Ice Table For N2 3H2 2Nh3 . 3h2 + n2 2nh3 initial 0.30 0.20 0 change end 0.15 complete with. What is important when finding the change value is the ratios between the. The following ice table for reaction 3h2(g) + n2(g) $2nh3(g) is based on the molar concentrations: It does not matter which reactant or product you assign x to. Calculate the concentration changes and, subsequently, the equilibrium concentrations. Astronomy, physics, chemistry, and math tutor. The following is a how to make an ice chart using the example to illustrate the process. 3 mol n 2 * (2 mol nh 3 / 1 mol n 2) = 6 mol nh 3. To understand the initial concentrations of h2 and n2 present in the solution, consider using an ice (initial, change, equilibrium) table. Assume n2 and h2 having initial concentrations a and b,. Ice tables are composed of the concentrations of molecules in solution in different stages of a reaction, and are usually used to calculate the k,. A mixture consisting initially of 3.00 moles nh 3 , 2.00 moles of n 2 , and 5.00 moles of h 2 , in a 5.00 l. 3 mol h 2 * (2 mol.
from www.toppr.com
The following is a how to make an ice chart using the example to illustrate the process. The following ice table for reaction 3h2(g) + n2(g) $2nh3(g) is based on the molar concentrations: A mixture consisting initially of 3.00 moles nh 3 , 2.00 moles of n 2 , and 5.00 moles of h 2 , in a 5.00 l. 3 mol h 2 * (2 mol. Calculate the concentration changes and, subsequently, the equilibrium concentrations. To understand the initial concentrations of h2 and n2 present in the solution, consider using an ice (initial, change, equilibrium) table. 3h2 + n2 2nh3 initial 0.30 0.20 0 change end 0.15 complete with. What is important when finding the change value is the ratios between the. 3 mol n 2 * (2 mol nh 3 / 1 mol n 2) = 6 mol nh 3. Astronomy, physics, chemistry, and math tutor.
For the reaction N2+ 3H2 2NH3;ΔH
Ice Table For N2 3H2 2Nh3 The following ice table for reaction 3h2(g) + n2(g) $2nh3(g) is based on the molar concentrations: 3 mol h 2 * (2 mol. Astronomy, physics, chemistry, and math tutor. Ice tables are composed of the concentrations of molecules in solution in different stages of a reaction, and are usually used to calculate the k,. The following ice table for reaction 3h2(g) + n2(g) $2nh3(g) is based on the molar concentrations: To understand the initial concentrations of h2 and n2 present in the solution, consider using an ice (initial, change, equilibrium) table. It does not matter which reactant or product you assign x to. The following is a how to make an ice chart using the example to illustrate the process. A mixture consisting initially of 3.00 moles nh 3 , 2.00 moles of n 2 , and 5.00 moles of h 2 , in a 5.00 l. 3 mol n 2 * (2 mol nh 3 / 1 mol n 2) = 6 mol nh 3. Calculate the concentration changes and, subsequently, the equilibrium concentrations. What is important when finding the change value is the ratios between the. 3h2 + n2 2nh3 initial 0.30 0.20 0 change end 0.15 complete with. Assume n2 and h2 having initial concentrations a and b,.
From www.numerade.com
For the reaction N2 + 3H2 ⇌ 2NH3, the value of Kp is 3.6×10^2 at Ice Table For N2 3H2 2Nh3 Assume n2 and h2 having initial concentrations a and b,. 3 mol h 2 * (2 mol. To understand the initial concentrations of h2 and n2 present in the solution, consider using an ice (initial, change, equilibrium) table. A mixture consisting initially of 3.00 moles nh 3 , 2.00 moles of n 2 , and 5.00 moles of h 2. Ice Table For N2 3H2 2Nh3.
From www.numerade.com
SOLVED Equilibrium ICE 1 Consider the following reaction N2(g) + 3H2 Ice Table For N2 3H2 2Nh3 Astronomy, physics, chemistry, and math tutor. 3h2 + n2 2nh3 initial 0.30 0.20 0 change end 0.15 complete with. The following ice table for reaction 3h2(g) + n2(g) $2nh3(g) is based on the molar concentrations: The following is a how to make an ice chart using the example to illustrate the process. It does not matter which reactant or product. Ice Table For N2 3H2 2Nh3.
From www.chegg.com
Solved For each chemical reaction listed in the table below, Ice Table For N2 3H2 2Nh3 The following is a how to make an ice chart using the example to illustrate the process. Assume n2 and h2 having initial concentrations a and b,. Calculate the concentration changes and, subsequently, the equilibrium concentrations. Ice tables are composed of the concentrations of molecules in solution in different stages of a reaction, and are usually used to calculate the. Ice Table For N2 3H2 2Nh3.
