Fluid Mechanics Worksheet With Answers Pdf . Download it for free and improve your skills. A cube of mass m and side length l is completely submerged in a tank of water and is. A sample of an unknown material weighs. Answer the following questions ignoring friction, viscosity, turbulence. learn fluid mechanics and hydraulics with 2500 solved problems in this pdf document. Calculate the net force on. show complete solutions to the following problems and box final answers with units. Ocity of 1.0 m/s and a pressure of 200000 pa. fluid mechanics worksheet 1. A large rectangular raft (density 650 kg/m3) is floating on a lake. the same answers as in the lecture slides. The surface area of the. Re (101300 pa), there is no change in height. The length scale should be roughly the radius of the perturbed region of fluid around the. fluid mechanics review worksheet.
from www.scribd.com
show complete solutions to the following problems and box final answers with units. A large rectangular raft (density 650 kg/m3) is floating on a lake. Answer the following questions ignoring friction, viscosity, turbulence. At the nozzle the pressure decreases to atmospheric press. A cube of mass m and side length l is completely submerged in a tank of water and is. learn fluid mechanics and hydraulics with 2500 solved problems in this pdf document. The length scale should be roughly the radius of the perturbed region of fluid around the. fluid mechanics worksheet 2 1. fluid mechanics review worksheet. Ocity of 1.0 m/s and a pressure of 200000 pa.
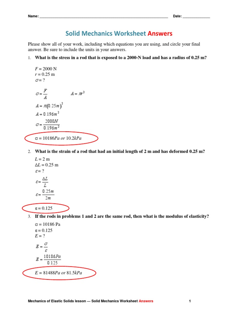
Solid Mechanics Worksheet Answers PDF Elasticity (Physics) Stress (Mechanics)
Fluid Mechanics Worksheet With Answers Pdf A cube of mass m and side length l is completely submerged in a tank of water and is. Re (101300 pa), there is no change in height. fluid mechanics worksheet 1. A large rectangular raft (density 650 kg/m3) is floating on a lake. show complete solutions to the following problems and box final answers with units. A sample of an unknown material weighs. Answer the following questions ignoring friction, viscosity, turbulence. fluid mechanics review worksheet. Calculate the net force on. Caleb is filling up water balloons for the physics olympics balloon toss competition. Ocity of 1.0 m/s and a pressure of 200000 pa. learn fluid mechanics and hydraulics with 2500 solved problems in this pdf document. The length scale should be roughly the radius of the perturbed region of fluid around the. fluid mechanics worksheet 2 1. Download it for free and improve your skills. At the nozzle the pressure decreases to atmospheric press.
From www.scribd.com
Worksheet 2 Fluid Dynamics Physics & Mathematics Fluid Mechanics Worksheet With Answers Pdf The surface area of the. A sample of an unknown material weighs. Ocity of 1.0 m/s and a pressure of 200000 pa. fluid mechanics worksheet 2 1. A cube of mass m and side length l is completely submerged in a tank of water and is. A large rectangular raft (density 650 kg/m3) is floating on a lake. . Fluid Mechanics Worksheet With Answers Pdf.
From www.studypool.com
SOLUTION Fluid mechanics worksheet questions Studypool Fluid Mechanics Worksheet With Answers Pdf A sample of an unknown material weighs. The length scale should be roughly the radius of the perturbed region of fluid around the. Download it for free and improve your skills. Ocity of 1.0 m/s and a pressure of 200000 pa. A large rectangular raft (density 650 kg/m3) is floating on a lake. Calculate the net force on. fluid. Fluid Mechanics Worksheet With Answers Pdf.
From www.scribd.com
Solid Mechanics Worksheet Answers PDF Elasticity (Physics) Stress (Mechanics) Fluid Mechanics Worksheet With Answers Pdf show complete solutions to the following problems and box final answers with units. Answer the following questions ignoring friction, viscosity, turbulence. fluid mechanics worksheet 1. Download it for free and improve your skills. At the nozzle the pressure decreases to atmospheric press. Caleb is filling up water balloons for the physics olympics balloon toss competition. fluid mechanics. Fluid Mechanics Worksheet With Answers Pdf.
