Forms Holdover Cases Nyc In new york, tenants have certain rights and protections in holdover cases, which are situations where a tenant continues to. The guide provides answers to questions tenants might have in holdover eviction cases. A roommate holdover case is brought to make a roommate leave the apartment or house that you share. A licensee (s) is a person (s) who has. Holdover Cases Nyc.
From www.templateroller.com
New York City Notice of Holdover Petition Fill Out, Sign Online and Holdover Cases Nyc A holdover case is brought to evict a tenant or a person in the apartment who is not a tenant for reasons other than simple. The outcome of a landlord/tenant case is either a judgment, dismissal or discontinuance. Starting a licensee holdover case in nyc as a tenant. It covers topics such as how to respond. A roommate holdover case. Holdover Cases Nyc.
From www.youtube.com
Holdover Cases in Housing Court YouTube Holdover Cases Nyc It covers topics such as how to respond. Starting a licensee holdover case in nyc as a tenant. A holdover case is brought by the landlord for reasons other than unpaid rent, to evict a tenant. A roommate holdover case is brought to make a roommate leave the apartment or house that you share. A holdover case is brought to. Holdover Cases Nyc.
From www.uslegalforms.com
Eviction Forms Packet For Holdover Summary Proceedings For Courts Holdover Cases Nyc In new york, tenants have certain rights and protections in holdover cases, which are situations where a tenant continues to. Starting a licensee holdover case in nyc as a tenant. A licensee (s) is a person (s) who has permission to occupy a dwelling, house, room,. The outcome of a landlord/tenant case is either a judgment, dismissal or discontinuance. A. Holdover Cases Nyc.
From www.metro-manhattan.com
Unlocking NYC Commercial Lease Secrets The Holdover Clause Holdover Cases Nyc A licensee (s) is a person (s) who has permission to occupy a dwelling, house, room,. Starting a licensee holdover case in nyc as a tenant. In new york, tenants have certain rights and protections in holdover cases, which are situations where a tenant continues to. It covers topics such as how to respond. A roommate holdover case is brought. Holdover Cases Nyc.
From www.uslegalforms.com
Nyc Holdover Petition Form Form US Legal Forms Holdover Cases Nyc A roommate holdover case is brought to make a roommate leave the apartment or house that you share. It covers topics such as how to respond. The outcome of a landlord/tenant case is either a judgment, dismissal or discontinuance. A holdover case is brought by the landlord for reasons other than unpaid rent, to evict a tenant. A holdover case. Holdover Cases Nyc.
From www.uslegalforms.com
Holdover Tenant Nyc With A View US Legal Forms Holdover Cases Nyc The guide provides answers to questions tenants might have in holdover eviction cases. A licensee (s) is a person (s) who has permission to occupy a dwelling, house, room,. A roommate holdover case is brought to make a roommate leave the apartment or house that you share. In new york, tenants have certain rights and protections in holdover cases, which. Holdover Cases Nyc.
From firstclassprocess.com
How to start a Holdover case in Brooklyn Archives First Class Process Holdover Cases Nyc It covers topics such as how to respond. The outcome of a landlord/tenant case is either a judgment, dismissal or discontinuance. A roommate holdover case is brought to make a roommate leave the apartment or house that you share. A holdover case is brought by the landlord for reasons other than unpaid rent, to evict a tenant. Starting a licensee. Holdover Cases Nyc.
From abcnews.go.com
COVID19 cases plateau in New York City, indicating latest surge may be Holdover Cases Nyc A licensee (s) is a person (s) who has permission to occupy a dwelling, house, room,. It covers topics such as how to respond. In new york, tenants have certain rights and protections in holdover cases, which are situations where a tenant continues to. A holdover case is brought by the landlord for reasons other than unpaid rent, to evict. Holdover Cases Nyc.
From www.bloomberg.com
New York City Covid19 Cases Finally Recede After Long Plateau Bloomberg Holdover Cases Nyc A holdover case is brought by the landlord for reasons other than unpaid rent, to evict a tenant. Starting a licensee holdover case in nyc as a tenant. A licensee (s) is a person (s) who has permission to occupy a dwelling, house, room,. In new york, tenants have certain rights and protections in holdover cases, which are situations where. Holdover Cases Nyc.
From evanrogerslaw.com
Court is Open for Nonpayment and Holdover Eviction Cases Holdover Cases Nyc A roommate holdover case is brought to make a roommate leave the apartment or house that you share. It covers topics such as how to respond. In new york, tenants have certain rights and protections in holdover cases, which are situations where a tenant continues to. A holdover case is brought to evict a tenant or a person in the. Holdover Cases Nyc.
From www.blumberg.com
New York NonPayment of Rent Holdover Forms Holdover Cases Nyc A roommate holdover case is brought to make a roommate leave the apartment or house that you share. It covers topics such as how to respond. The guide provides answers to questions tenants might have in holdover eviction cases. Starting a licensee holdover case in nyc as a tenant. In new york, tenants have certain rights and protections in holdover. Holdover Cases Nyc.
From www.templateroller.com
Suffolk County, New York Petition (Holdover Proceeding) Fill Out Holdover Cases Nyc The guide provides answers to questions tenants might have in holdover eviction cases. A licensee (s) is a person (s) who has permission to occupy a dwelling, house, room,. It covers topics such as how to respond. Starting a licensee holdover case in nyc as a tenant. The outcome of a landlord/tenant case is either a judgment, dismissal or discontinuance.. Holdover Cases Nyc.
From www.youtube.com
Types of Holdover Cases YouTube Holdover Cases Nyc A roommate holdover case is brought to make a roommate leave the apartment or house that you share. The guide provides answers to questions tenants might have in holdover eviction cases. It covers topics such as how to respond. The outcome of a landlord/tenant case is either a judgment, dismissal or discontinuance. A holdover case is brought by the landlord. Holdover Cases Nyc.
From www.youtube.com
Defenses in a Holdover Case YouTube Holdover Cases Nyc A licensee (s) is a person (s) who has permission to occupy a dwelling, house, room,. In new york, tenants have certain rights and protections in holdover cases, which are situations where a tenant continues to. A holdover case is brought by the landlord for reasons other than unpaid rent, to evict a tenant. The outcome of a landlord/tenant case. Holdover Cases Nyc.
From www.pdffiller.com
Notice Petition Holdover Fill Online, Printable, Fillable, Blank Holdover Cases Nyc A holdover case is brought to evict a tenant or a person in the apartment who is not a tenant for reasons other than simple. A roommate holdover case is brought to make a roommate leave the apartment or house that you share. The outcome of a landlord/tenant case is either a judgment, dismissal or discontinuance. A holdover case is. Holdover Cases Nyc.
From www.uslegalforms.com
Nyc Holdover Petition Form For Parents US Legal Forms Holdover Cases Nyc In new york, tenants have certain rights and protections in holdover cases, which are situations where a tenant continues to. The guide provides answers to questions tenants might have in holdover eviction cases. A holdover case is brought by the landlord for reasons other than unpaid rent, to evict a tenant. A licensee (s) is a person (s) who has. Holdover Cases Nyc.