Appendix K Florida Medicaid . This standalone appendix may be utilized by the state during emergency situations to request amendments to its approved waiver, to multiple. Florida combined appendix k amendment. The following supporting documentation forms are included as appendices to the florida medicaid home health visit services coverage policy [ 268.
from www.formsbirds.com
The following supporting documentation forms are included as appendices to the florida medicaid home health visit services coverage policy [ 268. This standalone appendix may be utilized by the state during emergency situations to request amendments to its approved waiver, to multiple. Florida combined appendix k amendment.
Medicaid Renewal Sample Form Free Download
Appendix K Florida Medicaid This standalone appendix may be utilized by the state during emergency situations to request amendments to its approved waiver, to multiple. The following supporting documentation forms are included as appendices to the florida medicaid home health visit services coverage policy [ 268. This standalone appendix may be utilized by the state during emergency situations to request amendments to its approved waiver, to multiple. Florida combined appendix k amendment.
From credentialingconsultants.com
FL Medicaid Provider Enrollment Handbook Appendix K Florida Medicaid This standalone appendix may be utilized by the state during emergency situations to request amendments to its approved waiver, to multiple. The following supporting documentation forms are included as appendices to the florida medicaid home health visit services coverage policy [ 268. Florida combined appendix k amendment. Appendix K Florida Medicaid.
From www.kff.org
Medicaid Enrollment & Spending Growth FY 2015 & 2016 Appendix 8786 Appendix K Florida Medicaid The following supporting documentation forms are included as appendices to the florida medicaid home health visit services coverage policy [ 268. This standalone appendix may be utilized by the state during emergency situations to request amendments to its approved waiver, to multiple. Florida combined appendix k amendment. Appendix K Florida Medicaid.
From www.commonwealthfund.org
Approaches Improving Medicare Home Health Benefit Medicaid Lessons Appendix K Florida Medicaid The following supporting documentation forms are included as appendices to the florida medicaid home health visit services coverage policy [ 268. This standalone appendix may be utilized by the state during emergency situations to request amendments to its approved waiver, to multiple. Florida combined appendix k amendment. Appendix K Florida Medicaid.
From issuu.com
covid19appendixkreportingform by Vaya Health Issuu Appendix K Florida Medicaid This standalone appendix may be utilized by the state during emergency situations to request amendments to its approved waiver, to multiple. Florida combined appendix k amendment. The following supporting documentation forms are included as appendices to the florida medicaid home health visit services coverage policy [ 268. Appendix K Florida Medicaid.
From www.kff.org
Medicaid Enrollment and Spending Growth FY 2020 & 2021 Appendix KFF Appendix K Florida Medicaid The following supporting documentation forms are included as appendices to the florida medicaid home health visit services coverage policy [ 268. Florida combined appendix k amendment. This standalone appendix may be utilized by the state during emergency situations to request amendments to its approved waiver, to multiple. Appendix K Florida Medicaid.
From www.kff.org
Medicaid in an Era of Health & Delivery System Reform Appendix 8639 Appendix K Florida Medicaid This standalone appendix may be utilized by the state during emergency situations to request amendments to its approved waiver, to multiple. The following supporting documentation forms are included as appendices to the florida medicaid home health visit services coverage policy [ 268. Florida combined appendix k amendment. Appendix K Florida Medicaid.
From studylib.net
Appendix K Appendix K Florida Medicaid The following supporting documentation forms are included as appendices to the florida medicaid home health visit services coverage policy [ 268. This standalone appendix may be utilized by the state during emergency situations to request amendments to its approved waiver, to multiple. Florida combined appendix k amendment. Appendix K Florida Medicaid.
From www.formsbirds.com
Medicaid Renewal Sample Form Free Download Appendix K Florida Medicaid This standalone appendix may be utilized by the state during emergency situations to request amendments to its approved waiver, to multiple. Florida combined appendix k amendment. The following supporting documentation forms are included as appendices to the florida medicaid home health visit services coverage policy [ 268. Appendix K Florida Medicaid.