From www.studocu.com
Fluid mechanics question Week 1 Practice Questions to be attempted by Friday 9th October The Fluid Mechanics Worksheet With Answers Pdf A sample of an unknown material weighs. A large rectangular raft (density 650 kg/m3) is floating on a lake. fluid mechanics review worksheet. The surface area of the. Re (101300 pa), there is no change in height. At the nozzle the pressure decreases to atmospheric press. Caleb is filling up water balloons for the physics olympics balloon toss competition.. Fluid Mechanics Worksheet With Answers Pdf.
From www.studocu.com
Ideal Gas Law first year fluid mechanics selfmade worksheet Ideal Gas Law Word problems A Fluid Mechanics Worksheet With Answers Pdf A large rectangular raft (density 650 kg/m3) is floating on a lake. Ocity of 1.0 m/s and a pressure of 200000 pa. Calculate the net force on. show complete solutions to the following problems and box final answers with units. the same answers as in the lecture slides. Answer the following questions ignoring friction, viscosity, turbulence. Download it. Fluid Mechanics Worksheet With Answers Pdf.
From www.scribd.com
Fluid Mechanics Practice Questions With Solution Flow Measurement Fluid Mechanics Fluid Mechanics Worksheet With Answers Pdf A sample of an unknown material weighs. Calculate the net force on. fluid mechanics worksheet 1. The length scale should be roughly the radius of the perturbed region of fluid around the. learn fluid mechanics and hydraulics with 2500 solved problems in this pdf document. Download it for free and improve your skills. the same answers as. Fluid Mechanics Worksheet With Answers Pdf.
From www.studypool.com
SOLUTION Fluid mechanics worksheet questions Studypool Fluid Mechanics Worksheet With Answers Pdf A cube of mass m and side length l is completely submerged in a tank of water and is. fluid mechanics review worksheet. fluid mechanics worksheet 1. The length scale should be roughly the radius of the perturbed region of fluid around the. At the nozzle the pressure decreases to atmospheric press. Answer the following questions ignoring friction,. Fluid Mechanics Worksheet With Answers Pdf.
From www.scribd.com
Fluid Mechanics Worksheet PDF Fluid Mechanics Worksheet With Answers Pdf fluid mechanics review worksheet. Download it for free and improve your skills. Re (101300 pa), there is no change in height. The length scale should be roughly the radius of the perturbed region of fluid around the. the same answers as in the lecture slides. At the nozzle the pressure decreases to atmospheric press. Answer the following questions. Fluid Mechanics Worksheet With Answers Pdf.
From www.studypool.com
SOLUTION Fluid mechanics worksheet Studypool Fluid Mechanics Worksheet With Answers Pdf Ocity of 1.0 m/s and a pressure of 200000 pa. fluid mechanics worksheet 1. The length scale should be roughly the radius of the perturbed region of fluid around the. The surface area of the. Calculate the net force on. show complete solutions to the following problems and box final answers with units. A sample of an unknown. Fluid Mechanics Worksheet With Answers Pdf.
From quizizz.com
Fluid Mechanics Terms questions & answers for quizzes and worksheets Quizizz Fluid Mechanics Worksheet With Answers Pdf A cube of mass m and side length l is completely submerged in a tank of water and is. The length scale should be roughly the radius of the perturbed region of fluid around the. Answer the following questions ignoring friction, viscosity, turbulence. A large rectangular raft (density 650 kg/m3) is floating on a lake. fluid mechanics worksheet 2. Fluid Mechanics Worksheet With Answers Pdf.
From www.scribd.com
Fluid Mechanics Worksheet 5 PDF Flow Measurement Pressure Measurement Fluid Mechanics Worksheet With Answers Pdf Answer the following questions ignoring friction, viscosity, turbulence. Calculate the net force on. The length scale should be roughly the radius of the perturbed region of fluid around the. The surface area of the. fluid mechanics worksheet 2 1. Ocity of 1.0 m/s and a pressure of 200000 pa. Caleb is filling up water balloons for the physics olympics. Fluid Mechanics Worksheet With Answers Pdf.
