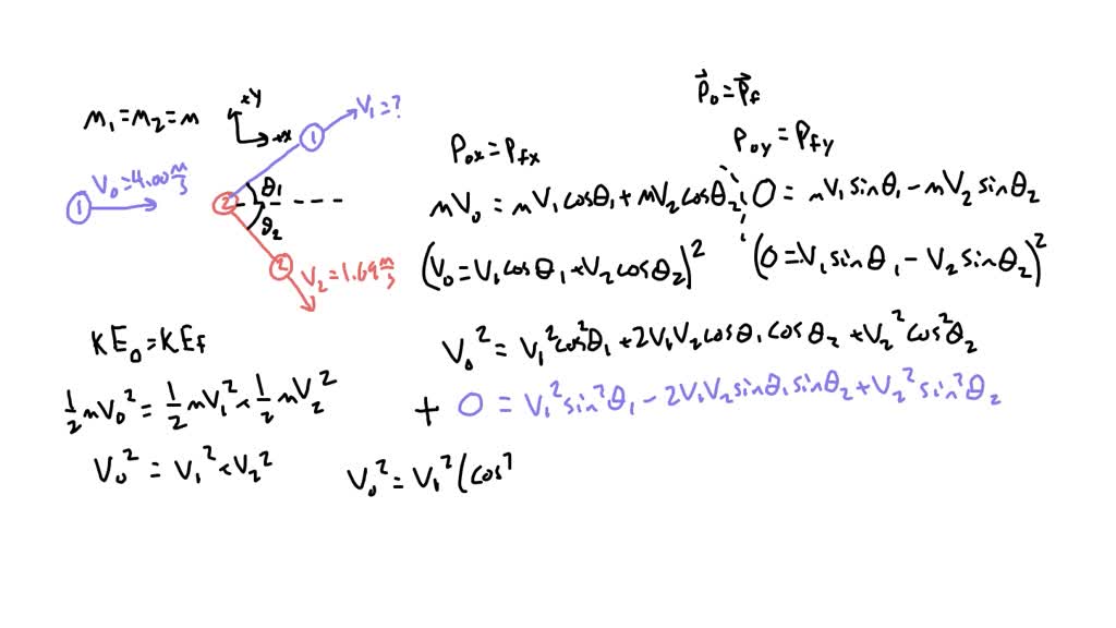
A Billiard Ball Collides With A Stationary Identical . A billiard ball collides with a stationary identical billiard ball to make it move. The faster the ball is moving, the greater its. 【solved】click here to get an answer to your question : A billiard ball collides with a stationary identical billiard ball in an elastic headon. If the collision is perfectly elastic, the first ball. After the collision, which of the following is true of. After the collision, which of the following is true of. A ball with a speed of 9 m/s collides with another identical ball at rest. The speed of a billiard ball affects the outcome of an elastic collision by determining the magnitude of its momentum. After the collision, which of the following is true of. A billiard ball traveling at 3.00 m/s collides perfectly elastically with an identical billiard ball initially at rest on the level table. After the collision, the direction of each ball makes an angle of 30°.
from questions-in.kunduz.com
The faster the ball is moving, the greater its. A billiard ball collides with a stationary identical billiard ball in an elastic headon. 【solved】click here to get an answer to your question : After the collision, which of the following is true of. If the collision is perfectly elastic, the first ball. After the collision, which of the following is true of. After the collision, the direction of each ball makes an angle of 30°. After the collision, which of the following is true of. A billiard ball traveling at 3.00 m/s collides perfectly elastically with an identical billiard ball initially at rest on the level table. A ball with a speed of 9 m/s collides with another identical ball at rest.
2 30. A ball collides with another identical station... Physics
A Billiard Ball Collides With A Stationary Identical A billiard ball collides with a stationary identical billiard ball in an elastic headon. A billiard ball traveling at 3.00 m/s collides perfectly elastically with an identical billiard ball initially at rest on the level table. A ball with a speed of 9 m/s collides with another identical ball at rest. After the collision, the direction of each ball makes an angle of 30°. After the collision, which of the following is true of. 【solved】click here to get an answer to your question : The speed of a billiard ball affects the outcome of an elastic collision by determining the magnitude of its momentum. A billiard ball collides with a stationary identical billiard ball in an elastic headon. A billiard ball collides with a stationary identical billiard ball to make it move. After the collision, which of the following is true of. If the collision is perfectly elastic, the first ball. After the collision, which of the following is true of. The faster the ball is moving, the greater its.
