What Makes Polyvinyl Butyral . Polyvinyl butyral, commonly known as pvb, is a type of plastic usually produced from the condensation reaction of butyraldehyde (also. Polyvinyl butyral rubber (pvb), a type of synthetic resin produced by the condensation reaction of butyraldehyde and polyvinyl alcohol, has. It is used when very thin, transparent or colored adhesive films are required to. Polyvinyl butyral is a resin widely used in glass manufacturing. Polyvinyl butyral, often abbreviated as pvb, is a type of plastic polymer that is widely recognized for its excellent adhesive, film forming, and. It has been used for a long time in architecture for. Polyvinyl butyral (pvb) and polyvinyl formal (pvf) are manufactured from pva by reaction with butyraldehyde (ch 3 ch 2 ch 2 cho) and. Polyvinyl butyral (or pvb) is a resin mostly used for applications that require strong binding, optical clarity, adhesion to many surfaces, toughness.
from www.researchgate.net
It is used when very thin, transparent or colored adhesive films are required to. Polyvinyl butyral (pvb) and polyvinyl formal (pvf) are manufactured from pva by reaction with butyraldehyde (ch 3 ch 2 ch 2 cho) and. Polyvinyl butyral, commonly known as pvb, is a type of plastic usually produced from the condensation reaction of butyraldehyde (also. Polyvinyl butyral rubber (pvb), a type of synthetic resin produced by the condensation reaction of butyraldehyde and polyvinyl alcohol, has. Polyvinyl butyral, often abbreviated as pvb, is a type of plastic polymer that is widely recognized for its excellent adhesive, film forming, and. Polyvinyl butyral (or pvb) is a resin mostly used for applications that require strong binding, optical clarity, adhesion to many surfaces, toughness. Polyvinyl butyral is a resin widely used in glass manufacturing. It has been used for a long time in architecture for.
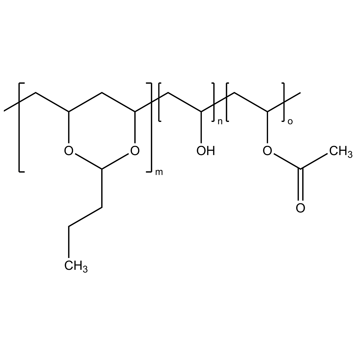
Chemical structure for (a) ethyl cellulose (EC), (b) polyvinyl butyral... Download Scientific
What Makes Polyvinyl Butyral Polyvinyl butyral is a resin widely used in glass manufacturing. Polyvinyl butyral rubber (pvb), a type of synthetic resin produced by the condensation reaction of butyraldehyde and polyvinyl alcohol, has. Polyvinyl butyral (pvb) and polyvinyl formal (pvf) are manufactured from pva by reaction with butyraldehyde (ch 3 ch 2 ch 2 cho) and. Polyvinyl butyral, often abbreviated as pvb, is a type of plastic polymer that is widely recognized for its excellent adhesive, film forming, and. It is used when very thin, transparent or colored adhesive films are required to. It has been used for a long time in architecture for. Polyvinyl butyral, commonly known as pvb, is a type of plastic usually produced from the condensation reaction of butyraldehyde (also. Polyvinyl butyral (or pvb) is a resin mostly used for applications that require strong binding, optical clarity, adhesion to many surfaces, toughness. Polyvinyl butyral is a resin widely used in glass manufacturing.
From onlinelibrary.wiley.com
Polyvinyl Butyral Modified Polyvinylidene Fluoride BreathableWaterproof Nanofibrous Membranes What Makes Polyvinyl Butyral It has been used for a long time in architecture for. Polyvinyl butyral, commonly known as pvb, is a type of plastic usually produced from the condensation reaction of butyraldehyde (also. Polyvinyl butyral (or pvb) is a resin mostly used for applications that require strong binding, optical clarity, adhesion to many surfaces, toughness. Polyvinyl butyral is a resin widely used. What Makes Polyvinyl Butyral.