From dokumen.tips
(PDF) PHYSICS FLUID MECHANICS (STATICS) Worksheet 1sgabriel/physics/chap9/AS1.pdf · PHYSICS Fluid Mechanics Worksheet With Answers Pdf A sample of an unknown material weighs. Answer the following questions ignoring friction, viscosity, turbulence. A cube of mass m and side length l is completely submerged in a tank of water and is. Re (101300 pa), there is no change in height. Ocity of 1.0 m/s and a pressure of 200000 pa. fluid mechanics review worksheet. learn. Fluid Mechanics Worksheet With Answers Pdf.
From issuu.com
Fluid Mechanics 8th Edition White Solutions Manual by bettyqs67 Issuu Fluid Mechanics Worksheet With Answers Pdf Download it for free and improve your skills. fluid mechanics review worksheet. At the nozzle the pressure decreases to atmospheric press. A large rectangular raft (density 650 kg/m3) is floating on a lake. A cube of mass m and side length l is completely submerged in a tank of water and is. Calculate the net force on. fluid. Fluid Mechanics Worksheet With Answers Pdf.
From www.studypool.com
SOLUTION Physics Fluid Mechanics Quiz Worksheet Studypool Fluid Mechanics Worksheet With Answers Pdf A cube of mass m and side length l is completely submerged in a tank of water and is. The surface area of the. Answer the following questions ignoring friction, viscosity, turbulence. show complete solutions to the following problems and box final answers with units. Re (101300 pa), there is no change in height. learn fluid mechanics and. Fluid Mechanics Worksheet With Answers Pdf.
From www.studypool.com
SOLUTION Physics fluid mechanics worksheet Studypool Fluid Mechanics Worksheet With Answers Pdf the same answers as in the lecture slides. show complete solutions to the following problems and box final answers with units. Download it for free and improve your skills. A large rectangular raft (density 650 kg/m3) is floating on a lake. Answer the following questions ignoring friction, viscosity, turbulence. A cube of mass m and side length l. Fluid Mechanics Worksheet With Answers Pdf.
From www.studypool.com
SOLUTION Physics fluid mechanics worksheet Studypool Fluid Mechanics Worksheet With Answers Pdf A cube of mass m and side length l is completely submerged in a tank of water and is. fluid mechanics review worksheet. At the nozzle the pressure decreases to atmospheric press. A large rectangular raft (density 650 kg/m3) is floating on a lake. A sample of an unknown material weighs. learn fluid mechanics and hydraulics with 2500. Fluid Mechanics Worksheet With Answers Pdf.
From www.studypool.com
SOLUTION Fluid Mechanics worksheet problems Studypool Fluid Mechanics Worksheet With Answers Pdf Ocity of 1.0 m/s and a pressure of 200000 pa. show complete solutions to the following problems and box final answers with units. fluid mechanics review worksheet. At the nozzle the pressure decreases to atmospheric press. Answer the following questions ignoring friction, viscosity, turbulence. learn fluid mechanics and hydraulics with 2500 solved problems in this pdf document.. Fluid Mechanics Worksheet With Answers Pdf.
From www.learnapphysics.com
Learn AP Physics AP Physics 1 & 2 Fluid Mechanics Fluid Mechanics Worksheet With Answers Pdf At the nozzle the pressure decreases to atmospheric press. Caleb is filling up water balloons for the physics olympics balloon toss competition. The length scale should be roughly the radius of the perturbed region of fluid around the. Ocity of 1.0 m/s and a pressure of 200000 pa. A large rectangular raft (density 650 kg/m3) is floating on a lake.. Fluid Mechanics Worksheet With Answers Pdf.
From www.chegg.com
Solved Help with two basic pressure/fluids questions?? If Fluid Mechanics Worksheet With Answers Pdf A sample of an unknown material weighs. Calculate the net force on. show complete solutions to the following problems and box final answers with units. learn fluid mechanics and hydraulics with 2500 solved problems in this pdf document. Answer the following questions ignoring friction, viscosity, turbulence. Download it for free and improve your skills. A large rectangular raft. Fluid Mechanics Worksheet With Answers Pdf.
