What Is Normally The Highest Short Circuit Current . “the maximum short circuit current a component, assembly, or equipment can safely withstand when protected by a specifi c. What determines which type of fault current is the. It is the maximum instantaneous value of the current that will reach during the first moment of a short circuit current. I pc is the rms value of the periodic component of the short. Pscc is also known as available fault current or short.
from www.youtube.com
Pscc is also known as available fault current or short. It is the maximum instantaneous value of the current that will reach during the first moment of a short circuit current. I pc is the rms value of the periodic component of the short. What determines which type of fault current is the. “the maximum short circuit current a component, assembly, or equipment can safely withstand when protected by a specifi c.
Short circuit current calculation YouTube
What Is Normally The Highest Short Circuit Current What determines which type of fault current is the. It is the maximum instantaneous value of the current that will reach during the first moment of a short circuit current. Pscc is also known as available fault current or short. What determines which type of fault current is the. “the maximum short circuit current a component, assembly, or equipment can safely withstand when protected by a specifi c. I pc is the rms value of the periodic component of the short.
From electricalacademia.com
Series Parallel Circuit Series Parallel Circuit Examples Electrical What Is Normally The Highest Short Circuit Current I pc is the rms value of the periodic component of the short. What determines which type of fault current is the. Pscc is also known as available fault current or short. “the maximum short circuit current a component, assembly, or equipment can safely withstand when protected by a specifi c. It is the maximum instantaneous value of the current. What Is Normally The Highest Short Circuit Current.
From www.semanticscholar.org
ShortCircuit Withstand Current Rating for Low Voltage Switchgear What Is Normally The Highest Short Circuit Current It is the maximum instantaneous value of the current that will reach during the first moment of a short circuit current. Pscc is also known as available fault current or short. What determines which type of fault current is the. I pc is the rms value of the periodic component of the short. “the maximum short circuit current a component,. What Is Normally The Highest Short Circuit Current.
From www.youtube.com
Short Circuit Calculations and Symmetrical Components Part 1 YouTube What Is Normally The Highest Short Circuit Current It is the maximum instantaneous value of the current that will reach during the first moment of a short circuit current. What determines which type of fault current is the. Pscc is also known as available fault current or short. I pc is the rms value of the periodic component of the short. “the maximum short circuit current a component,. What Is Normally The Highest Short Circuit Current.
From www.kebamerica.com
Short Circuit Current Rating (SCCR) and Fuse Selection KEB What Is Normally The Highest Short Circuit Current Pscc is also known as available fault current or short. I pc is the rms value of the periodic component of the short. It is the maximum instantaneous value of the current that will reach during the first moment of a short circuit current. “the maximum short circuit current a component, assembly, or equipment can safely withstand when protected by. What Is Normally The Highest Short Circuit Current.
From www.factomart.com.sg
Guide to 'ShortCircuit Current Calculations' Bussman by Eaton Factomart What Is Normally The Highest Short Circuit Current What determines which type of fault current is the. It is the maximum instantaneous value of the current that will reach during the first moment of a short circuit current. I pc is the rms value of the periodic component of the short. Pscc is also known as available fault current or short. “the maximum short circuit current a component,. What Is Normally The Highest Short Circuit Current.
From www.researchgate.net
Values of shortcircuit currents depending on the place of occurrence What Is Normally The Highest Short Circuit Current What determines which type of fault current is the. “the maximum short circuit current a component, assembly, or equipment can safely withstand when protected by a specifi c. I pc is the rms value of the periodic component of the short. It is the maximum instantaneous value of the current that will reach during the first moment of a short. What Is Normally The Highest Short Circuit Current.
From www.semanticscholar.org
Table 1 from SHORTCIRCUIT CURRENTS CALCULATION IN DISTRIBUTION What Is Normally The Highest Short Circuit Current What determines which type of fault current is the. I pc is the rms value of the periodic component of the short. It is the maximum instantaneous value of the current that will reach during the first moment of a short circuit current. “the maximum short circuit current a component, assembly, or equipment can safely withstand when protected by a. What Is Normally The Highest Short Circuit Current.