From www.alibaba.com
Pvb Resin Powder Polyvinyl Butyral For Adhesive Paint Coating Cas No. 63148652 Buy White What Makes Polyvinyl Butyral Polyvinyl butyral is a resin widely used in glass manufacturing. Polyvinyl butyral rubber (pvb), a type of synthetic resin produced by the condensation reaction of butyraldehyde and polyvinyl alcohol, has. Polyvinyl butyral (or pvb) is a resin mostly used for applications that require strong binding, optical clarity, adhesion to many surfaces, toughness. Polyvinyl butyral, commonly known as pvb, is a. What Makes Polyvinyl Butyral.
From www.echemi.com
Buy PVB( Polyvinyl Butyral Resin) CAS63148652 from SHANGHAI INCHEE INTERNATIONAL TRADING CO What Makes Polyvinyl Butyral Polyvinyl butyral (or pvb) is a resin mostly used for applications that require strong binding, optical clarity, adhesion to many surfaces, toughness. Polyvinyl butyral rubber (pvb), a type of synthetic resin produced by the condensation reaction of butyraldehyde and polyvinyl alcohol, has. It is used when very thin, transparent or colored adhesive films are required to. Polyvinyl butyral, often abbreviated. What Makes Polyvinyl Butyral.
From reclaimplastics.com
PVB Recycling (Polyvinyl Butyral) Reclaim Plastics What Makes Polyvinyl Butyral Polyvinyl butyral, commonly known as pvb, is a type of plastic usually produced from the condensation reaction of butyraldehyde (also. Polyvinyl butyral, often abbreviated as pvb, is a type of plastic polymer that is widely recognized for its excellent adhesive, film forming, and. Polyvinyl butyral (or pvb) is a resin mostly used for applications that require strong binding, optical clarity,. What Makes Polyvinyl Butyral.
From civiljungle.com
PVB Vs SGP What Is Limited Glass What Is PolyVinyl Butyral (PVB) What Is Sentry Glass Plus What Makes Polyvinyl Butyral Polyvinyl butyral (pvb) and polyvinyl formal (pvf) are manufactured from pva by reaction with butyraldehyde (ch 3 ch 2 ch 2 cho) and. It is used when very thin, transparent or colored adhesive films are required to. Polyvinyl butyral is a resin widely used in glass manufacturing. Polyvinyl butyral (or pvb) is a resin mostly used for applications that require. What Makes Polyvinyl Butyral.
From www.allthescience.org
What is Polyvinyl Butyral? (with picture) What Makes Polyvinyl Butyral Polyvinyl butyral (pvb) and polyvinyl formal (pvf) are manufactured from pva by reaction with butyraldehyde (ch 3 ch 2 ch 2 cho) and. It has been used for a long time in architecture for. It is used when very thin, transparent or colored adhesive films are required to. Polyvinyl butyral, often abbreviated as pvb, is a type of plastic polymer. What Makes Polyvinyl Butyral.
From www.slideshare.net
0731PHOTO EXPLAINING POLYVINYL BUTYRAL PVB FILM AND PVB LAMINATED GLA… What Makes Polyvinyl Butyral Polyvinyl butyral is a resin widely used in glass manufacturing. Polyvinyl butyral rubber (pvb), a type of synthetic resin produced by the condensation reaction of butyraldehyde and polyvinyl alcohol, has. Polyvinyl butyral (pvb) and polyvinyl formal (pvf) are manufactured from pva by reaction with butyraldehyde (ch 3 ch 2 ch 2 cho) and. It is used when very thin, transparent. What Makes Polyvinyl Butyral.
From www.researchgate.net
Characterization of selected polyvinyl butyral. Download Scientific Diagram What Makes Polyvinyl Butyral Polyvinyl butyral (or pvb) is a resin mostly used for applications that require strong binding, optical clarity, adhesion to many surfaces, toughness. Polyvinyl butyral rubber (pvb), a type of synthetic resin produced by the condensation reaction of butyraldehyde and polyvinyl alcohol, has. It has been used for a long time in architecture for. Polyvinyl butyral is a resin widely used. What Makes Polyvinyl Butyral.