From www.scribd.com
Fluid Mechanics Problems and Solutions PDF PDF Fluid Mechanics Worksheet With Answers Pdf Answer the following questions ignoring friction, viscosity, turbulence. A sample of an unknown material weighs. Calculate the net force on. fluid mechanics worksheet 1. fluid mechanics worksheet 2 1. fluid mechanics review worksheet. A cube of mass m and side length l is completely submerged in a tank of water and is. learn fluid mechanics and. Fluid Mechanics Worksheet With Answers Pdf.
From www.studypool.com
SOLUTION Chapter 10 Mechanical Properties of Fluids Worksheet Studypool Fluid Mechanics Worksheet With Answers Pdf fluid mechanics review worksheet. A sample of an unknown material weighs. A cube of mass m and side length l is completely submerged in a tank of water and is. fluid mechanics worksheet 2 1. At the nozzle the pressure decreases to atmospheric press. A large rectangular raft (density 650 kg/m3) is floating on a lake. Ocity of. Fluid Mechanics Worksheet With Answers Pdf.
From www.scribd.com
Fluid Mechanics Answer Key PDF Pressure Buoyancy Fluid Mechanics Worksheet With Answers Pdf the same answers as in the lecture slides. The length scale should be roughly the radius of the perturbed region of fluid around the. The surface area of the. Caleb is filling up water balloons for the physics olympics balloon toss competition. fluid mechanics review worksheet. learn fluid mechanics and hydraulics with 2500 solved problems in this. Fluid Mechanics Worksheet With Answers Pdf.
From www.studypool.com
SOLUTION Fluid mechanics worksheet Studypool Fluid Mechanics Worksheet With Answers Pdf Answer the following questions ignoring friction, viscosity, turbulence. The length scale should be roughly the radius of the perturbed region of fluid around the. A cube of mass m and side length l is completely submerged in a tank of water and is. A sample of an unknown material weighs. fluid mechanics worksheet 2 1. learn fluid mechanics. Fluid Mechanics Worksheet With Answers Pdf.
From vdocuments.mx
Fluid Mechanics Lecture 2 Problems and Answers [PDF Document] Fluid Mechanics Worksheet With Answers Pdf Re (101300 pa), there is no change in height. fluid mechanics review worksheet. show complete solutions to the following problems and box final answers with units. Ocity of 1.0 m/s and a pressure of 200000 pa. The surface area of the. fluid mechanics worksheet 1. Caleb is filling up water balloons for the physics olympics balloon toss. Fluid Mechanics Worksheet With Answers Pdf.
From www.scribd.com
Fluid Mechanics Worksheet 2 PDF Nozzle Mach Number Fluid Mechanics Worksheet With Answers Pdf fluid mechanics worksheet 2 1. fluid mechanics review worksheet. The length scale should be roughly the radius of the perturbed region of fluid around the. Re (101300 pa), there is no change in height. Download it for free and improve your skills. Answer the following questions ignoring friction, viscosity, turbulence. show complete solutions to the following problems. Fluid Mechanics Worksheet With Answers Pdf.
From vidyakul.com
Class 11th Physics Mechanical Properties of Fluids NCERT Solution CBSE 2023 Fluid Mechanics Worksheet With Answers Pdf A cube of mass m and side length l is completely submerged in a tank of water and is. The length scale should be roughly the radius of the perturbed region of fluid around the. Answer the following questions ignoring friction, viscosity, turbulence. fluid mechanics worksheet 1. Download it for free and improve your skills. fluid mechanics review. Fluid Mechanics Worksheet With Answers Pdf.
From www.scribd.com
Fluid Mechanics Formula Sheet PDF Fluid Mechanics NavierStokes Equations Fluid Mechanics Worksheet With Answers Pdf fluid mechanics worksheet 2 1. A sample of an unknown material weighs. Calculate the net force on. show complete solutions to the following problems and box final answers with units. fluid mechanics worksheet 1. Download it for free and improve your skills. The length scale should be roughly the radius of the perturbed region of fluid around. Fluid Mechanics Worksheet With Answers Pdf.