From diagramdatastephanie.z13.web.core.windows.net
Short Circuit Current Diagram What Is Normally The Highest Short Circuit Current “the maximum short circuit current a component, assembly, or equipment can safely withstand when protected by a specifi c. I pc is the rms value of the periodic component of the short. Pscc is also known as available fault current or short. What determines which type of fault current is the. It is the maximum instantaneous value of the current. What Is Normally The Highest Short Circuit Current.
From yandelkruwharding.blogspot.com
What is a Short Circuit YandelkruwHarding What Is Normally The Highest Short Circuit Current What determines which type of fault current is the. I pc is the rms value of the periodic component of the short. “the maximum short circuit current a component, assembly, or equipment can safely withstand when protected by a specifi c. It is the maximum instantaneous value of the current that will reach during the first moment of a short. What Is Normally The Highest Short Circuit Current.
From www.researchgate.net
Increasing shortcircuit current leading to decreasing di/dt at CZ What Is Normally The Highest Short Circuit Current Pscc is also known as available fault current or short. I pc is the rms value of the periodic component of the short. “the maximum short circuit current a component, assembly, or equipment can safely withstand when protected by a specifi c. What determines which type of fault current is the. It is the maximum instantaneous value of the current. What Is Normally The Highest Short Circuit Current.
From www.wiredrawingmachine.org
initial symmetrical short circuit current What Is Normally The Highest Short Circuit Current Pscc is also known as available fault current or short. “the maximum short circuit current a component, assembly, or equipment can safely withstand when protected by a specifi c. It is the maximum instantaneous value of the current that will reach during the first moment of a short circuit current. I pc is the rms value of the periodic component. What Is Normally The Highest Short Circuit Current.
From www.scribd.com
Short Circuit Current Calculation What Is Normally The Highest Short Circuit Current What determines which type of fault current is the. It is the maximum instantaneous value of the current that will reach during the first moment of a short circuit current. I pc is the rms value of the periodic component of the short. “the maximum short circuit current a component, assembly, or equipment can safely withstand when protected by a. What Is Normally The Highest Short Circuit Current.
From www.heattreattoday.com
Understanding the Short Circuit Current Rating Heat Treat Today What Is Normally The Highest Short Circuit Current It is the maximum instantaneous value of the current that will reach during the first moment of a short circuit current. I pc is the rms value of the periodic component of the short. What determines which type of fault current is the. Pscc is also known as available fault current or short. “the maximum short circuit current a component,. What Is Normally The Highest Short Circuit Current.
From www.researchgate.net
(PDF) Short circuit current calculations What Is Normally The Highest Short Circuit Current I pc is the rms value of the periodic component of the short. What determines which type of fault current is the. Pscc is also known as available fault current or short. “the maximum short circuit current a component, assembly, or equipment can safely withstand when protected by a specifi c. It is the maximum instantaneous value of the current. What Is Normally The Highest Short Circuit Current.
From www.solutionspile.com
[Solved] Problem 9. 1. Find the opencircuit voltage (Voc) What Is Normally The Highest Short Circuit Current What determines which type of fault current is the. It is the maximum instantaneous value of the current that will reach during the first moment of a short circuit current. I pc is the rms value of the periodic component of the short. “the maximum short circuit current a component, assembly, or equipment can safely withstand when protected by a. What Is Normally The Highest Short Circuit Current.
From electrical-engineer-guide.blogspot.com
GUIDE TO ELECTRICAL ENGINEERING SHORT CIRCUIT LEVELS What Is Normally The Highest Short Circuit Current It is the maximum instantaneous value of the current that will reach during the first moment of a short circuit current. What determines which type of fault current is the. I pc is the rms value of the periodic component of the short. Pscc is also known as available fault current or short. “the maximum short circuit current a component,. What Is Normally The Highest Short Circuit Current.
From www.cmp-products.com
Peak Fault & RMS What is a Short Circuit? CMP Products Texas Inc What Is Normally The Highest Short Circuit Current “the maximum short circuit current a component, assembly, or equipment can safely withstand when protected by a specifi c. Pscc is also known as available fault current or short. I pc is the rms value of the periodic component of the short. What determines which type of fault current is the. It is the maximum instantaneous value of the current. What Is Normally The Highest Short Circuit Current.
From studylib.net
The ShortCircuit Current Gain hfe What Is Normally The Highest Short Circuit Current It is the maximum instantaneous value of the current that will reach during the first moment of a short circuit current. Pscc is also known as available fault current or short. What determines which type of fault current is the. “the maximum short circuit current a component, assembly, or equipment can safely withstand when protected by a specifi c. I. What Is Normally The Highest Short Circuit Current.
