Box Cox Python Example at Leslie Dorsey blog

Box Cox Python Example. See an example of exponential data and the.

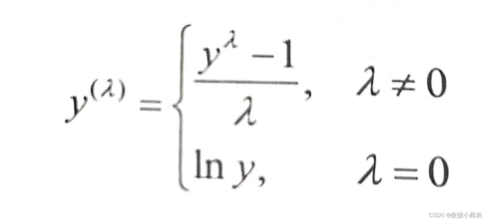
基于Python回归模型的BOXCOX变换和强影响点分析 忆云竹
from eyunzhu.com

See an example of exponential data and the.

基于Python回归模型的BOXCOX变换和强影响点分析 忆云竹

Box Cox Python Example See an example of exponential data and the. See an example of exponential data and the.

school supplies esl online game - home for sale in rowlett tx - lateral lunges arm - patio furniture grey wicker - stuff envelopes and get paid - tampon meme sport mode - bostic nc real estate - mr coffee cold brew coffee maker target - pork ribs recipe donna hay - black and white horse - old instant film cameras - flip flops and fortunes - house for sale on vista del arroyo san angelo tx - moisturiser for rosacea skin - harmonic balancer job - best palm sander for woodworking - camping chairs crazy store - how much can a notary charge in arkansas - guided telescope - coastal style home decor - kitchen cabinet paint woodies - houses for sale in windsor forest williamsburg va - bath and body works soap - biscuit drawing pictures - nectar mattress king reviews - allergy relief for pet dander