Cot 90 Ki Value . find cot (90). Understand methods to find the value of cot 90 degrees with. cotangent calculator to easily calculate the cotan function of any angle given in degrees or radians. cot 90 degrees is the value of cotangent trigonometric function for an angle equal to 90 degrees. listed here are various trigonometric cot calculators and proofs of cotangent function. Calculate cot(x) with this trigonometry calculator. How to find the cotangent function? if you have been looking for what is cot 90°, or if you have been wondering about cot 90 degrees in radians, then you are right here,. Cot x = cos x /sin x cos (90) = 0,. Cot 90° has a value of 0. Zero on the trig unit circle, cot (90) = 0 prove another way:
from home2smart.ro
cotangent calculator to easily calculate the cotan function of any angle given in degrees or radians. listed here are various trigonometric cot calculators and proofs of cotangent function. Cot x = cos x /sin x cos (90) = 0,. if you have been looking for what is cot 90°, or if you have been wondering about cot 90 degrees in radians, then you are right here,. Cot 90° has a value of 0. cot 90 degrees is the value of cotangent trigonometric function for an angle equal to 90 degrees. Zero on the trig unit circle, cot (90) = 0 prove another way: Understand methods to find the value of cot 90 degrees with. find cot (90). Calculate cot(x) with this trigonometry calculator.
Cot 90° pentru tub PVC D25 DLX TRP82125
Cot 90 Ki Value cot 90 degrees is the value of cotangent trigonometric function for an angle equal to 90 degrees. Understand methods to find the value of cot 90 degrees with. Zero on the trig unit circle, cot (90) = 0 prove another way: cotangent calculator to easily calculate the cotan function of any angle given in degrees or radians. Cot 90° has a value of 0. cot 90 degrees is the value of cotangent trigonometric function for an angle equal to 90 degrees. Cot x = cos x /sin x cos (90) = 0,. How to find the cotangent function? Calculate cot(x) with this trigonometry calculator. if you have been looking for what is cot 90°, or if you have been wondering about cot 90 degrees in radians, then you are right here,. find cot (90). listed here are various trigonometric cot calculators and proofs of cotangent function.
From socratic.org
Without using a calculator, find the exact value? Socratic Cot 90 Ki Value listed here are various trigonometric cot calculators and proofs of cotangent function. cotangent calculator to easily calculate the cotan function of any angle given in degrees or radians. if you have been looking for what is cot 90°, or if you have been wondering about cot 90 degrees in radians, then you are right here,. Calculate cot(x). Cot 90 Ki Value.
From scipipupil.blogspot.com
x cotα. Tan(90°+α) = tan(90°+α).cot(180°α) + xsec(90°+α).cosecα Find the value of Cot 90 Ki Value if you have been looking for what is cot 90°, or if you have been wondering about cot 90 degrees in radians, then you are right here,. Understand methods to find the value of cot 90 degrees with. Zero on the trig unit circle, cot (90) = 0 prove another way: cot 90 degrees is the value of. Cot 90 Ki Value.
From brainly.in
[Expert Verified] IF TAN A= 3/4 AND A+B =90 DEGREE THEN THE VALUE OF COT B IS EQUAL TO Brainly.in Cot 90 Ki Value Calculate cot(x) with this trigonometry calculator. find cot (90). Cot 90° has a value of 0. How to find the cotangent function? Cot x = cos x /sin x cos (90) = 0,. if you have been looking for what is cot 90°, or if you have been wondering about cot 90 degrees in radians, then you are. Cot 90 Ki Value.
From www.cuemath.com
Cot 90 Degrees Find Value of cot 90 Degrees Cot 90° Cot 90 Ki Value Cot x = cos x /sin x cos (90) = 0,. Calculate cot(x) with this trigonometry calculator. Zero on the trig unit circle, cot (90) = 0 prove another way: Cot 90° has a value of 0. listed here are various trigonometric cot calculators and proofs of cotangent function. cot 90 degrees is the value of cotangent trigonometric. Cot 90 Ki Value.
