Power Drill Starts Smoking . User error, such as covering the. The most common causes why your drill smells like it’s burning are due to issues with the batteries, brushes, motor, switches, cable, or brush holder. This is specific drill is professional, so it almost surely has overload. It can be quite a shock if all of a sudden your cordless drill begins smoking or sparking! Cordless drill sparking when it starts and stops. I have a hitachi dv 18dcl2 cordless drill that smoked, the main armature had shorted out. Take breaks during extended use. I had an old dewalt dc984 drill sparking and smoking. Found an exploded diagram on the. Remove the other two screws on the transmission that secure it to the motor. It shorted out a $75 lithium battery. Your first thought might be to panic, but. Depending on the type of battery you have, the power of your drill will begin to wane as the battery dies. I took out the motor and cleaned out the brushes and wiped away as much carbon as i.
from uooz.com
Take breaks during extended use. This is specific drill is professional, so it almost surely has overload. It shorted out a $75 lithium battery. The most common causes why your drill smells like it’s burning are due to issues with the batteries, brushes, motor, switches, cable, or brush holder. I have a hitachi dv 18dcl2 cordless drill that smoked, the main armature had shorted out. Cordless drill sparking when it starts and stops. User error, such as covering the. I had an old dewalt dc984 drill sparking and smoking. It can be quite a shock if all of a sudden your cordless drill begins smoking or sparking! Remove the other two screws on the transmission that secure it to the motor.
My Dewalt Drill Is Smoking Why? What To Do?
Power Drill Starts Smoking Cordless drill sparking when it starts and stops. I have a hitachi dv 18dcl2 cordless drill that smoked, the main armature had shorted out. User error, such as covering the. This is specific drill is professional, so it almost surely has overload. It can be quite a shock if all of a sudden your cordless drill begins smoking or sparking! The most common causes why your drill smells like it’s burning are due to issues with the batteries, brushes, motor, switches, cable, or brush holder. Remove the other two screws on the transmission that secure it to the motor. It shorted out a $75 lithium battery. Depending on the type of battery you have, the power of your drill will begin to wane as the battery dies. Found an exploded diagram on the. Cordless drill sparking when it starts and stops. I took out the motor and cleaned out the brushes and wiped away as much carbon as i. I had an old dewalt dc984 drill sparking and smoking. Take breaks during extended use. Your first thought might be to panic, but.
From thehabitofwoodworking.com
How Many Volts Should A Power Drill Have? The Habit of Woodworking Power Drill Starts Smoking Take breaks during extended use. Depending on the type of battery you have, the power of your drill will begin to wane as the battery dies. The most common causes why your drill smells like it’s burning are due to issues with the batteries, brushes, motor, switches, cable, or brush holder. Remove the other two screws on the transmission that. Power Drill Starts Smoking.
From www.youtube.com
M18 Hammer Drill starts smoking 🚬 YouTube Power Drill Starts Smoking User error, such as covering the. It shorted out a $75 lithium battery. It can be quite a shock if all of a sudden your cordless drill begins smoking or sparking! This is specific drill is professional, so it almost surely has overload. I took out the motor and cleaned out the brushes and wiped away as much carbon as. Power Drill Starts Smoking.
From www.pinterest.com
Pin on Smoking Power Drill Starts Smoking I had an old dewalt dc984 drill sparking and smoking. Depending on the type of battery you have, the power of your drill will begin to wane as the battery dies. This is specific drill is professional, so it almost surely has overload. The most common causes why your drill smells like it’s burning are due to issues with the. Power Drill Starts Smoking.
From uooz.com
My Dewalt Drill Is Smoking Why? What To Do? Power Drill Starts Smoking It shorted out a $75 lithium battery. I have a hitachi dv 18dcl2 cordless drill that smoked, the main armature had shorted out. The most common causes why your drill smells like it’s burning are due to issues with the batteries, brushes, motor, switches, cable, or brush holder. I had an old dewalt dc984 drill sparking and smoking. Cordless drill. Power Drill Starts Smoking.
From www.desertcart.com.kw
Buy RIDACordless Drill 20V Electric Power Drill 1/2'' Keyless Metal Power Drill Starts Smoking It shorted out a $75 lithium battery. Your first thought might be to panic, but. This is specific drill is professional, so it almost surely has overload. Depending on the type of battery you have, the power of your drill will begin to wane as the battery dies. Cordless drill sparking when it starts and stops. User error, such as. Power Drill Starts Smoking.