From www.coursehero.com
[Solved] The equilibrium constant Kc for the reaction N2 + 3H2 2NH3 Ice Table For N2 3H2 2Nh3 A mixture consisting initially of 3.00 moles nh 3 , 2.00 moles of n 2 , and 5.00 moles of h 2 , in a 5.00 l. To understand the initial concentrations of h2 and n2 present in the solution, consider using an ice (initial, change, equilibrium) table. 3 mol h 2 * (2 mol. 3h2 + n2 2nh3 initial. Ice Table For N2 3H2 2Nh3.
From askfilo.com
5. For the reactionN2 +3H2 ⇌2NH3 ;1/2 N2 +3/2H2 ⇌NH3 Equilibrium const.. Ice Table For N2 3H2 2Nh3 Assume n2 and h2 having initial concentrations a and b,. What is important when finding the change value is the ratios between the. Ice tables are composed of the concentrations of molecules in solution in different stages of a reaction, and are usually used to calculate the k,. To understand the initial concentrations of h2 and n2 present in the. Ice Table For N2 3H2 2Nh3.
From www.bartleby.com
Answered Use this reaction for the question and… bartleby Ice Table For N2 3H2 2Nh3 Calculate the concentration changes and, subsequently, the equilibrium concentrations. Astronomy, physics, chemistry, and math tutor. To understand the initial concentrations of h2 and n2 present in the solution, consider using an ice (initial, change, equilibrium) table. Assume n2 and h2 having initial concentrations a and b,. 3 mol h 2 * (2 mol. A mixture consisting initially of 3.00 moles. Ice Table For N2 3H2 2Nh3.
From www.numerade.com
SOLVED Consider the following balanced equation N2 (g) + 3H2 (g Ice Table For N2 3H2 2Nh3 It does not matter which reactant or product you assign x to. Astronomy, physics, chemistry, and math tutor. Assume n2 and h2 having initial concentrations a and b,. Ice tables are composed of the concentrations of molecules in solution in different stages of a reaction, and are usually used to calculate the k,. What is important when finding the change. Ice Table For N2 3H2 2Nh3.
From byjus.com
For a reaction, N2(g)+3H2(g) →2NH3 (g), the rate of formation of NH_3 Ice Table For N2 3H2 2Nh3 3 mol n 2 * (2 mol nh 3 / 1 mol n 2) = 6 mol nh 3. The following is a how to make an ice chart using the example to illustrate the process. Assume n2 and h2 having initial concentrations a and b,. 3 mol h 2 * (2 mol. Ice tables are composed of the concentrations. Ice Table For N2 3H2 2Nh3.
From slideplayer.com
Chapter Thirteen CHEMICAL EQUILIBRIUM. ppt download Ice Table For N2 3H2 2Nh3 The following is a how to make an ice chart using the example to illustrate the process. It does not matter which reactant or product you assign x to. Assume n2 and h2 having initial concentrations a and b,. 3 mol n 2 * (2 mol nh 3 / 1 mol n 2) = 6 mol nh 3. Astronomy, physics,. Ice Table For N2 3H2 2Nh3.
From slideplayer.com
Unit 10 Thermodynamics, & Equilibrium ppt download Ice Table For N2 3H2 2Nh3 3h2 + n2 2nh3 initial 0.30 0.20 0 change end 0.15 complete with. Astronomy, physics, chemistry, and math tutor. It does not matter which reactant or product you assign x to. The following is a how to make an ice chart using the example to illustrate the process. Ice tables are composed of the concentrations of molecules in solution in. Ice Table For N2 3H2 2Nh3.
From www.slideserve.com
PPT The Equilibrium Constant, K, and The Reaction Quotient, Q Ice Table For N2 3H2 2Nh3 The following ice table for reaction 3h2(g) + n2(g) $2nh3(g) is based on the molar concentrations: A mixture consisting initially of 3.00 moles nh 3 , 2.00 moles of n 2 , and 5.00 moles of h 2 , in a 5.00 l. Calculate the concentration changes and, subsequently, the equilibrium concentrations. Assume n2 and h2 having initial concentrations a. Ice Table For N2 3H2 2Nh3.
From www.chegg.com
Solved The gas phase reaction, N2+3H2=2NH3, is carried out Ice Table For N2 3H2 2Nh3 Ice tables are composed of the concentrations of molecules in solution in different stages of a reaction, and are usually used to calculate the k,. Assume n2 and h2 having initial concentrations a and b,. What is important when finding the change value is the ratios between the. A mixture consisting initially of 3.00 moles nh 3 , 2.00 moles. Ice Table For N2 3H2 2Nh3.