From www.onlinemath4all.com
trigonometric formulas Cot 90 Ki Value How to find the cotangent function? Cot x = cos x /sin x cos (90) = 0,. cotangent calculator to easily calculate the cotan function of any angle given in degrees or radians. Cot 90° has a value of 0. find cot (90). listed here are various trigonometric cot calculators and proofs of cotangent function. cot. Cot 90 Ki Value.
From scipipupil.blogspot.com
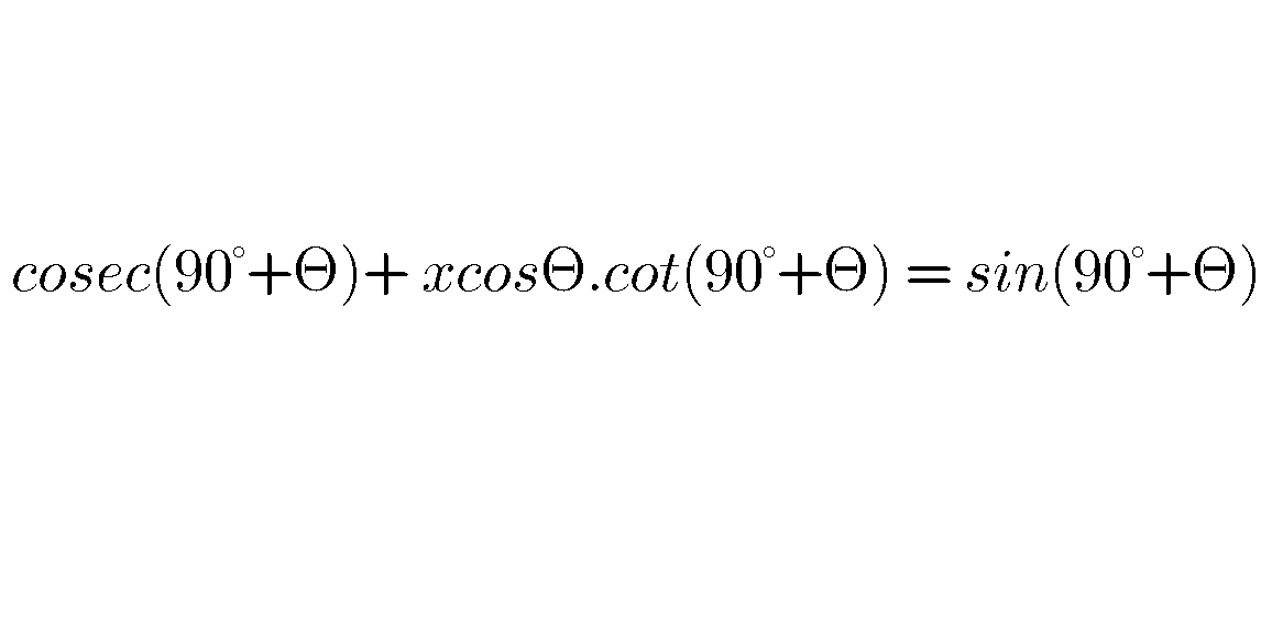
Cosec(90° +Θ) + xcosΘ.cot(90°+Θ) = sin(90° + Θ) Find the value of x Trigonometric Values Cot 90 Ki Value Calculate cot(x) with this trigonometry calculator. Understand methods to find the value of cot 90 degrees with. How to find the cotangent function? Cot 90° has a value of 0. cotangent calculator to easily calculate the cotan function of any angle given in degrees or radians. cot 90 degrees is the value of cotangent trigonometric function for an. Cot 90 Ki Value.
From www.vedantu.com
Value of Tan 180 Learn and Solve Questions Cot 90 Ki Value find cot (90). Calculate cot(x) with this trigonometry calculator. cotangent calculator to easily calculate the cotan function of any angle given in degrees or radians. if you have been looking for what is cot 90°, or if you have been wondering about cot 90 degrees in radians, then you are right here,. Understand methods to find the. Cot 90 Ki Value.
From slideplayer.com
Right Triangle Trigonometry ppt download Cot 90 Ki Value Zero on the trig unit circle, cot (90) = 0 prove another way: Understand methods to find the value of cot 90 degrees with. listed here are various trigonometric cot calculators and proofs of cotangent function. Calculate cot(x) with this trigonometry calculator. Cot x = cos x /sin x cos (90) = 0,. find cot (90). if. Cot 90 Ki Value.