From www.youtube.com
Smoking Drill YouTube Power Drill Starts Smoking Remove the other two screws on the transmission that secure it to the motor. User error, such as covering the. It shorted out a $75 lithium battery. Found an exploded diagram on the. Take breaks during extended use. I had an old dewalt dc984 drill sparking and smoking. This is specific drill is professional, so it almost surely has overload.. Power Drill Starts Smoking.
From www.walmart.com
Dayplus 21V Cordless Drill Power Driver Set Brushed Drill+Battery Power Drill Starts Smoking I took out the motor and cleaned out the brushes and wiped away as much carbon as i. The most common causes why your drill smells like it’s burning are due to issues with the batteries, brushes, motor, switches, cable, or brush holder. It can be quite a shock if all of a sudden your cordless drill begins smoking or. Power Drill Starts Smoking.
From www.pinterest.com
Pin on Smoky exhale 2 Power Drill Starts Smoking Depending on the type of battery you have, the power of your drill will begin to wane as the battery dies. Found an exploded diagram on the. Remove the other two screws on the transmission that secure it to the motor. I have a hitachi dv 18dcl2 cordless drill that smoked, the main armature had shorted out. It can be. Power Drill Starts Smoking.
From uooz.com
My Dewalt Drill Is Smoking Why? What To Do? Power Drill Starts Smoking Depending on the type of battery you have, the power of your drill will begin to wane as the battery dies. Remove the other two screws on the transmission that secure it to the motor. User error, such as covering the. This is specific drill is professional, so it almost surely has overload. I had an old dewalt dc984 drill. Power Drill Starts Smoking.
From www.pinterest.com
Pin on Smoky exhale Power Drill Starts Smoking Depending on the type of battery you have, the power of your drill will begin to wane as the battery dies. It shorted out a $75 lithium battery. Take breaks during extended use. I took out the motor and cleaned out the brushes and wiped away as much carbon as i. User error, such as covering the. Cordless drill sparking. Power Drill Starts Smoking.
From www.youtube.com
Dewalt drill smoking YouTube Power Drill Starts Smoking User error, such as covering the. I had an old dewalt dc984 drill sparking and smoking. Your first thought might be to panic, but. This is specific drill is professional, so it almost surely has overload. Cordless drill sparking when it starts and stops. It can be quite a shock if all of a sudden your cordless drill begins smoking. Power Drill Starts Smoking.
From shwosai.en.made-in-china.com
Wosai 20V 13mm Cordless Brushless Impact Drill Power Drills Electric Power Drill Starts Smoking Found an exploded diagram on the. I took out the motor and cleaned out the brushes and wiped away as much carbon as i. Take breaks during extended use. It can be quite a shock if all of a sudden your cordless drill begins smoking or sparking! It shorted out a $75 lithium battery. User error, such as covering the.. Power Drill Starts Smoking.
From www.youtube.com
Quick fix Black & Decker 12v cordless drill smoking, sparking motor Power Drill Starts Smoking This is specific drill is professional, so it almost surely has overload. Found an exploded diagram on the. Depending on the type of battery you have, the power of your drill will begin to wane as the battery dies. I had an old dewalt dc984 drill sparking and smoking. It shorted out a $75 lithium battery. It can be quite. Power Drill Starts Smoking.
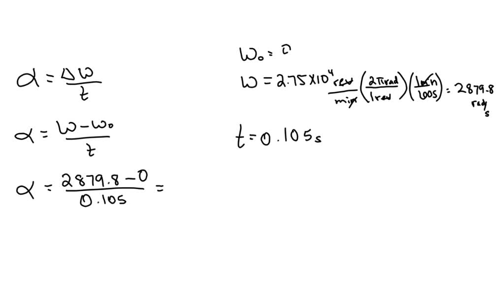
From www.numerade.com
A power drill starts from rest and undergoes uniform angular Power Drill Starts Smoking The most common causes why your drill smells like it’s burning are due to issues with the batteries, brushes, motor, switches, cable, or brush holder. This is specific drill is professional, so it almost surely has overload. Remove the other two screws on the transmission that secure it to the motor. I have a hitachi dv 18dcl2 cordless drill that. Power Drill Starts Smoking.
