In An Oscillating Lc Circuit The Maximum Current . The inductor is a coil of wire that stores. Let c be the capacitance of the capacitor. To find the maximum current, the maximum energy in the capacitor is set equal. The maximum charge on the capacitor is q. The problem involves finding the maximum current in an lc circuit given the values of the inductance (l), the capacitance (c), and the maximum charge. L be the inductance of the inductor. The angular frequency of the lc circuit is given by equation \ref{14.41}. Step by step video & image solution for in an oscillating lc circuit the maximum current on the inductor is i. 31.20 in an oscillating lc circuit in which c = 4.00 µf, the maximum potential difference across the capacitor during the oscillations is 1.50 v and the. The current in the inductor when the energy is. In an oscillating $$lc$$ circuit in which $$c=4.00 mf$$, the maximum potential difference across the capacitor during the oscillations is $$1.50v$$ and. An lc circuit, also known as a resonant or tank circuit, is an electrical circuit that consists of two key components: An inductor (l) and a capacitor (c).
from www.slideserve.com
31.20 in an oscillating lc circuit in which c = 4.00 µf, the maximum potential difference across the capacitor during the oscillations is 1.50 v and the. To find the maximum current, the maximum energy in the capacitor is set equal. The inductor is a coil of wire that stores. An lc circuit, also known as a resonant or tank circuit, is an electrical circuit that consists of two key components: L be the inductance of the inductor. Let c be the capacitance of the capacitor. Step by step video & image solution for in an oscillating lc circuit the maximum current on the inductor is i. The current in the inductor when the energy is. The angular frequency of the lc circuit is given by equation \ref{14.41}. In an oscillating $$lc$$ circuit in which $$c=4.00 mf$$, the maximum potential difference across the capacitor during the oscillations is $$1.50v$$ and.
PPT Alternating Current (AC) PowerPoint Presentation, free download
In An Oscillating Lc Circuit The Maximum Current L be the inductance of the inductor. The angular frequency of the lc circuit is given by equation \ref{14.41}. 31.20 in an oscillating lc circuit in which c = 4.00 µf, the maximum potential difference across the capacitor during the oscillations is 1.50 v and the. The inductor is a coil of wire that stores. An lc circuit, also known as a resonant or tank circuit, is an electrical circuit that consists of two key components: An inductor (l) and a capacitor (c). The problem involves finding the maximum current in an lc circuit given the values of the inductance (l), the capacitance (c), and the maximum charge. The current in the inductor when the energy is. In an oscillating $$lc$$ circuit in which $$c=4.00 mf$$, the maximum potential difference across the capacitor during the oscillations is $$1.50v$$ and. To find the maximum current, the maximum energy in the capacitor is set equal. The maximum charge on the capacitor is q. L be the inductance of the inductor. Let c be the capacitance of the capacitor. Step by step video & image solution for in an oscillating lc circuit the maximum current on the inductor is i.
From www.toppr.com
In an oscillating LC circuit maximum charge on the capacitor is Q. the In An Oscillating Lc Circuit The Maximum Current To find the maximum current, the maximum energy in the capacitor is set equal. The problem involves finding the maximum current in an lc circuit given the values of the inductance (l), the capacitance (c), and the maximum charge. The inductor is a coil of wire that stores. L be the inductance of the inductor. 31.20 in an oscillating lc. In An Oscillating Lc Circuit The Maximum Current.
From byjus.com
In oscillating LC circuit the total energy is U and maximum charge upon In An Oscillating Lc Circuit The Maximum Current In an oscillating $$lc$$ circuit in which $$c=4.00 mf$$, the maximum potential difference across the capacitor during the oscillations is $$1.50v$$ and. An inductor (l) and a capacitor (c). L be the inductance of the inductor. The problem involves finding the maximum current in an lc circuit given the values of the inductance (l), the capacitance (c), and the maximum. In An Oscillating Lc Circuit The Maximum Current.
From kunduz.com
[ANSWERED] m In an oscillating LC circuit the maximum current is I The In An Oscillating Lc Circuit The Maximum Current The inductor is a coil of wire that stores. The current in the inductor when the energy is. An lc circuit, also known as a resonant or tank circuit, is an electrical circuit that consists of two key components: L be the inductance of the inductor. The problem involves finding the maximum current in an lc circuit given the values. In An Oscillating Lc Circuit The Maximum Current.