From www.jinhetec.com
Polyvinyl butyral (PVB) and its application What Makes Polyvinyl Butyral Polyvinyl butyral rubber (pvb), a type of synthetic resin produced by the condensation reaction of butyraldehyde and polyvinyl alcohol, has. Polyvinyl butyral (pvb) and polyvinyl formal (pvf) are manufactured from pva by reaction with butyraldehyde (ch 3 ch 2 ch 2 cho) and. Polyvinyl butyral is a resin widely used in glass manufacturing. It has been used for a long. What Makes Polyvinyl Butyral.
From www.lookchem.com
CAS No.63148652,Polyvinyl butyral Suppliers,MSDS download What Makes Polyvinyl Butyral Polyvinyl butyral rubber (pvb), a type of synthetic resin produced by the condensation reaction of butyraldehyde and polyvinyl alcohol, has. Polyvinyl butyral (or pvb) is a resin mostly used for applications that require strong binding, optical clarity, adhesion to many surfaces, toughness. Polyvinyl butyral (pvb) and polyvinyl formal (pvf) are manufactured from pva by reaction with butyraldehyde (ch 3 ch. What Makes Polyvinyl Butyral.
From www.labdepotinc.com
Polyvinyl Butyral What Makes Polyvinyl Butyral Polyvinyl butyral, commonly known as pvb, is a type of plastic usually produced from the condensation reaction of butyraldehyde (also. Polyvinyl butyral (pvb) and polyvinyl formal (pvf) are manufactured from pva by reaction with butyraldehyde (ch 3 ch 2 ch 2 cho) and. It is used when very thin, transparent or colored adhesive films are required to. It has been. What Makes Polyvinyl Butyral.
From spectra.chem.ut.ee
Polyvinyl butyral Database of ATRFTIR spectra of various materials What Makes Polyvinyl Butyral It is used when very thin, transparent or colored adhesive films are required to. Polyvinyl butyral, commonly known as pvb, is a type of plastic usually produced from the condensation reaction of butyraldehyde (also. It has been used for a long time in architecture for. Polyvinyl butyral rubber (pvb), a type of synthetic resin produced by the condensation reaction of. What Makes Polyvinyl Butyral.
From civilscoops.com
PVB Vs SGP What Is Limited Glass What Is PolyVinyl Butyral (PVB) What Is Sentry Glass Plus What Makes Polyvinyl Butyral Polyvinyl butyral, commonly known as pvb, is a type of plastic usually produced from the condensation reaction of butyraldehyde (also. Polyvinyl butyral rubber (pvb), a type of synthetic resin produced by the condensation reaction of butyraldehyde and polyvinyl alcohol, has. Polyvinyl butyral, often abbreviated as pvb, is a type of plastic polymer that is widely recognized for its excellent adhesive,. What Makes Polyvinyl Butyral.
From truspin.com
Polyvinyl butyral (PVB) Nanofibers TruSpin Nanomaterials What Makes Polyvinyl Butyral Polyvinyl butyral rubber (pvb), a type of synthetic resin produced by the condensation reaction of butyraldehyde and polyvinyl alcohol, has. Polyvinyl butyral (or pvb) is a resin mostly used for applications that require strong binding, optical clarity, adhesion to many surfaces, toughness. Polyvinyl butyral (pvb) and polyvinyl formal (pvf) are manufactured from pva by reaction with butyraldehyde (ch 3 ch. What Makes Polyvinyl Butyral.
From scipoly.com
Poly(vinyl butyral) What Makes Polyvinyl Butyral Polyvinyl butyral (or pvb) is a resin mostly used for applications that require strong binding, optical clarity, adhesion to many surfaces, toughness. It has been used for a long time in architecture for. Polyvinyl butyral, often abbreviated as pvb, is a type of plastic polymer that is widely recognized for its excellent adhesive, film forming, and. Polyvinyl butyral is a. What Makes Polyvinyl Butyral.