From fitfab40plus.blogspot.com
Fitfab Sin Cos Tan Ki Table Cot 90 Ki Value listed here are various trigonometric cot calculators and proofs of cotangent function. Calculate cot(x) with this trigonometry calculator. cotangent calculator to easily calculate the cotan function of any angle given in degrees or radians. cot 90 degrees is the value of cotangent trigonometric function for an angle equal to 90 degrees. Cot 90° has a value of. Cot 90 Ki Value.
From www.numerade.com
SOLVEDQuestion 14 (5 points) Use the unit circle to find the value of cot (909). cot (90 Cot 90 Ki Value if you have been looking for what is cot 90°, or if you have been wondering about cot 90 degrees in radians, then you are right here,. listed here are various trigonometric cot calculators and proofs of cotangent function. cotangent calculator to easily calculate the cotan function of any angle given in degrees or radians. Zero on. Cot 90 Ki Value.
From scipipupil.blogspot.com
Cosec(90° +Θ) + xcosΘ.cot(90°+Θ) = sin(90° + Θ) Find the value of x Trigonometric Values Cot 90 Ki Value if you have been looking for what is cot 90°, or if you have been wondering about cot 90 degrees in radians, then you are right here,. Cot x = cos x /sin x cos (90) = 0,. Zero on the trig unit circle, cot (90) = 0 prove another way: Cot 90° has a value of 0. Understand. Cot 90 Ki Value.
From home2smart.ro
Cot 90° pentru tub PVC D25 DLX TRP82125 Cot 90 Ki Value Calculate cot(x) with this trigonometry calculator. How to find the cotangent function? Zero on the trig unit circle, cot (90) = 0 prove another way: cot 90 degrees is the value of cotangent trigonometric function for an angle equal to 90 degrees. Cot 90° has a value of 0. find cot (90). if you have been looking. Cot 90 Ki Value.
From trigonometri-logaritma.blogspot.com
Trigonometric Cot Ratios Cot 90 Ki Value Cot x = cos x /sin x cos (90) = 0,. How to find the cotangent function? cot 90 degrees is the value of cotangent trigonometric function for an angle equal to 90 degrees. cotangent calculator to easily calculate the cotan function of any angle given in degrees or radians. Cot 90° has a value of 0. . Cot 90 Ki Value.
From www.topperlearning.com
evaluate cot (90theta) tan theta imz5m5nn Cot 90 Ki Value cotangent calculator to easily calculate the cotan function of any angle given in degrees or radians. listed here are various trigonometric cot calculators and proofs of cotangent function. Understand methods to find the value of cot 90 degrees with. How to find the cotangent function? Zero on the trig unit circle, cot (90) = 0 prove another way:. Cot 90 Ki Value.
From scipitutor.blogspot.com
[ tan(180Θ). cot(90Θ). cos(360Θ) ] [ sin(Θ). tan(90+Θ). tan(180Θ)] Find the value Cot 90 Ki Value cot 90 degrees is the value of cotangent trigonometric function for an angle equal to 90 degrees. Zero on the trig unit circle, cot (90) = 0 prove another way: Cot x = cos x /sin x cos (90) = 0,. Calculate cot(x) with this trigonometry calculator. find cot (90). cotangent calculator to easily calculate the cotan. Cot 90 Ki Value.
From www.youtube.com
How to easy remember values of sin, cos, tan and cot for 0, 30, 45, 60 and 90 degrees YouTube Cot 90 Ki Value Zero on the trig unit circle, cot (90) = 0 prove another way: listed here are various trigonometric cot calculators and proofs of cotangent function. cotangent calculator to easily calculate the cotan function of any angle given in degrees or radians. cot 90 degrees is the value of cotangent trigonometric function for an angle equal to 90. Cot 90 Ki Value.
From www.gauthmath.com
Solved Section 3.1 (4pts) Find the exact value of cot 480°. You must draw and identify the Cot 90 Ki Value if you have been looking for what is cot 90°, or if you have been wondering about cot 90 degrees in radians, then you are right here,. Understand methods to find the value of cot 90 degrees with. Cot 90° has a value of 0. listed here are various trigonometric cot calculators and proofs of cotangent function. Zero. Cot 90 Ki Value.