From www.youtube.com
A moving billiard ball collides with an identical stationary one, and A Billiard Ball Collides With A Stationary Identical After the collision, which of the following is true of. After the collision, which of the following is true of. If the collision is perfectly elastic, the first ball. A billiard ball collides with a stationary identical billiard ball to make it move. A billiard ball traveling at 3.00 m/s collides perfectly elastically with an identical billiard ball initially at. A Billiard Ball Collides With A Stationary Identical.
From www.numerade.com
SOLVED A billiard ball moving at a speed of 2.2 m / s strikes an A Billiard Ball Collides With A Stationary Identical After the collision, which of the following is true of. The faster the ball is moving, the greater its. A billiard ball collides with a stationary identical billiard ball in an elastic headon. If the collision is perfectly elastic, the first ball. The speed of a billiard ball affects the outcome of an elastic collision by determining the magnitude of. A Billiard Ball Collides With A Stationary Identical.
From www.numerade.com
SOLVEDA cue ball travels across a pool table and collides with the A Billiard Ball Collides With A Stationary Identical After the collision, which of the following is true of. A billiard ball traveling at 3.00 m/s collides perfectly elastically with an identical billiard ball initially at rest on the level table. The speed of a billiard ball affects the outcome of an elastic collision by determining the magnitude of its momentum. A billiard ball collides with a stationary identical. A Billiard Ball Collides With A Stationary Identical.
From www.chegg.com
Solved A billiard ball moving at 5 m/s strikes a stationary A Billiard Ball Collides With A Stationary Identical A billiard ball collides with a stationary identical billiard ball in an elastic headon. A ball with a speed of 9 m/s collides with another identical ball at rest. After the collision, which of the following is true of. The speed of a billiard ball affects the outcome of an elastic collision by determining the magnitude of its momentum. A. A Billiard Ball Collides With A Stationary Identical.
From www.toppr.com
A ball A collides elastically with an another identical ball B with A Billiard Ball Collides With A Stationary Identical After the collision, which of the following is true of. The faster the ball is moving, the greater its. A billiard ball traveling at 3.00 m/s collides perfectly elastically with an identical billiard ball initially at rest on the level table. After the collision, the direction of each ball makes an angle of 30°. The speed of a billiard ball. A Billiard Ball Collides With A Stationary Identical.
From www.numerade.com
A billiard ball moving at 5.00 m / s strikes a stationary ball of the A Billiard Ball Collides With A Stationary Identical 【solved】click here to get an answer to your question : After the collision, the direction of each ball makes an angle of 30°. A billiard ball collides with a stationary identical billiard ball to make it move. A billiard ball traveling at 3.00 m/s collides perfectly elastically with an identical billiard ball initially at rest on the level table. After. A Billiard Ball Collides With A Stationary Identical.
From www.numerade.com
SOLVED 16. A billiard pool ball is hit and travels with a speed of 2.0 A Billiard Ball Collides With A Stationary Identical A billiard ball collides with a stationary identical billiard ball in an elastic headon. If the collision is perfectly elastic, the first ball. After the collision, the direction of each ball makes an angle of 30°. A ball with a speed of 9 m/s collides with another identical ball at rest. A billiard ball collides with a stationary identical billiard. A Billiard Ball Collides With A Stationary Identical.
From quizlet.com
A billiard ball moving at 5.00 m/s strikes a stationary ball Quizlet A Billiard Ball Collides With A Stationary Identical If the collision is perfectly elastic, the first ball. 【solved】click here to get an answer to your question : After the collision, which of the following is true of. After the collision, which of the following is true of. The speed of a billiard ball affects the outcome of an elastic collision by determining the magnitude of its momentum. After. A Billiard Ball Collides With A Stationary Identical.
From www.toppr.com
Two identical billiard balls undergo an oblique elastic collision A Billiard Ball Collides With A Stationary Identical A billiard ball traveling at 3.00 m/s collides perfectly elastically with an identical billiard ball initially at rest on the level table. After the collision, the direction of each ball makes an angle of 30°. 【solved】click here to get an answer to your question : After the collision, which of the following is true of. After the collision, which of. A Billiard Ball Collides With A Stationary Identical.