From www.mdpi.com
Nanomaterials Free FullText Polyvinyl Butyral Polymeric Host MaterialBased Fluorescent What Makes Polyvinyl Butyral Polyvinyl butyral (or pvb) is a resin mostly used for applications that require strong binding, optical clarity, adhesion to many surfaces, toughness. It is used when very thin, transparent or colored adhesive films are required to. Polyvinyl butyral rubber (pvb), a type of synthetic resin produced by the condensation reaction of butyraldehyde and polyvinyl alcohol, has. Polyvinyl butyral (pvb) and. What Makes Polyvinyl Butyral.
From www.alibaba.com
Polyvinyl Butyral Pvb Resin Manufacturer Apply For Coating Buy Pvb Resin,Polyvinyl Butyral What Makes Polyvinyl Butyral Polyvinyl butyral is a resin widely used in glass manufacturing. Polyvinyl butyral, often abbreviated as pvb, is a type of plastic polymer that is widely recognized for its excellent adhesive, film forming, and. Polyvinyl butyral, commonly known as pvb, is a type of plastic usually produced from the condensation reaction of butyraldehyde (also. Polyvinyl butyral (pvb) and polyvinyl formal (pvf). What Makes Polyvinyl Butyral.
From www.wikiwand.com
Polyvinyl butyral Wikiwand What Makes Polyvinyl Butyral Polyvinyl butyral, commonly known as pvb, is a type of plastic usually produced from the condensation reaction of butyraldehyde (also. Polyvinyl butyral (or pvb) is a resin mostly used for applications that require strong binding, optical clarity, adhesion to many surfaces, toughness. Polyvinyl butyral (pvb) and polyvinyl formal (pvf) are manufactured from pva by reaction with butyraldehyde (ch 3 ch. What Makes Polyvinyl Butyral.
From www.schem.net
What is polyvinyl butyral used for? What Makes Polyvinyl Butyral Polyvinyl butyral rubber (pvb), a type of synthetic resin produced by the condensation reaction of butyraldehyde and polyvinyl alcohol, has. Polyvinyl butyral, commonly known as pvb, is a type of plastic usually produced from the condensation reaction of butyraldehyde (also. It is used when very thin, transparent or colored adhesive films are required to. Polyvinyl butyral (pvb) and polyvinyl formal. What Makes Polyvinyl Butyral.
From civilscoops.com
PVB Vs SGP What Is Limited Glass What Is PolyVinyl Butyral (PVB) What Is Sentry Glass Plus What Makes Polyvinyl Butyral It has been used for a long time in architecture for. Polyvinyl butyral (pvb) and polyvinyl formal (pvf) are manufactured from pva by reaction with butyraldehyde (ch 3 ch 2 ch 2 cho) and. Polyvinyl butyral is a resin widely used in glass manufacturing. Polyvinyl butyral, commonly known as pvb, is a type of plastic usually produced from the condensation. What Makes Polyvinyl Butyral.
From www.mdpi.com
Novel Polyvinyl Butyral/Monoacylglycerol Nanofibrous Membrane with Antifouling Activity What Makes Polyvinyl Butyral Polyvinyl butyral is a resin widely used in glass manufacturing. Polyvinyl butyral (or pvb) is a resin mostly used for applications that require strong binding, optical clarity, adhesion to many surfaces, toughness. Polyvinyl butyral, often abbreviated as pvb, is a type of plastic polymer that is widely recognized for its excellent adhesive, film forming, and. Polyvinyl butyral rubber (pvb), a. What Makes Polyvinyl Butyral.