From wiraelectrical.com
Open Circuit vs Short Circuit Full Explanation Wira Electrical What Is Normally The Highest Short Circuit Current It is the maximum instantaneous value of the current that will reach during the first moment of a short circuit current. What determines which type of fault current is the. Pscc is also known as available fault current or short. I pc is the rms value of the periodic component of the short. “the maximum short circuit current a component,. What Is Normally The Highest Short Circuit Current.
From www.open2hire.com
Short Circuit Current Calculation What Is Normally The Highest Short Circuit Current What determines which type of fault current is the. “the maximum short circuit current a component, assembly, or equipment can safely withstand when protected by a specifi c. It is the maximum instantaneous value of the current that will reach during the first moment of a short circuit current. I pc is the rms value of the periodic component of. What Is Normally The Highest Short Circuit Current.
From www.numerade.com
SOLVED The highest short circuit is Select one Short circuit two What Is Normally The Highest Short Circuit Current I pc is the rms value of the periodic component of the short. What determines which type of fault current is the. “the maximum short circuit current a component, assembly, or equipment can safely withstand when protected by a specifi c. It is the maximum instantaneous value of the current that will reach during the first moment of a short. What Is Normally The Highest Short Circuit Current.
From relaytraining.com
Calculation of ShortCircuit Current from Silent Sentinels 1924 What Is Normally The Highest Short Circuit Current “the maximum short circuit current a component, assembly, or equipment can safely withstand when protected by a specifi c. What determines which type of fault current is the. It is the maximum instantaneous value of the current that will reach during the first moment of a short circuit current. I pc is the rms value of the periodic component of. What Is Normally The Highest Short Circuit Current.
From electricalacademia.com
Circuit Breaker Ratings and Specifications Circuit Breaker Nameplate What Is Normally The Highest Short Circuit Current What determines which type of fault current is the. Pscc is also known as available fault current or short. I pc is the rms value of the periodic component of the short. It is the maximum instantaneous value of the current that will reach during the first moment of a short circuit current. “the maximum short circuit current a component,. What Is Normally The Highest Short Circuit Current.
From www.youtube.com
Short circuit current calculation YouTube What Is Normally The Highest Short Circuit Current What determines which type of fault current is the. I pc is the rms value of the periodic component of the short. It is the maximum instantaneous value of the current that will reach during the first moment of a short circuit current. Pscc is also known as available fault current or short. “the maximum short circuit current a component,. What Is Normally The Highest Short Circuit Current.
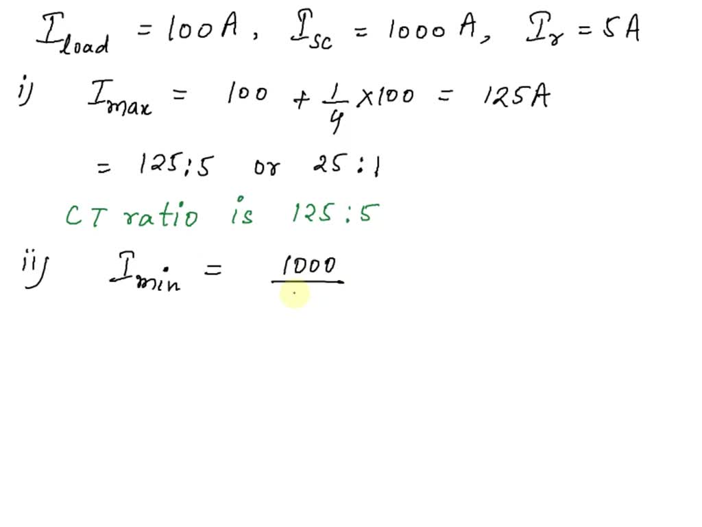
From www.numerade.com
SOLVED (d) The load current in a system is 100 A. The shortcircuit What Is Normally The Highest Short Circuit Current I pc is the rms value of the periodic component of the short. Pscc is also known as available fault current or short. “the maximum short circuit current a component, assembly, or equipment can safely withstand when protected by a specifi c. It is the maximum instantaneous value of the current that will reach during the first moment of a. What Is Normally The Highest Short Circuit Current.