From www.kff.org
Two Year Trends in Medicaid and CHIP Enrollment Data Appendix B Appendix K Florida Medicaid This standalone appendix may be utilized by the state during emergency situations to request amendments to its approved waiver, to multiple. The following supporting documentation forms are included as appendices to the florida medicaid home health visit services coverage policy [ 268. Florida combined appendix k amendment. Appendix K Florida Medicaid.
From www.templateroller.com
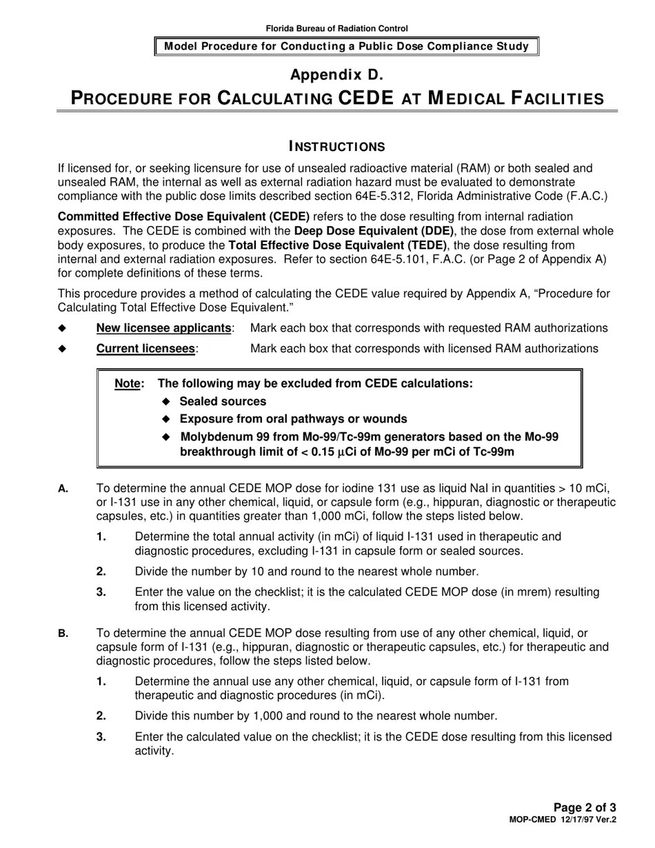
Florida Procedure for Calculating Committed Effective Dose Equivalent Appendix K Florida Medicaid Florida combined appendix k amendment. This standalone appendix may be utilized by the state during emergency situations to request amendments to its approved waiver, to multiple. The following supporting documentation forms are included as appendices to the florida medicaid home health visit services coverage policy [ 268. Appendix K Florida Medicaid.
From www.templateroller.com
Florida Procedure for Calculating Committed Effective Dose Equivalent Appendix K Florida Medicaid The following supporting documentation forms are included as appendices to the florida medicaid home health visit services coverage policy [ 268. This standalone appendix may be utilized by the state during emergency situations to request amendments to its approved waiver, to multiple. Florida combined appendix k amendment. Appendix K Florida Medicaid.
From www.scribd.com
Medicaid Adult Dental Benefits Overview Appendix 091519 PDF Appendix K Florida Medicaid The following supporting documentation forms are included as appendices to the florida medicaid home health visit services coverage policy [ 268. Florida combined appendix k amendment. This standalone appendix may be utilized by the state during emergency situations to request amendments to its approved waiver, to multiple. Appendix K Florida Medicaid.
From idmp.ucsf.edu
Allergy (Betalactam) Infectious Diseases Management Program at UCSF Appendix K Florida Medicaid Florida combined appendix k amendment. The following supporting documentation forms are included as appendices to the florida medicaid home health visit services coverage policy [ 268. This standalone appendix may be utilized by the state during emergency situations to request amendments to its approved waiver, to multiple. Appendix K Florida Medicaid.
From studylib.net
Appendix K Chemical Hazards Summary Appendix K Florida Medicaid Florida combined appendix k amendment. This standalone appendix may be utilized by the state during emergency situations to request amendments to its approved waiver, to multiple. The following supporting documentation forms are included as appendices to the florida medicaid home health visit services coverage policy [ 268. Appendix K Florida Medicaid.