From www.toppr.com
In an oscillating L C circuit in which C = 4.00mu F , the maximum In An Oscillating Lc Circuit The Maximum Current The current in the inductor when the energy is. The maximum charge on the capacitor is q. The problem involves finding the maximum current in an lc circuit given the values of the inductance (l), the capacitance (c), and the maximum charge. Step by step video & image solution for in an oscillating lc circuit the maximum current on the. In An Oscillating Lc Circuit The Maximum Current.
From edurev.in
In an oscillating LC circuit the maximum charge on the capacitor is Q In An Oscillating Lc Circuit The Maximum Current L be the inductance of the inductor. Let c be the capacitance of the capacitor. The inductor is a coil of wire that stores. An inductor (l) and a capacitor (c). Step by step video & image solution for in an oscillating lc circuit the maximum current on the inductor is i. An lc circuit, also known as a resonant. In An Oscillating Lc Circuit The Maximum Current.
From www.toppr.com
In an oscillating LC circuit, the total stores energy is U and the In An Oscillating Lc Circuit The Maximum Current The inductor is a coil of wire that stores. In an oscillating $$lc$$ circuit in which $$c=4.00 mf$$, the maximum potential difference across the capacitor during the oscillations is $$1.50v$$ and. The problem involves finding the maximum current in an lc circuit given the values of the inductance (l), the capacitance (c), and the maximum charge. Step by step video. In An Oscillating Lc Circuit The Maximum Current.
From askfilo.com
In oscillating LC circuit, the total stored energy is U and maximum charg.. In An Oscillating Lc Circuit The Maximum Current The angular frequency of the lc circuit is given by equation \ref{14.41}. An lc circuit, also known as a resonant or tank circuit, is an electrical circuit that consists of two key components: The maximum charge on the capacitor is q. In an oscillating $$lc$$ circuit in which $$c=4.00 mf$$, the maximum potential difference across the capacitor during the oscillations. In An Oscillating Lc Circuit The Maximum Current.
From www.slideserve.com
PPT Current in an LC Circuit PowerPoint Presentation, free download In An Oscillating Lc Circuit The Maximum Current The angular frequency of the lc circuit is given by equation \ref{14.41}. L be the inductance of the inductor. Let c be the capacitance of the capacitor. The current in the inductor when the energy is. An inductor (l) and a capacitor (c). An lc circuit, also known as a resonant or tank circuit, is an electrical circuit that consists. In An Oscillating Lc Circuit The Maximum Current.
From www.toppr.com
In an oscillating LC circuit maximum charge on the capacitor is Q. the In An Oscillating Lc Circuit The Maximum Current To find the maximum current, the maximum energy in the capacitor is set equal. Step by step video & image solution for in an oscillating lc circuit the maximum current on the inductor is i. 31.20 in an oscillating lc circuit in which c = 4.00 µf, the maximum potential difference across the capacitor during the oscillations is 1.50 v. In An Oscillating Lc Circuit The Maximum Current.
From www.toppr.com
In an oscillating LC circuit the maximum charge on the capacitor is Q In An Oscillating Lc Circuit The Maximum Current In an oscillating $$lc$$ circuit in which $$c=4.00 mf$$, the maximum potential difference across the capacitor during the oscillations is $$1.50v$$ and. Step by step video & image solution for in an oscillating lc circuit the maximum current on the inductor is i. The angular frequency of the lc circuit is given by equation \ref{14.41}. The problem involves finding the. In An Oscillating Lc Circuit The Maximum Current.
From www.numerade.com
SOLVED Figure 3119 shows three oscillating LC circuits with identical In An Oscillating Lc Circuit The Maximum Current In an oscillating $$lc$$ circuit in which $$c=4.00 mf$$, the maximum potential difference across the capacitor during the oscillations is $$1.50v$$ and. Step by step video & image solution for in an oscillating lc circuit the maximum current on the inductor is i. An inductor (l) and a capacitor (c). 31.20 in an oscillating lc circuit in which c =. In An Oscillating Lc Circuit The Maximum Current.