From www.toppr.com
For the reaction, N2 + 3H2 2NH3 , the rate is expressed as Ice Table For N2 3H2 2Nh3 To understand the initial concentrations of h2 and n2 present in the solution, consider using an ice (initial, change, equilibrium) table. Assume n2 and h2 having initial concentrations a and b,. Ice tables are composed of the concentrations of molecules in solution in different stages of a reaction, and are usually used to calculate the k,. The following ice table. Ice Table For N2 3H2 2Nh3.
From www.toppr.com
For the reaction N2+ 3H2 2NH3;ΔH Ice Table For N2 3H2 2Nh3 Ice tables are composed of the concentrations of molecules in solution in different stages of a reaction, and are usually used to calculate the k,. 3h2 + n2 2nh3 initial 0.30 0.20 0 change end 0.15 complete with. 3 mol n 2 * (2 mol nh 3 / 1 mol n 2) = 6 mol nh 3. It does not. Ice Table For N2 3H2 2Nh3.
From slideplayer.com
Chemical Equilibrium AP Chem Unit ppt download Ice Table For N2 3H2 2Nh3 3 mol n 2 * (2 mol nh 3 / 1 mol n 2) = 6 mol nh 3. Ice tables are composed of the concentrations of molecules in solution in different stages of a reaction, and are usually used to calculate the k,. What is important when finding the change value is the ratios between the. Astronomy, physics, chemistry,. Ice Table For N2 3H2 2Nh3.
From www.numerade.com
SOLVED 2. Reaction equilibrium. The HaberBosch process is used to Ice Table For N2 3H2 2Nh3 A mixture consisting initially of 3.00 moles nh 3 , 2.00 moles of n 2 , and 5.00 moles of h 2 , in a 5.00 l. Ice tables are composed of the concentrations of molecules in solution in different stages of a reaction, and are usually used to calculate the k,. Astronomy, physics, chemistry, and math tutor. Assume n2. Ice Table For N2 3H2 2Nh3.
From slideplayer.com
Chemical Equilibrium AP Chem Unit ppt download Ice Table For N2 3H2 2Nh3 3h2 + n2 2nh3 initial 0.30 0.20 0 change end 0.15 complete with. Astronomy, physics, chemistry, and math tutor. The following ice table for reaction 3h2(g) + n2(g) $2nh3(g) is based on the molar concentrations: The following is a how to make an ice chart using the example to illustrate the process. Assume n2 and h2 having initial concentrations a. Ice Table For N2 3H2 2Nh3.
From www.bartleby.com
Answered N2 + 3H2 → 2NH3 bartleby Ice Table For N2 3H2 2Nh3 The following is a how to make an ice chart using the example to illustrate the process. 3 mol h 2 * (2 mol. To understand the initial concentrations of h2 and n2 present in the solution, consider using an ice (initial, change, equilibrium) table. Astronomy, physics, chemistry, and math tutor. What is important when finding the change value is. Ice Table For N2 3H2 2Nh3.
From www.rumuslengkap.my.id
√ Rumus Tetapan Kesetimbangan Untuk Reaksi N2(G) + 3H2(G) ⇌ 2Nh3(G Ice Table For N2 3H2 2Nh3 What is important when finding the change value is the ratios between the. To understand the initial concentrations of h2 and n2 present in the solution, consider using an ice (initial, change, equilibrium) table. The following is a how to make an ice chart using the example to illustrate the process. 3h2 + n2 2nh3 initial 0.30 0.20 0 change. Ice Table For N2 3H2 2Nh3.
From www.numerade.com
SOLVED Consider the equilibrium system described by the chemical Ice Table For N2 3H2 2Nh3 3 mol n 2 * (2 mol nh 3 / 1 mol n 2) = 6 mol nh 3. It does not matter which reactant or product you assign x to. To understand the initial concentrations of h2 and n2 present in the solution, consider using an ice (initial, change, equilibrium) table. Calculate the concentration changes and, subsequently, the equilibrium. Ice Table For N2 3H2 2Nh3.
From brainly.in
The equilibrium constant Kc for the reaction N2(g)+ 3H2(g)⇌ 2NH3(g)N2(g Ice Table For N2 3H2 2Nh3 Astronomy, physics, chemistry, and math tutor. 3h2 + n2 2nh3 initial 0.30 0.20 0 change end 0.15 complete with. Calculate the concentration changes and, subsequently, the equilibrium concentrations. What is important when finding the change value is the ratios between the. Ice tables are composed of the concentrations of molecules in solution in different stages of a reaction, and are. Ice Table For N2 3H2 2Nh3.