From www.researchgate.net
Chemical structure for (a) ethyl cellulose (EC), (b) polyvinyl butyral... Download Scientific What Makes Polyvinyl Butyral It is used when very thin, transparent or colored adhesive films are required to. Polyvinyl butyral is a resin widely used in glass manufacturing. Polyvinyl butyral (or pvb) is a resin mostly used for applications that require strong binding, optical clarity, adhesion to many surfaces, toughness. Polyvinyl butyral, commonly known as pvb, is a type of plastic usually produced from. What Makes Polyvinyl Butyral.
From ko.schem.net
PVB 수지(Polyvinyl Butyral Resin)란? What Makes Polyvinyl Butyral Polyvinyl butyral rubber (pvb), a type of synthetic resin produced by the condensation reaction of butyraldehyde and polyvinyl alcohol, has. Polyvinyl butyral (or pvb) is a resin mostly used for applications that require strong binding, optical clarity, adhesion to many surfaces, toughness. It is used when very thin, transparent or colored adhesive films are required to. Polyvinyl butyral is a. What Makes Polyvinyl Butyral.
From www.youtube.com
Polyvinyl Butyral (PVB) as a Significant Material used by Additive Manufacturing YouTube What Makes Polyvinyl Butyral Polyvinyl butyral, often abbreviated as pvb, is a type of plastic polymer that is widely recognized for its excellent adhesive, film forming, and. Polyvinyl butyral is a resin widely used in glass manufacturing. Polyvinyl butyral rubber (pvb), a type of synthetic resin produced by the condensation reaction of butyraldehyde and polyvinyl alcohol, has. Polyvinyl butyral, commonly known as pvb, is. What Makes Polyvinyl Butyral.
From www.slideshare.net
0731PHOTO EXPLAINING POLYVINYL BUTYRAL PVB FILM AND PVB LAMINATED GLA… What Makes Polyvinyl Butyral Polyvinyl butyral is a resin widely used in glass manufacturing. Polyvinyl butyral, commonly known as pvb, is a type of plastic usually produced from the condensation reaction of butyraldehyde (also. It has been used for a long time in architecture for. It is used when very thin, transparent or colored adhesive films are required to. Polyvinyl butyral (pvb) and polyvinyl. What Makes Polyvinyl Butyral.
From www.slideshare.net
0731PHOTO EXPLAINING POLYVINYL BUTYRAL PVB FILM AND PVB LAMINATED GLA… What Makes Polyvinyl Butyral It has been used for a long time in architecture for. Polyvinyl butyral rubber (pvb), a type of synthetic resin produced by the condensation reaction of butyraldehyde and polyvinyl alcohol, has. Polyvinyl butyral (or pvb) is a resin mostly used for applications that require strong binding, optical clarity, adhesion to many surfaces, toughness. Polyvinyl butyral, often abbreviated as pvb, is. What Makes Polyvinyl Butyral.
From www.researchgate.net
Material characteristics of recycled polyvinyl butyral Download Scientific Diagram What Makes Polyvinyl Butyral It has been used for a long time in architecture for. Polyvinyl butyral rubber (pvb), a type of synthetic resin produced by the condensation reaction of butyraldehyde and polyvinyl alcohol, has. Polyvinyl butyral (pvb) and polyvinyl formal (pvf) are manufactured from pva by reaction with butyraldehyde (ch 3 ch 2 ch 2 cho) and. Polyvinyl butyral is a resin widely. What Makes Polyvinyl Butyral.
From www.scribd.com
Polyvinyl Butyral 2 PDF Materials Building Materials What Makes Polyvinyl Butyral Polyvinyl butyral (or pvb) is a resin mostly used for applications that require strong binding, optical clarity, adhesion to many surfaces, toughness. Polyvinyl butyral rubber (pvb), a type of synthetic resin produced by the condensation reaction of butyraldehyde and polyvinyl alcohol, has. Polyvinyl butyral (pvb) and polyvinyl formal (pvf) are manufactured from pva by reaction with butyraldehyde (ch 3 ch. What Makes Polyvinyl Butyral.