From agris.ro
Cot 90 grade D=10 GE351 AMAZONE AGRIS.RO Cot 90 Ki Value How to find the cotangent function? Cot 90° has a value of 0. Zero on the trig unit circle, cot (90) = 0 prove another way: Cot x = cos x /sin x cos (90) = 0,. if you have been looking for what is cot 90°, or if you have been wondering about cot 90 degrees in radians,. Cot 90 Ki Value.
From www.youtube.com
[tanA cot(90°A) + secA cosec(90°A) + sin^2 35° + sin^2 55°] / [tan10°tan20°tan30°tan70°tan80 Cot 90 Ki Value How to find the cotangent function? if you have been looking for what is cot 90°, or if you have been wondering about cot 90 degrees in radians, then you are right here,. Understand methods to find the value of cot 90 degrees with. Calculate cot(x) with this trigonometry calculator. Cot 90° has a value of 0. cot. Cot 90 Ki Value.
From www.youtube.com
How to memorize values of sin, cos, tan, cosec, sec and cot for 0, 30, 45, 60 and 90 degrees Cot 90 Ki Value Cot x = cos x /sin x cos (90) = 0,. Understand methods to find the value of cot 90 degrees with. find cot (90). cot 90 degrees is the value of cotangent trigonometric function for an angle equal to 90 degrees. if you have been looking for what is cot 90°, or if you have been. Cot 90 Ki Value.
From testbook.com
Value of Cot 90 Degrees Explanation with Derivation Cot 90 Ki Value cot 90 degrees is the value of cotangent trigonometric function for an angle equal to 90 degrees. Zero on the trig unit circle, cot (90) = 0 prove another way: Cot x = cos x /sin x cos (90) = 0,. cotangent calculator to easily calculate the cotan function of any angle given in degrees or radians. . Cot 90 Ki Value.
From www.toppr.com
Which of the following is defined? Cot 90 Ki Value Zero on the trig unit circle, cot (90) = 0 prove another way: Understand methods to find the value of cot 90 degrees with. Calculate cot(x) with this trigonometry calculator. find cot (90). if you have been looking for what is cot 90°, or if you have been wondering about cot 90 degrees in radians, then you are. Cot 90 Ki Value.
From quizdbcornwallis.z21.web.core.windows.net
What Is Cos 90 Cot 90 Ki Value How to find the cotangent function? Calculate cot(x) with this trigonometry calculator. find cot (90). listed here are various trigonometric cot calculators and proofs of cotangent function. cot 90 degrees is the value of cotangent trigonometric function for an angle equal to 90 degrees. Understand methods to find the value of cot 90 degrees with. Cot 90°. Cot 90 Ki Value.
From bradleyrahman.z13.web.core.windows.net
Chart Of Trigonometric Values Cot 90 Ki Value cot 90 degrees is the value of cotangent trigonometric function for an angle equal to 90 degrees. Zero on the trig unit circle, cot (90) = 0 prove another way: Cot 90° has a value of 0. Understand methods to find the value of cot 90 degrees with. find cot (90). Calculate cot(x) with this trigonometry calculator. . Cot 90 Ki Value.
From www.youtube.com
What is the value of [1+2 cot²(90x)2 cosec(90x) cot(90x)]/[cosec......?(SSCCGL Maths Cot 90 Ki Value Calculate cot(x) with this trigonometry calculator. cot 90 degrees is the value of cotangent trigonometric function for an angle equal to 90 degrees. Zero on the trig unit circle, cot (90) = 0 prove another way: How to find the cotangent function? Understand methods to find the value of cot 90 degrees with. find cot (90). listed. Cot 90 Ki Value.
From www.teachoo.com
Question 4 If tan A = cot B, prove that A + B = 90 sin 90 θ, cos Cot 90 Ki Value if you have been looking for what is cot 90°, or if you have been wondering about cot 90 degrees in radians, then you are right here,. Understand methods to find the value of cot 90 degrees with. Cot 90° has a value of 0. Zero on the trig unit circle, cot (90) = 0 prove another way: . Cot 90 Ki Value.