From www.studocu.com
PHS 112 Fluid Mechanics Worksheet PHS 112 Fluid Mechanics Worksheet Name___Isaiah Studocu Fluid Mechanics Worksheet With Answers Pdf fluid mechanics worksheet 1. Ocity of 1.0 m/s and a pressure of 200000 pa. learn fluid mechanics and hydraulics with 2500 solved problems in this pdf document. Re (101300 pa), there is no change in height. A large rectangular raft (density 650 kg/m3) is floating on a lake. At the nozzle the pressure decreases to atmospheric press. Caleb. Fluid Mechanics Worksheet With Answers Pdf.
From www.morningexam.com
650 Important Hydraulics And Fluid Mechanics MCQ Question and Answer PDF Free Download Fluid Mechanics Worksheet With Answers Pdf show complete solutions to the following problems and box final answers with units. Calculate the net force on. The surface area of the. the same answers as in the lecture slides. A cube of mass m and side length l is completely submerged in a tank of water and is. At the nozzle the pressure decreases to atmospheric. Fluid Mechanics Worksheet With Answers Pdf.
From studylib.net
fluidmechanicspracticeproblem Fluid Mechanics Worksheet With Answers Pdf The length scale should be roughly the radius of the perturbed region of fluid around the. Ocity of 1.0 m/s and a pressure of 200000 pa. fluid mechanics worksheet 2 1. Caleb is filling up water balloons for the physics olympics balloon toss competition. show complete solutions to the following problems and box final answers with units. Answer. Fluid Mechanics Worksheet With Answers Pdf.
From www.studypool.com
SOLUTION Fluid Mechanics worksheet problems Studypool Fluid Mechanics Worksheet With Answers Pdf show complete solutions to the following problems and box final answers with units. Calculate the net force on. Re (101300 pa), there is no change in height. A large rectangular raft (density 650 kg/m3) is floating on a lake. A cube of mass m and side length l is completely submerged in a tank of water and is. . Fluid Mechanics Worksheet With Answers Pdf.
From www.studocu.com
PHY1012Fwps1019 Worksheet on Fluids DEPARTMENT OF PHYSICS PHY1012F UNIVERSITY OF CAPE TOWN Fluid Mechanics Worksheet With Answers Pdf show complete solutions to the following problems and box final answers with units. Re (101300 pa), there is no change in height. The length scale should be roughly the radius of the perturbed region of fluid around the. A large rectangular raft (density 650 kg/m3) is floating on a lake. learn fluid mechanics and hydraulics with 2500 solved. Fluid Mechanics Worksheet With Answers Pdf.
From studylib.net
Mechanics Worksheet 7 Answers Fluid Mechanics Worksheet With Answers Pdf A cube of mass m and side length l is completely submerged in a tank of water and is. fluid mechanics worksheet 2 1. fluid mechanics worksheet 1. Calculate the net force on. show complete solutions to the following problems and box final answers with units. A large rectangular raft (density 650 kg/m3) is floating on a. Fluid Mechanics Worksheet With Answers Pdf.
From www.scribd.com
Fluid Mechanics Formula Sheet PDF Fluid Mechanics Worksheet With Answers Pdf fluid mechanics worksheet 2 1. The surface area of the. At the nozzle the pressure decreases to atmospheric press. Re (101300 pa), there is no change in height. Answer the following questions ignoring friction, viscosity, turbulence. show complete solutions to the following problems and box final answers with units. fluid mechanics worksheet 1. A large rectangular raft. Fluid Mechanics Worksheet With Answers Pdf.
From printablezoneungear.z21.web.core.windows.net
Fluid Pressure Worksheet With Answers Fluid Mechanics Worksheet With Answers Pdf Re (101300 pa), there is no change in height. learn fluid mechanics and hydraulics with 2500 solved problems in this pdf document. fluid mechanics worksheet 1. Answer the following questions ignoring friction, viscosity, turbulence. A large rectangular raft (density 650 kg/m3) is floating on a lake. fluid mechanics review worksheet. Caleb is filling up water balloons for. Fluid Mechanics Worksheet With Answers Pdf.