From www.chegg.com
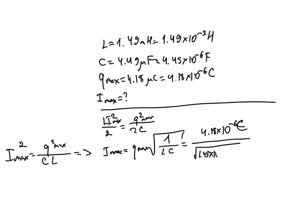
Solved In an oscillating LC circuit in which C=3.9μF, the In An Oscillating Lc Circuit The Maximum Current To find the maximum current, the maximum energy in the capacitor is set equal. The maximum charge on the capacitor is q. In an oscillating $$lc$$ circuit in which $$c=4.00 mf$$, the maximum potential difference across the capacitor during the oscillations is $$1.50v$$ and. Let c be the capacitance of the capacitor. The inductor is a coil of wire that. In An Oscillating Lc Circuit The Maximum Current.
From www.toppr.com
In an oscillating LC circuit the maximum charge on the capacitor is Q In An Oscillating Lc Circuit The Maximum Current The inductor is a coil of wire that stores. The angular frequency of the lc circuit is given by equation \ref{14.41}. In an oscillating $$lc$$ circuit in which $$c=4.00 mf$$, the maximum potential difference across the capacitor during the oscillations is $$1.50v$$ and. The problem involves finding the maximum current in an lc circuit given the values of the inductance. In An Oscillating Lc Circuit The Maximum Current.
From www.toppr.com
7. In an oscillating LC circuit the maximum charge on the capacitor is In An Oscillating Lc Circuit The Maximum Current Let c be the capacitance of the capacitor. 31.20 in an oscillating lc circuit in which c = 4.00 µf, the maximum potential difference across the capacitor during the oscillations is 1.50 v and the. L be the inductance of the inductor. The current in the inductor when the energy is. The problem involves finding the maximum current in an. In An Oscillating Lc Circuit The Maximum Current.
From www.slideserve.com
PPT Alternating Current (AC) PowerPoint Presentation, free download In An Oscillating Lc Circuit The Maximum Current In an oscillating $$lc$$ circuit in which $$c=4.00 mf$$, the maximum potential difference across the capacitor during the oscillations is $$1.50v$$ and. Let c be the capacitance of the capacitor. To find the maximum current, the maximum energy in the capacitor is set equal. The inductor is a coil of wire that stores. Step by step video & image solution. In An Oscillating Lc Circuit The Maximum Current.
From www.toppr.com
In an oscillating LC circuit maximum charge on the capacitor is Q. the In An Oscillating Lc Circuit The Maximum Current An lc circuit, also known as a resonant or tank circuit, is an electrical circuit that consists of two key components: The maximum charge on the capacitor is q. An inductor (l) and a capacitor (c). Step by step video & image solution for in an oscillating lc circuit the maximum current on the inductor is i. L be the. In An Oscillating Lc Circuit The Maximum Current.
From kunduz.com
[ANSWERED] In an oscillating LC circuit maximum current in inductor is In An Oscillating Lc Circuit The Maximum Current Step by step video & image solution for in an oscillating lc circuit the maximum current on the inductor is i. The maximum charge on the capacitor is q. 31.20 in an oscillating lc circuit in which c = 4.00 µf, the maximum potential difference across the capacitor during the oscillations is 1.50 v and the. Let c be the. In An Oscillating Lc Circuit The Maximum Current.
From www.youtube.com
LC Oscillating Circuit An Explanation YouTube In An Oscillating Lc Circuit The Maximum Current The inductor is a coil of wire that stores. 31.20 in an oscillating lc circuit in which c = 4.00 µf, the maximum potential difference across the capacitor during the oscillations is 1.50 v and the. An inductor (l) and a capacitor (c). L be the inductance of the inductor. The problem involves finding the maximum current in an lc. In An Oscillating Lc Circuit The Maximum Current.
From www.slideserve.com
PPT Faraday’s Law PowerPoint Presentation, free download ID1536134 In An Oscillating Lc Circuit The Maximum Current In an oscillating $$lc$$ circuit in which $$c=4.00 mf$$, the maximum potential difference across the capacitor during the oscillations is $$1.50v$$ and. L be the inductance of the inductor. An inductor (l) and a capacitor (c). The current in the inductor when the energy is. To find the maximum current, the maximum energy in the capacitor is set equal. Let. In An Oscillating Lc Circuit The Maximum Current.