From www.pinterest.com
PVB resinPolyvinyl ButyralCAS NO.63148652_Tanyun supplier Physical and chemical properties What Makes Polyvinyl Butyral Polyvinyl butyral (or pvb) is a resin mostly used for applications that require strong binding, optical clarity, adhesion to many surfaces, toughness. It is used when very thin, transparent or colored adhesive films are required to. Polyvinyl butyral is a resin widely used in glass manufacturing. Polyvinyl butyral rubber (pvb), a type of synthetic resin produced by the condensation reaction. What Makes Polyvinyl Butyral.
From www.schem.net
How to solvate polyvinyl butyral resin (PVB) and what should be paid attention to in processing What Makes Polyvinyl Butyral It is used when very thin, transparent or colored adhesive films are required to. Polyvinyl butyral, commonly known as pvb, is a type of plastic usually produced from the condensation reaction of butyraldehyde (also. Polyvinyl butyral (pvb) and polyvinyl formal (pvf) are manufactured from pva by reaction with butyraldehyde (ch 3 ch 2 ch 2 cho) and. Polyvinyl butyral rubber. What Makes Polyvinyl Butyral.
From www.alibaba.com
Adhesive Polyester Polyvinyl Butyral Resin Cas 63148652 In Polymer Pvb Resin Buy Pvb What Makes Polyvinyl Butyral It is used when very thin, transparent or colored adhesive films are required to. Polyvinyl butyral (or pvb) is a resin mostly used for applications that require strong binding, optical clarity, adhesion to many surfaces, toughness. It has been used for a long time in architecture for. Polyvinyl butyral is a resin widely used in glass manufacturing. Polyvinyl butyral, commonly. What Makes Polyvinyl Butyral.
From www.2spi.com
SPIChem Butvar B98 Polyvinyl Butyral Resin, CAS 63148652, 10g Bottle 02468BA SPI Supplies What Makes Polyvinyl Butyral Polyvinyl butyral, often abbreviated as pvb, is a type of plastic polymer that is widely recognized for its excellent adhesive, film forming, and. Polyvinyl butyral, commonly known as pvb, is a type of plastic usually produced from the condensation reaction of butyraldehyde (also. It has been used for a long time in architecture for. Polyvinyl butyral (pvb) and polyvinyl formal. What Makes Polyvinyl Butyral.
From www.researchgate.net
Chemical structures of a poly (vinyl butyralcovinyl alcoholcovinyl... Download Scientific What Makes Polyvinyl Butyral Polyvinyl butyral, often abbreviated as pvb, is a type of plastic polymer that is widely recognized for its excellent adhesive, film forming, and. Polyvinyl butyral rubber (pvb), a type of synthetic resin produced by the condensation reaction of butyraldehyde and polyvinyl alcohol, has. Polyvinyl butyral (or pvb) is a resin mostly used for applications that require strong binding, optical clarity,. What Makes Polyvinyl Butyral.
From www.researchgate.net
Schematic representation of polyvinyl butyral/graphene quantum dot... Download Scientific Diagram What Makes Polyvinyl Butyral It has been used for a long time in architecture for. Polyvinyl butyral rubber (pvb), a type of synthetic resin produced by the condensation reaction of butyraldehyde and polyvinyl alcohol, has. Polyvinyl butyral is a resin widely used in glass manufacturing. It is used when very thin, transparent or colored adhesive films are required to. Polyvinyl butyral, often abbreviated as. What Makes Polyvinyl Butyral.
From patents.google.com
EP0368830A1 Polyvinyl butyral polyblend Google Patents What Makes Polyvinyl Butyral Polyvinyl butyral is a resin widely used in glass manufacturing. Polyvinyl butyral rubber (pvb), a type of synthetic resin produced by the condensation reaction of butyraldehyde and polyvinyl alcohol, has. Polyvinyl butyral, often abbreviated as pvb, is a type of plastic polymer that is widely recognized for its excellent adhesive, film forming, and. Polyvinyl butyral (or pvb) is a resin. What Makes Polyvinyl Butyral.