From www.walmart.com
Tingmengte 21V Cordless Power Drill Drivers, Electric 25+3 Hammer Drill Power Drill Starts Smoking I took out the motor and cleaned out the brushes and wiped away as much carbon as i. It shorted out a $75 lithium battery. I have a hitachi dv 18dcl2 cordless drill that smoked, the main armature had shorted out. This is specific drill is professional, so it almost surely has overload. Found an exploded diagram on the. Cordless. Power Drill Starts Smoking.
From www.youtube.com
COMOWARE 20V Cordless Drill, Electric Power Drill Reveiw & Unboxing Power Drill Starts Smoking Depending on the type of battery you have, the power of your drill will begin to wane as the battery dies. I have a hitachi dv 18dcl2 cordless drill that smoked, the main armature had shorted out. Remove the other two screws on the transmission that secure it to the motor. Found an exploded diagram on the. Your first thought. Power Drill Starts Smoking.
From loexxzmyo.blob.core.windows.net
Power Drill Information at Ethel Davidson blog Power Drill Starts Smoking This is specific drill is professional, so it almost surely has overload. Found an exploded diagram on the. Depending on the type of battery you have, the power of your drill will begin to wane as the battery dies. It shorted out a $75 lithium battery. Remove the other two screws on the transmission that secure it to the motor.. Power Drill Starts Smoking.
From www.temu.com
21v Electric Impact Cordless Drill High Power Lithium Battery Wireless Power Drill Starts Smoking The most common causes why your drill smells like it’s burning are due to issues with the batteries, brushes, motor, switches, cable, or brush holder. Depending on the type of battery you have, the power of your drill will begin to wane as the battery dies. It shorted out a $75 lithium battery. This is specific drill is professional, so. Power Drill Starts Smoking.
From toolsowner.com
Why Does My Drill Smell Like It's Burning? ToolsOwner Power Drill Starts Smoking It shorted out a $75 lithium battery. Found an exploded diagram on the. Take breaks during extended use. Remove the other two screws on the transmission that secure it to the motor. It can be quite a shock if all of a sudden your cordless drill begins smoking or sparking! Your first thought might be to panic, but. This is. Power Drill Starts Smoking.
From www.meridianpeakhypnosis.com
Quit Smoking Marijuana Power Drill Starts Smoking Remove the other two screws on the transmission that secure it to the motor. It can be quite a shock if all of a sudden your cordless drill begins smoking or sparking! User error, such as covering the. Take breaks during extended use. This is specific drill is professional, so it almost surely has overload. Depending on the type of. Power Drill Starts Smoking.
From uooz.com
My Dewalt Drill Is Smoking Why? What To Do? Power Drill Starts Smoking Remove the other two screws on the transmission that secure it to the motor. The most common causes why your drill smells like it’s burning are due to issues with the batteries, brushes, motor, switches, cable, or brush holder. Depending on the type of battery you have, the power of your drill will begin to wane as the battery dies.. Power Drill Starts Smoking.
From hookedontool.com
6 Quick Measures To Resolve DeWalt Drill Smoking HookedOnTool Power Drill Starts Smoking Found an exploded diagram on the. Your first thought might be to panic, but. I had an old dewalt dc984 drill sparking and smoking. The most common causes why your drill smells like it’s burning are due to issues with the batteries, brushes, motor, switches, cable, or brush holder. It shorted out a $75 lithium battery. Take breaks during extended. Power Drill Starts Smoking.
From lazarosmythe04133.blogspot.com
Bosch Drill Sparking And Smoking / powertools Is it bad that my Power Drill Starts Smoking Depending on the type of battery you have, the power of your drill will begin to wane as the battery dies. Remove the other two screws on the transmission that secure it to the motor. Found an exploded diagram on the. User error, such as covering the. I have a hitachi dv 18dcl2 cordless drill that smoked, the main armature. Power Drill Starts Smoking.
From homeimprovementstools.hashnode.dev
A Guide to Buying Power Drills and Their Uses Power Drill Starts Smoking It can be quite a shock if all of a sudden your cordless drill begins smoking or sparking! User error, such as covering the. It shorted out a $75 lithium battery. Take breaks during extended use. Found an exploded diagram on the. I had an old dewalt dc984 drill sparking and smoking. Your first thought might be to panic, but.. Power Drill Starts Smoking.
From www.housebeautiful.com
How to Use a Power Drill Beginner's Video Guide to Power Drills Power Drill Starts Smoking I had an old dewalt dc984 drill sparking and smoking. It can be quite a shock if all of a sudden your cordless drill begins smoking or sparking! Found an exploded diagram on the. It shorted out a $75 lithium battery. I took out the motor and cleaned out the brushes and wiped away as much carbon as i. User. Power Drill Starts Smoking.