From www.slideserve.com
PPT Physics 121 Practice Problem Solutions 13 In An Oscillating Lc Circuit The Maximum Current The maximum charge on the capacitor is q. The problem involves finding the maximum current in an lc circuit given the values of the inductance (l), the capacitance (c), and the maximum charge. Step by step video & image solution for in an oscillating lc circuit the maximum current on the inductor is i. 31.20 in an oscillating lc circuit. In An Oscillating Lc Circuit The Maximum Current.
From www.chegg.com
Solved An oscillating LC circuit has a resonant frequency of In An Oscillating Lc Circuit The Maximum Current Step by step video & image solution for in an oscillating lc circuit the maximum current on the inductor is i. The angular frequency of the lc circuit is given by equation \ref{14.41}. The maximum charge on the capacitor is q. To find the maximum current, the maximum energy in the capacitor is set equal. An lc circuit, also known. In An Oscillating Lc Circuit The Maximum Current.
From www.bartleby.com
Answered Problem 8 An oscillating LC circuit… bartleby In An Oscillating Lc Circuit The Maximum Current An lc circuit, also known as a resonant or tank circuit, is an electrical circuit that consists of two key components: The inductor is a coil of wire that stores. The maximum charge on the capacitor is q. Step by step video & image solution for in an oscillating lc circuit the maximum current on the inductor is i. L. In An Oscillating Lc Circuit The Maximum Current.
From www.numerade.com
SOLVED An oscillating LC circuit consisting ofa 2.0 nF capacitor and In An Oscillating Lc Circuit The Maximum Current In an oscillating $$lc$$ circuit in which $$c=4.00 mf$$, the maximum potential difference across the capacitor during the oscillations is $$1.50v$$ and. The angular frequency of the lc circuit is given by equation \ref{14.41}. An inductor (l) and a capacitor (c). The inductor is a coil of wire that stores. The maximum charge on the capacitor is q. The problem. In An Oscillating Lc Circuit The Maximum Current.
From www.chegg.com
Solved In an oscillating LC circuit, the total stored energy In An Oscillating Lc Circuit The Maximum Current Step by step video & image solution for in an oscillating lc circuit the maximum current on the inductor is i. The problem involves finding the maximum current in an lc circuit given the values of the inductance (l), the capacitance (c), and the maximum charge. The current in the inductor when the energy is. The angular frequency of the. In An Oscillating Lc Circuit The Maximum Current.
From www.numerade.com
SOLVED 'Problem In an oscillating LC circuit, current; 1.30 mH and C In An Oscillating Lc Circuit The Maximum Current An inductor (l) and a capacitor (c). In an oscillating $$lc$$ circuit in which $$c=4.00 mf$$, the maximum potential difference across the capacitor during the oscillations is $$1.50v$$ and. 31.20 in an oscillating lc circuit in which c = 4.00 µf, the maximum potential difference across the capacitor during the oscillations is 1.50 v and the. To find the maximum. In An Oscillating Lc Circuit The Maximum Current.
From www.toppr.com
In an oscillating LC circuit, the total stores energy is U and the In An Oscillating Lc Circuit The Maximum Current The problem involves finding the maximum current in an lc circuit given the values of the inductance (l), the capacitance (c), and the maximum charge. An lc circuit, also known as a resonant or tank circuit, is an electrical circuit that consists of two key components: An inductor (l) and a capacitor (c). The angular frequency of the lc circuit. In An Oscillating Lc Circuit The Maximum Current.
From www.slideserve.com
PPT Faraday’s Law PowerPoint Presentation, free download ID1536134 In An Oscillating Lc Circuit The Maximum Current 31.20 in an oscillating lc circuit in which c = 4.00 µf, the maximum potential difference across the capacitor during the oscillations is 1.50 v and the. An inductor (l) and a capacitor (c). The angular frequency of the lc circuit is given by equation \ref{14.41}. An lc circuit, also known as a resonant or tank circuit, is an electrical. In An Oscillating Lc Circuit The Maximum Current.