From www.numerade.com
SOLVED A billiard ball with an initial speed of 10 m/s collides A Billiard Ball Collides With A Stationary Identical A ball with a speed of 9 m/s collides with another identical ball at rest. After the collision, which of the following is true of. The speed of a billiard ball affects the outcome of an elastic collision by determining the magnitude of its momentum. After the collision, the direction of each ball makes an angle of 30°. A billiard. A Billiard Ball Collides With A Stationary Identical.
From www.doubtnut.com
A billiard ball collides elastically with an identical stationary ball A Billiard Ball Collides With A Stationary Identical A ball with a speed of 9 m/s collides with another identical ball at rest. After the collision, the direction of each ball makes an angle of 30°. After the collision, which of the following is true of. The speed of a billiard ball affects the outcome of an elastic collision by determining the magnitude of its momentum. 【solved】click here. A Billiard Ball Collides With A Stationary Identical.
From www.youtube.com
Two identical billiard balls striks a rigid wall with the same speed A Billiard Ball Collides With A Stationary Identical A billiard ball collides with a stationary identical billiard ball in an elastic headon. After the collision, the direction of each ball makes an angle of 30°. After the collision, which of the following is true of. A ball with a speed of 9 m/s collides with another identical ball at rest. The faster the ball is moving, the greater. A Billiard Ball Collides With A Stationary Identical.
From www.youtube.com
Chapter 7, Example 9 Two dimensional elastic collision of billiard A Billiard Ball Collides With A Stationary Identical If the collision is perfectly elastic, the first ball. The speed of a billiard ball affects the outcome of an elastic collision by determining the magnitude of its momentum. The faster the ball is moving, the greater its. After the collision, which of the following is true of. A ball with a speed of 9 m/s collides with another identical. A Billiard Ball Collides With A Stationary Identical.
From www.numerade.com
SOLVED A billiard collides elastically with an identical stationary A Billiard Ball Collides With A Stationary Identical A ball with a speed of 9 m/s collides with another identical ball at rest. After the collision, which of the following is true of. The speed of a billiard ball affects the outcome of an elastic collision by determining the magnitude of its momentum. After the collision, which of the following is true of. A billiard ball collides with. A Billiard Ball Collides With A Stationary Identical.
From www.toppr.com
4. Two smooth, identical billiard balls A and B collide with B rest and A Billiard Ball Collides With A Stationary Identical After the collision, the direction of each ball makes an angle of 30°. After the collision, which of the following is true of. A billiard ball traveling at 3.00 m/s collides perfectly elastically with an identical billiard ball initially at rest on the level table. The speed of a billiard ball affects the outcome of an elastic collision by determining. A Billiard Ball Collides With A Stationary Identical.
From www.numerade.com
SOLVED A billiard ball moving at 6.00 m/s strikes a stationary ball of A Billiard Ball Collides With A Stationary Identical A ball with a speed of 9 m/s collides with another identical ball at rest. The speed of a billiard ball affects the outcome of an elastic collision by determining the magnitude of its momentum. The faster the ball is moving, the greater its. A billiard ball traveling at 3.00 m/s collides perfectly elastically with an identical billiard ball initially. A Billiard Ball Collides With A Stationary Identical.
From www.chegg.com
Solved Problem 1. A billiard ball collides with two others A Billiard Ball Collides With A Stationary Identical A billiard ball collides with a stationary identical billiard ball to make it move. The speed of a billiard ball affects the outcome of an elastic collision by determining the magnitude of its momentum. A ball with a speed of 9 m/s collides with another identical ball at rest. After the collision, which of the following is true of. If. A Billiard Ball Collides With A Stationary Identical.
From www.numerade.com
A stationary billiard ball, with a mass of 0.17 kg, is struck by an A Billiard Ball Collides With A Stationary Identical After the collision, which of the following is true of. A billiard ball traveling at 3.00 m/s collides perfectly elastically with an identical billiard ball initially at rest on the level table. A ball with a speed of 9 m/s collides with another identical ball at rest. After the collision, which of the following is true of. A billiard ball. A Billiard Ball Collides With A Stationary Identical.
From www.numerade.com
SOLVED A billiard ball moving at 5.00 m / s strikes a stationary ball A Billiard Ball Collides With A Stationary Identical A ball with a speed of 9 m/s collides with another identical ball at rest. After the collision, the direction of each ball makes an angle of 30°. After the collision, which of the following is true of. The faster the ball is moving, the greater its. 【solved】click here to get an answer to your question : After the collision,. A Billiard Ball Collides With A Stationary Identical.