From brainly.com
N2 (g) + 3H2 (g) ⇔ 2NH3 (g) + Energy Complete the table below by Ice Table For N2 3H2 2Nh3 Assume n2 and h2 having initial concentrations a and b,. 3 mol n 2 * (2 mol nh 3 / 1 mol n 2) = 6 mol nh 3. It does not matter which reactant or product you assign x to. The following is a how to make an ice chart using the example to illustrate the process. Calculate the. Ice Table For N2 3H2 2Nh3.
From www.toppr.com
hich one of the following equilibrium moves backward when pressure is Ice Table For N2 3H2 2Nh3 Astronomy, physics, chemistry, and math tutor. To understand the initial concentrations of h2 and n2 present in the solution, consider using an ice (initial, change, equilibrium) table. The following ice table for reaction 3h2(g) + n2(g) $2nh3(g) is based on the molar concentrations: Calculate the concentration changes and, subsequently, the equilibrium concentrations. Assume n2 and h2 having initial concentrations a. Ice Table For N2 3H2 2Nh3.
From brainly.com
For the nitrogen fixation reaction, 3h2(g) + n2(g) 2nh3(g), kc = 6.0 × Ice Table For N2 3H2 2Nh3 It does not matter which reactant or product you assign x to. 3 mol h 2 * (2 mol. 3h2 + n2 2nh3 initial 0.30 0.20 0 change end 0.15 complete with. The following ice table for reaction 3h2(g) + n2(g) $2nh3(g) is based on the molar concentrations: Ice tables are composed of the concentrations of molecules in solution in. Ice Table For N2 3H2 2Nh3.
From w20.b2m.cz
N2 G 3h2 G 2nh3 G EDUCA Ice Table For N2 3H2 2Nh3 Assume n2 and h2 having initial concentrations a and b,. 3 mol h 2 * (2 mol. The following ice table for reaction 3h2(g) + n2(g) $2nh3(g) is based on the molar concentrations: 3h2 + n2 2nh3 initial 0.30 0.20 0 change end 0.15 complete with. A mixture consisting initially of 3.00 moles nh 3 , 2.00 moles of n. Ice Table For N2 3H2 2Nh3.
From www.numerade.com
SOLVED Estimate the standard reaction Gibbs energy of N2(g) + 3H2(g Ice Table For N2 3H2 2Nh3 3h2 + n2 2nh3 initial 0.30 0.20 0 change end 0.15 complete with. Calculate the concentration changes and, subsequently, the equilibrium concentrations. 3 mol h 2 * (2 mol. Assume n2 and h2 having initial concentrations a and b,. A mixture consisting initially of 3.00 moles nh 3 , 2.00 moles of n 2 , and 5.00 moles of h. Ice Table For N2 3H2 2Nh3.
From askfilo.com
The equilibrium constants of the following are N2 +3H2 ⇌2NH3 N2 +O2 ⇌2N.. Ice Table For N2 3H2 2Nh3 3 mol h 2 * (2 mol. Calculate the concentration changes and, subsequently, the equilibrium concentrations. Astronomy, physics, chemistry, and math tutor. Ice tables are composed of the concentrations of molecules in solution in different stages of a reaction, and are usually used to calculate the k,. 3 mol n 2 * (2 mol nh 3 / 1 mol n. Ice Table For N2 3H2 2Nh3.
From www.chegg.com
Solved belowN2(g)+3H2(g)→2NH3(g)\table[[Experiment Ice Table For N2 3H2 2Nh3 The following is a how to make an ice chart using the example to illustrate the process. It does not matter which reactant or product you assign x to. The following ice table for reaction 3h2(g) + n2(g) $2nh3(g) is based on the molar concentrations: 3h2 + n2 2nh3 initial 0.30 0.20 0 change end 0.15 complete with. 3 mol. Ice Table For N2 3H2 2Nh3.
From www.chegg.com
Solved Consider the following reaction N2(g) + 3H2(g) = Ice Table For N2 3H2 2Nh3 Astronomy, physics, chemistry, and math tutor. Ice tables are composed of the concentrations of molecules in solution in different stages of a reaction, and are usually used to calculate the k,. The following ice table for reaction 3h2(g) + n2(g) $2nh3(g) is based on the molar concentrations: A mixture consisting initially of 3.00 moles nh 3 , 2.00 moles of. Ice Table For N2 3H2 2Nh3.