From phys.libretexts.org
10.6 Oscillations in an LC Circuit Physics LibreTexts In An Oscillating Lc Circuit The Maximum Current An inductor (l) and a capacitor (c). 31.20 in an oscillating lc circuit in which c = 4.00 µf, the maximum potential difference across the capacitor during the oscillations is 1.50 v and the. The angular frequency of the lc circuit is given by equation \ref{14.41}. The maximum charge on the capacitor is q. An lc circuit, also known as. In An Oscillating Lc Circuit The Maximum Current.
From www.numerade.com
SOLVED 15.1 In an oscillating LC circuit with capacitance C, the In An Oscillating Lc Circuit The Maximum Current To find the maximum current, the maximum energy in the capacitor is set equal. 31.20 in an oscillating lc circuit in which c = 4.00 µf, the maximum potential difference across the capacitor during the oscillations is 1.50 v and the. The inductor is a coil of wire that stores. L be the inductance of the inductor. The maximum charge. In An Oscillating Lc Circuit The Maximum Current.
From www.chegg.com
Solved In an oscillating LC circuit with capacitance C, In An Oscillating Lc Circuit The Maximum Current An inductor (l) and a capacitor (c). The inductor is a coil of wire that stores. An lc circuit, also known as a resonant or tank circuit, is an electrical circuit that consists of two key components: Step by step video & image solution for in an oscillating lc circuit the maximum current on the inductor is i. L be. In An Oscillating Lc Circuit The Maximum Current.
From www.chegg.com
Solved In an oscillating LC circuit, the maximum charge on In An Oscillating Lc Circuit The Maximum Current An inductor (l) and a capacitor (c). The problem involves finding the maximum current in an lc circuit given the values of the inductance (l), the capacitance (c), and the maximum charge. The inductor is a coil of wire that stores. The angular frequency of the lc circuit is given by equation \ref{14.41}. Let c be the capacitance of the. In An Oscillating Lc Circuit The Maximum Current.
From www.numerade.com
SOLVED In an oscillating LC circuit, L = 1.15 mH and C = 5.61 μF. The In An Oscillating Lc Circuit The Maximum Current In an oscillating $$lc$$ circuit in which $$c=4.00 mf$$, the maximum potential difference across the capacitor during the oscillations is $$1.50v$$ and. The current in the inductor when the energy is. The problem involves finding the maximum current in an lc circuit given the values of the inductance (l), the capacitance (c), and the maximum charge. An inductor (l) and. In An Oscillating Lc Circuit The Maximum Current.
From www.chegg.com
Solved At t=0, the current and charge in an oscillating LC In An Oscillating Lc Circuit The Maximum Current The current in the inductor when the energy is. An inductor (l) and a capacitor (c). L be the inductance of the inductor. In an oscillating $$lc$$ circuit in which $$c=4.00 mf$$, the maximum potential difference across the capacitor during the oscillations is $$1.50v$$ and. The inductor is a coil of wire that stores. An lc circuit, also known as. In An Oscillating Lc Circuit The Maximum Current.
From byjus.com
in an L C circuit consisting of 20 mH inductor and 0.1 microfarad In An Oscillating Lc Circuit The Maximum Current Let c be the capacitance of the capacitor. An lc circuit, also known as a resonant or tank circuit, is an electrical circuit that consists of two key components: The problem involves finding the maximum current in an lc circuit given the values of the inductance (l), the capacitance (c), and the maximum charge. An inductor (l) and a capacitor. In An Oscillating Lc Circuit The Maximum Current.
From www.slideserve.com
PPT Inductance and AC Circuits PowerPoint Presentation, free download In An Oscillating Lc Circuit The Maximum Current L be the inductance of the inductor. An inductor (l) and a capacitor (c). The problem involves finding the maximum current in an lc circuit given the values of the inductance (l), the capacitance (c), and the maximum charge. The inductor is a coil of wire that stores. An lc circuit, also known as a resonant or tank circuit, is. In An Oscillating Lc Circuit The Maximum Current.