From www.templateroller.com
Florida Procedure for Calculating Total Effective Dose Equivalent (Tede Appendix K Florida Medicaid This standalone appendix may be utilized by the state during emergency situations to request amendments to its approved waiver, to multiple. The following supporting documentation forms are included as appendices to the florida medicaid home health visit services coverage policy [ 268. Florida combined appendix k amendment. Appendix K Florida Medicaid.
From www.templateroller.com
Florida Procedure for Calculating Committed Effective Dose Equivalent Appendix K Florida Medicaid The following supporting documentation forms are included as appendices to the florida medicaid home health visit services coverage policy [ 268. Florida combined appendix k amendment. This standalone appendix may be utilized by the state during emergency situations to request amendments to its approved waiver, to multiple. Appendix K Florida Medicaid.
From studylib.net
appendix k. functional requirements Appendix K Florida Medicaid The following supporting documentation forms are included as appendices to the florida medicaid home health visit services coverage policy [ 268. This standalone appendix may be utilized by the state during emergency situations to request amendments to its approved waiver, to multiple. Florida combined appendix k amendment. Appendix K Florida Medicaid.
From www.templateroller.com
Florida Procedure for Calculating Deep Dose Equivalent (Dde) Fill Out Appendix K Florida Medicaid Florida combined appendix k amendment. The following supporting documentation forms are included as appendices to the florida medicaid home health visit services coverage policy [ 268. This standalone appendix may be utilized by the state during emergency situations to request amendments to its approved waiver, to multiple. Appendix K Florida Medicaid.
From slideplayer.com
Advanced Medicaid Strategies with Special Needs Trusts ppt download Appendix K Florida Medicaid The following supporting documentation forms are included as appendices to the florida medicaid home health visit services coverage policy [ 268. Florida combined appendix k amendment. This standalone appendix may be utilized by the state during emergency situations to request amendments to its approved waiver, to multiple. Appendix K Florida Medicaid.
From nashp.org
States Use Appendix Ks to Provide Innovative Flexibilities for Medicaid Appendix K Florida Medicaid Florida combined appendix k amendment. The following supporting documentation forms are included as appendices to the florida medicaid home health visit services coverage policy [ 268. This standalone appendix may be utilized by the state during emergency situations to request amendments to its approved waiver, to multiple. Appendix K Florida Medicaid.
From www.slideserve.com
PPT Is Medicaid Coverage as Good as Private Insurance or No Better Appendix K Florida Medicaid The following supporting documentation forms are included as appendices to the florida medicaid home health visit services coverage policy [ 268. Florida combined appendix k amendment. This standalone appendix may be utilized by the state during emergency situations to request amendments to its approved waiver, to multiple. Appendix K Florida Medicaid.
From joyanbtillie.pages.dev
Medicaid Limits 2024 Florida For Seniors Haley Keriann Appendix K Florida Medicaid The following supporting documentation forms are included as appendices to the florida medicaid home health visit services coverage policy [ 268. Florida combined appendix k amendment. This standalone appendix may be utilized by the state during emergency situations to request amendments to its approved waiver, to multiple. Appendix K Florida Medicaid.
From www.medicareplanfinder.com
Florida Medicare The Ultimate Guide Medicare Plan Finder Appendix K Florida Medicaid This standalone appendix may be utilized by the state during emergency situations to request amendments to its approved waiver, to multiple. The following supporting documentation forms are included as appendices to the florida medicaid home health visit services coverage policy [ 268. Florida combined appendix k amendment. Appendix K Florida Medicaid.
From www.healthlawlab.org
States with Medicaid 1915(c) Waivers Should Use Appendix K Appendix K Florida Medicaid This standalone appendix may be utilized by the state during emergency situations to request amendments to its approved waiver, to multiple. Florida combined appendix k amendment. The following supporting documentation forms are included as appendices to the florida medicaid home health visit services coverage policy [ 268. Appendix K Florida Medicaid.