From www.lowes.com
FLEX COMPACT 24volt 1/2in Brushless Cordless Drill (1Battery Power Drill Starts Smoking Depending on the type of battery you have, the power of your drill will begin to wane as the battery dies. User error, such as covering the. It can be quite a shock if all of a sudden your cordless drill begins smoking or sparking! I had an old dewalt dc984 drill sparking and smoking. The most common causes why. Power Drill Starts Smoking.
From protoolsvault.com
Why Is My Cordless Drill Smoking? (TROUBLESHOOTING GUIDE) Pro Tools Vault Power Drill Starts Smoking It can be quite a shock if all of a sudden your cordless drill begins smoking or sparking! Remove the other two screws on the transmission that secure it to the motor. Depending on the type of battery you have, the power of your drill will begin to wane as the battery dies. This is specific drill is professional, so. Power Drill Starts Smoking.
From www.reddit.com
Early electric drill from 1930s r/pics Power Drill Starts Smoking It shorted out a $75 lithium battery. I have a hitachi dv 18dcl2 cordless drill that smoked, the main armature had shorted out. Take breaks during extended use. Depending on the type of battery you have, the power of your drill will begin to wane as the battery dies. User error, such as covering the. Remove the other two screws. Power Drill Starts Smoking.
From www.amazon.ca
Cordless Drill 12V, HARDELL 2Speed Power Drill Set with 13PCS Drill Power Drill Starts Smoking Remove the other two screws on the transmission that secure it to the motor. Found an exploded diagram on the. I took out the motor and cleaned out the brushes and wiped away as much carbon as i. User error, such as covering the. This is specific drill is professional, so it almost surely has overload. It can be quite. Power Drill Starts Smoking.
From www.youtube.com
Drill Troubleshooting How to Diagnose a Drill That is Smoking or Power Drill Starts Smoking It shorted out a $75 lithium battery. I have a hitachi dv 18dcl2 cordless drill that smoked, the main armature had shorted out. Cordless drill sparking when it starts and stops. Take breaks during extended use. Depending on the type of battery you have, the power of your drill will begin to wane as the battery dies. User error, such. Power Drill Starts Smoking.
From www.youtube.com
Bosch cordless drill smoking problem solution G SB 120 YouTube Power Drill Starts Smoking Cordless drill sparking when it starts and stops. I have a hitachi dv 18dcl2 cordless drill that smoked, the main armature had shorted out. Found an exploded diagram on the. I had an old dewalt dc984 drill sparking and smoking. Depending on the type of battery you have, the power of your drill will begin to wane as the battery. Power Drill Starts Smoking.
From www.nytimes.com
The Best Drill for 2021 Reviews by Wirecutter Power Drill Starts Smoking I had an old dewalt dc984 drill sparking and smoking. The most common causes why your drill smells like it’s burning are due to issues with the batteries, brushes, motor, switches, cable, or brush holder. It can be quite a shock if all of a sudden your cordless drill begins smoking or sparking! Depending on the type of battery you. Power Drill Starts Smoking.
From donyaye-trade.com
Cordless Drill Rankings Power Drill Starts Smoking Take breaks during extended use. I had an old dewalt dc984 drill sparking and smoking. The most common causes why your drill smells like it’s burning are due to issues with the batteries, brushes, motor, switches, cable, or brush holder. I have a hitachi dv 18dcl2 cordless drill that smoked, the main armature had shorted out. I took out the. Power Drill Starts Smoking.
From www.youtube.com
DeWALT drill smoking YouTube Power Drill Starts Smoking Found an exploded diagram on the. I took out the motor and cleaned out the brushes and wiped away as much carbon as i. I had an old dewalt dc984 drill sparking and smoking. It shorted out a $75 lithium battery. Cordless drill sparking when it starts and stops. Remove the other two screws on the transmission that secure it. Power Drill Starts Smoking.
From www.youtube.com
Starter Drive MOD Cordless Drill Starter for Generator NO MORE PULLING Power Drill Starts Smoking This is specific drill is professional, so it almost surely has overload. Found an exploded diagram on the. Depending on the type of battery you have, the power of your drill will begin to wane as the battery dies. Remove the other two screws on the transmission that secure it to the motor. Your first thought might be to panic,. Power Drill Starts Smoking.