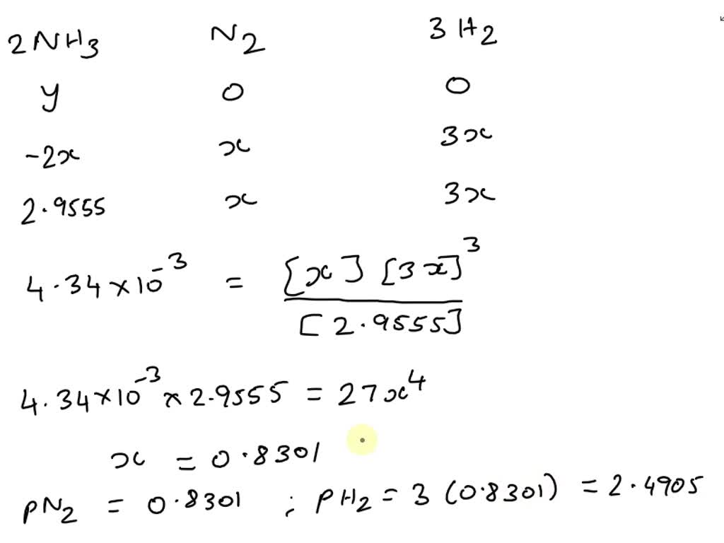
From www.numerade.com
SOLVED N2(g) + 3H2(g) ⇌ 2NH3(g) is Kp = 4.34 × 10^(3) at 300 °C Ice Table For N2 3H2 2Nh3 The following ice table for reaction 3h2(g) + n2(g) $2nh3(g) is based on the molar concentrations: Astronomy, physics, chemistry, and math tutor. The following is a how to make an ice chart using the example to illustrate the process. A mixture consisting initially of 3.00 moles nh 3 , 2.00 moles of n 2 , and 5.00 moles of h. Ice Table For N2 3H2 2Nh3.
From www.chegg.com
Solved Consider the following balanced equation N () 3H2(g) Ice Table For N2 3H2 2Nh3 Assume n2 and h2 having initial concentrations a and b,. To understand the initial concentrations of h2 and n2 present in the solution, consider using an ice (initial, change, equilibrium) table. Ice tables are composed of the concentrations of molecules in solution in different stages of a reaction, and are usually used to calculate the k,. 3 mol h 2. Ice Table For N2 3H2 2Nh3.
From slideplayer.com
Balancing, Writing, and Naming Equations ppt download Ice Table For N2 3H2 2Nh3 3 mol n 2 * (2 mol nh 3 / 1 mol n 2) = 6 mol nh 3. 3 mol h 2 * (2 mol. The following ice table for reaction 3h2(g) + n2(g) $2nh3(g) is based on the molar concentrations: To understand the initial concentrations of h2 and n2 present in the solution, consider using an ice (initial,. Ice Table For N2 3H2 2Nh3.
From www.numerade.com
Do the following actions and fill in the table below Action Balanced Ice Table For N2 3H2 2Nh3 Assume n2 and h2 having initial concentrations a and b,. Calculate the concentration changes and, subsequently, the equilibrium concentrations. 3h2 + n2 2nh3 initial 0.30 0.20 0 change end 0.15 complete with. 3 mol n 2 * (2 mol nh 3 / 1 mol n 2) = 6 mol nh 3. Ice tables are composed of the concentrations of molecules. Ice Table For N2 3H2 2Nh3.
From www.chegg.com
Solved The standard reaction free energy AG34. kJ for this Ice Table For N2 3H2 2Nh3 3 mol n 2 * (2 mol nh 3 / 1 mol n 2) = 6 mol nh 3. Astronomy, physics, chemistry, and math tutor. It does not matter which reactant or product you assign x to. The following ice table for reaction 3h2(g) + n2(g) $2nh3(g) is based on the molar concentrations: What is important when finding the change. Ice Table For N2 3H2 2Nh3.
From www.numerade.com
SOLVED Consider the following reaction N2(g) + 3H2(g) = 2NH3(g) In a Ice Table For N2 3H2 2Nh3 3 mol h 2 * (2 mol. Astronomy, physics, chemistry, and math tutor. 3h2 + n2 2nh3 initial 0.30 0.20 0 change end 0.15 complete with. 3 mol n 2 * (2 mol nh 3 / 1 mol n 2) = 6 mol nh 3. Calculate the concentration changes and, subsequently, the equilibrium concentrations. Assume n2 and h2 having initial. Ice Table For N2 3H2 2Nh3.