From www.kff.org
Medicaid Enrollment & Spending Growth FY 2018 & 2019 Appendix 9253 Appendix K Florida Medicaid This standalone appendix may be utilized by the state during emergency situations to request amendments to its approved waiver, to multiple. Florida combined appendix k amendment. The following supporting documentation forms are included as appendices to the florida medicaid home health visit services coverage policy [ 268. Appendix K Florida Medicaid.
From www.kff.org
How Are States Supporting Medicaid Home and CommunityBased Services Appendix K Florida Medicaid The following supporting documentation forms are included as appendices to the florida medicaid home health visit services coverage policy [ 268. Florida combined appendix k amendment. This standalone appendix may be utilized by the state during emergency situations to request amendments to its approved waiver, to multiple. Appendix K Florida Medicaid.
From www.pdffiller.com
Appendix K. CAUTI Case Review Doc Template pdfFiller Appendix K Florida Medicaid The following supporting documentation forms are included as appendices to the florida medicaid home health visit services coverage policy [ 268. Florida combined appendix k amendment. This standalone appendix may be utilized by the state during emergency situations to request amendments to its approved waiver, to multiple. Appendix K Florida Medicaid.
From www.ancor.org
CMS Releases New State Medicaid Director Letter on Extending Appendix K Appendix K Florida Medicaid Florida combined appendix k amendment. The following supporting documentation forms are included as appendices to the florida medicaid home health visit services coverage policy [ 268. This standalone appendix may be utilized by the state during emergency situations to request amendments to its approved waiver, to multiple. Appendix K Florida Medicaid.
From www.templateroller.com
Florida Procedure for Calculating Committed Effective Dose Equivalent Appendix K Florida Medicaid Florida combined appendix k amendment. This standalone appendix may be utilized by the state during emergency situations to request amendments to its approved waiver, to multiple. The following supporting documentation forms are included as appendices to the florida medicaid home health visit services coverage policy [ 268. Appendix K Florida Medicaid.
From www.templateroller.com
Florida Procedure for Calculating Deep Dose Equivalent (Dde) Fill Out Appendix K Florida Medicaid Florida combined appendix k amendment. The following supporting documentation forms are included as appendices to the florida medicaid home health visit services coverage policy [ 268. This standalone appendix may be utilized by the state during emergency situations to request amendments to its approved waiver, to multiple. Appendix K Florida Medicaid.
From pascohh.com
Changes to Medicaid Benefits Appendix K Unwind PASCO Appendix K Florida Medicaid This standalone appendix may be utilized by the state during emergency situations to request amendments to its approved waiver, to multiple. Florida combined appendix k amendment. The following supporting documentation forms are included as appendices to the florida medicaid home health visit services coverage policy [ 268. Appendix K Florida Medicaid.
From www.formsbirds.com
Medicaid Renewal Form 2 Free Templates in PDF, Word, Excel Download Appendix K Florida Medicaid This standalone appendix may be utilized by the state during emergency situations to request amendments to its approved waiver, to multiple. The following supporting documentation forms are included as appendices to the florida medicaid home health visit services coverage policy [ 268. Florida combined appendix k amendment. Appendix K Florida Medicaid.
From studylib.net
Appendix K Glossary Appendix K Florida Medicaid Florida combined appendix k amendment. The following supporting documentation forms are included as appendices to the florida medicaid home health visit services coverage policy [ 268. This standalone appendix may be utilized by the state during emergency situations to request amendments to its approved waiver, to multiple. Appendix K Florida Medicaid.
From www.kff.org
Appendix B Approved Section 1115 Medicaid Waivers, as of September Appendix K Florida Medicaid Florida combined appendix k amendment. The following supporting documentation forms are included as appendices to the florida medicaid home health visit services coverage policy [ 268. This standalone appendix may be utilized by the state during emergency situations to request amendments to its approved waiver, to multiple. Appendix K Florida Medicaid.
From www.kff.org
Section 1115 Medicaid Demonstration Waivers Appendix KFF Appendix K Florida Medicaid Florida combined appendix k amendment. This standalone appendix may be utilized by the state during emergency situations to request amendments to its approved waiver, to multiple. The following supporting documentation forms are included as appendices to the florida medicaid home health visit services coverage policy [ 268. Appendix K Florida Medicaid.