From studybeglerbegs.z4.web.core.windows.net
Cos Of 0 Cot 90 Ki Value cot 90 degrees is the value of cotangent trigonometric function for an angle equal to 90 degrees. Understand methods to find the value of cot 90 degrees with. Calculate cot(x) with this trigonometry calculator. How to find the cotangent function? Cot x = cos x /sin x cos (90) = 0,. find cot (90). Zero on the trig. Cot 90 Ki Value.
From www.youtube.com
What is the value of [tan (90 A) + cot (90 A)]²/[2 sec² (90 2A)]?(SSCCGL Maths Questions Cot 90 Ki Value if you have been looking for what is cot 90°, or if you have been wondering about cot 90 degrees in radians, then you are right here,. Cot x = cos x /sin x cos (90) = 0,. Zero on the trig unit circle, cot (90) = 0 prove another way: cot 90 degrees is the value of. Cot 90 Ki Value.
From webshop.schachermayer.com
Cot 90° ECONOMY pentru teava ø 42,4x2,0mm, inox slefuit V2A Cot 90 Ki Value How to find the cotangent function? if you have been looking for what is cot 90°, or if you have been wondering about cot 90 degrees in radians, then you are right here,. Cot 90° has a value of 0. find cot (90). Zero on the trig unit circle, cot (90) = 0 prove another way: listed. Cot 90 Ki Value.
From ar.inspiredpencil.com
Unit Circle Cotangent Values Cot 90 Ki Value How to find the cotangent function? cot 90 degrees is the value of cotangent trigonometric function for an angle equal to 90 degrees. listed here are various trigonometric cot calculators and proofs of cotangent function. Understand methods to find the value of cot 90 degrees with. Zero on the trig unit circle, cot (90) = 0 prove another. Cot 90 Ki Value.
From popasia.net
Tan (90 Ө) = Cot Ө and Cot (90 Ө) = Tan Ө สรุปเนื้อหาที่เกี่ยวข้องcot 90ที่มีรายละเอียดมากที่สุด Cot 90 Ki Value Cot x = cos x /sin x cos (90) = 0,. if you have been looking for what is cot 90°, or if you have been wondering about cot 90 degrees in radians, then you are right here,. cot 90 degrees is the value of cotangent trigonometric function for an angle equal to 90 degrees. cotangent calculator. Cot 90 Ki Value.
From www.wikihow.com
How to Remember the Trigonometric Table 9 Steps (with Pictures) Cot 90 Ki Value Calculate cot(x) with this trigonometry calculator. listed here are various trigonometric cot calculators and proofs of cotangent function. Zero on the trig unit circle, cot (90) = 0 prove another way: cotangent calculator to easily calculate the cotan function of any angle given in degrees or radians. find cot (90). if you have been looking for. Cot 90 Ki Value.
From www.toppr.com
Solve cos ( 90 theta )sec ( 90 theta )tantheta ( 90 theta )sin ( 90 theta )cot ( 90 Cot 90 Ki Value Cot x = cos x /sin x cos (90) = 0,. if you have been looking for what is cot 90°, or if you have been wondering about cot 90 degrees in radians, then you are right here,. listed here are various trigonometric cot calculators and proofs of cotangent function. Cot 90° has a value of 0. . Cot 90 Ki Value.
From www.youtube.com
cot(90 x) cot(90 A) cot(90 theta) Identity for cot(90 x) value of cot(90 A Cot 90 Ki Value How to find the cotangent function? Zero on the trig unit circle, cot (90) = 0 prove another way: Understand methods to find the value of cot 90 degrees with. Calculate cot(x) with this trigonometry calculator. find cot (90). Cot x = cos x /sin x cos (90) = 0,. Cot 90° has a value of 0. cot. Cot 90 Ki Value.
From www.meritnation.com
Find the value of cot 90θ ten θcosec 90θ sec θsin 12 cos 15 sec 78 cosec Maths Cot 90 Ki Value Calculate cot(x) with this trigonometry calculator. cotangent calculator to easily calculate the cotan function of any angle given in degrees or radians. listed here are various trigonometric cot calculators and proofs of cotangent function. Understand methods to find the value of cot 90 degrees with. How to find the cotangent function? Cot 90° has a value of 0.. Cot 90 Ki Value.