From www.youtube.com
Simple Way to Calculate Short Circuit Current Using Point to Point What Is Normally The Highest Short Circuit Current I pc is the rms value of the periodic component of the short. What determines which type of fault current is the. “the maximum short circuit current a component, assembly, or equipment can safely withstand when protected by a specifi c. It is the maximum instantaneous value of the current that will reach during the first moment of a short. What Is Normally The Highest Short Circuit Current.
From www.citywideelectric.net
How to Find a Short Circuit in Your Home Citywide Electric LLC What Is Normally The Highest Short Circuit Current “the maximum short circuit current a component, assembly, or equipment can safely withstand when protected by a specifi c. Pscc is also known as available fault current or short. It is the maximum instantaneous value of the current that will reach during the first moment of a short circuit current. What determines which type of fault current is the. I. What Is Normally The Highest Short Circuit Current.
From www.researchgate.net
Limit for the shortcircuit current and the opencircuit voltage What Is Normally The Highest Short Circuit Current It is the maximum instantaneous value of the current that will reach during the first moment of a short circuit current. What determines which type of fault current is the. I pc is the rms value of the periodic component of the short. “the maximum short circuit current a component, assembly, or equipment can safely withstand when protected by a. What Is Normally The Highest Short Circuit Current.
From www.youtube.com
SHORT CIRCUIT CURRENT CALCULATION BY USING POINTTO POINT METHODOLOGY What Is Normally The Highest Short Circuit Current “the maximum short circuit current a component, assembly, or equipment can safely withstand when protected by a specifi c. What determines which type of fault current is the. It is the maximum instantaneous value of the current that will reach during the first moment of a short circuit current. Pscc is also known as available fault current or short. I. What Is Normally The Highest Short Circuit Current.
From www.mdpi.com
Energies Free FullText Impact of the ShortCircuit Current Value What Is Normally The Highest Short Circuit Current “the maximum short circuit current a component, assembly, or equipment can safely withstand when protected by a specifi c. What determines which type of fault current is the. It is the maximum instantaneous value of the current that will reach during the first moment of a short circuit current. I pc is the rms value of the periodic component of. What Is Normally The Highest Short Circuit Current.
From electricalworkbook.com
Short Circuit Definition, Diagram & Theory ElectricalWorkbook What Is Normally The Highest Short Circuit Current What determines which type of fault current is the. It is the maximum instantaneous value of the current that will reach during the first moment of a short circuit current. Pscc is also known as available fault current or short. “the maximum short circuit current a component, assembly, or equipment can safely withstand when protected by a specifi c. I. What Is Normally The Highest Short Circuit Current.
From www.electricaldesks.com
Short Circuit Current What Is Normally The Highest Short Circuit Current Pscc is also known as available fault current or short. “the maximum short circuit current a component, assembly, or equipment can safely withstand when protected by a specifi c. I pc is the rms value of the periodic component of the short. What determines which type of fault current is the. It is the maximum instantaneous value of the current. What Is Normally The Highest Short Circuit Current.
From www.ispag.org
short in a circuit What Is Normally The Highest Short Circuit Current I pc is the rms value of the periodic component of the short. What determines which type of fault current is the. Pscc is also known as available fault current or short. “the maximum short circuit current a component, assembly, or equipment can safely withstand when protected by a specifi c. It is the maximum instantaneous value of the current. What Is Normally The Highest Short Circuit Current.
From www.youtube.com
calculation of short circuit current transformer short circuit What Is Normally The Highest Short Circuit Current It is the maximum instantaneous value of the current that will reach during the first moment of a short circuit current. Pscc is also known as available fault current or short. What determines which type of fault current is the. “the maximum short circuit current a component, assembly, or equipment can safely withstand when protected by a specifi c. I. What Is Normally The Highest Short Circuit Current.
From leafelectricalsafety.com
Maximum Available Fault Current What is it And How To Calculate It What Is Normally The Highest Short Circuit Current Pscc is also known as available fault current or short. It is the maximum instantaneous value of the current that will reach during the first moment of a short circuit current. I pc is the rms value of the periodic component of the short. What determines which type of fault current is the. “the maximum short circuit current a component,. What Is Normally The Highest Short Circuit Current.