From www.numerade.com
SOLVED Problem 3 A cue ball, the white one, collides along with an A Billiard Ball Collides With A Stationary Identical A ball with a speed of 9 m/s collides with another identical ball at rest. 【solved】click here to get an answer to your question : If the collision is perfectly elastic, the first ball. After the collision, the direction of each ball makes an angle of 30°. A billiard ball collides with a stationary identical billiard ball in an elastic. A Billiard Ball Collides With A Stationary Identical.
From www.chegg.com
Solved 51. A billiard ball collides with another stationary A Billiard Ball Collides With A Stationary Identical A ball with a speed of 9 m/s collides with another identical ball at rest. After the collision, which of the following is true of. A billiard ball traveling at 3.00 m/s collides perfectly elastically with an identical billiard ball initially at rest on the level table. If the collision is perfectly elastic, the first ball. 【solved】click here to get. A Billiard Ball Collides With A Stationary Identical.
From www.chegg.com
Solved As shown above, a 200 g billiard ball collides with a A Billiard Ball Collides With A Stationary Identical 【solved】click here to get an answer to your question : A billiard ball collides with a stationary identical billiard ball in an elastic headon. After the collision, the direction of each ball makes an angle of 30°. The faster the ball is moving, the greater its. A billiard ball traveling at 3.00 m/s collides perfectly elastically with an identical billiard. A Billiard Ball Collides With A Stationary Identical.
From www.numerade.com
SOLVED A billiard ball moving at 5.60 m/s strikes a stationary ball of A Billiard Ball Collides With A Stationary Identical A billiard ball collides with a stationary identical billiard ball in an elastic headon. After the collision, the direction of each ball makes an angle of 30°. The speed of a billiard ball affects the outcome of an elastic collision by determining the magnitude of its momentum. After the collision, which of the following is true of. If the collision. A Billiard Ball Collides With A Stationary Identical.
From slideplayer.com
Chapter 6 Review A ball collides with a stationary ball of the same A Billiard Ball Collides With A Stationary Identical A billiard ball traveling at 3.00 m/s collides perfectly elastically with an identical billiard ball initially at rest on the level table. After the collision, which of the following is true of. After the collision, the direction of each ball makes an angle of 30°. A billiard ball collides with a stationary identical billiard ball in an elastic headon. If. A Billiard Ball Collides With A Stationary Identical.
From e-eduanswers.com
CHECKPOINTS (continued) 10. A billiard ball collides with an identical A Billiard Ball Collides With A Stationary Identical A billiard ball collides with a stationary identical billiard ball to make it move. A ball with a speed of 9 m/s collides with another identical ball at rest. After the collision, the direction of each ball makes an angle of 30°. The speed of a billiard ball affects the outcome of an elastic collision by determining the magnitude of. A Billiard Ball Collides With A Stationary Identical.
From www.toppr.com
A billiard ball of mass M moving with velocity v1 collides with another A Billiard Ball Collides With A Stationary Identical The faster the ball is moving, the greater its. A billiard ball collides with a stationary identical billiard ball in an elastic headon. After the collision, the direction of each ball makes an angle of 30°. After the collision, which of the following is true of. After the collision, which of the following is true of. A billiard ball collides. A Billiard Ball Collides With A Stationary Identical.
From www.toppr.com
A billiards player hits a stationary ball by an identical ball to A Billiard Ball Collides With A Stationary Identical If the collision is perfectly elastic, the first ball. 【solved】click here to get an answer to your question : A billiard ball traveling at 3.00 m/s collides perfectly elastically with an identical billiard ball initially at rest on the level table. A billiard ball collides with a stationary identical billiard ball to make it move. After the collision, which of. A Billiard Ball Collides With A Stationary Identical.
From www.toppr.com
A billiard ball moving a speed of 6.6 ms1 strikes an identical A Billiard Ball Collides With A Stationary Identical A ball with a speed of 9 m/s collides with another identical ball at rest. After the collision, which of the following is true of. The faster the ball is moving, the greater its. After the collision, which of the following is true of. After the collision, which of the following is true of. After the collision, the direction of. A Billiard Ball Collides With A Stationary Identical.
From www.numerade.com
SOLVED A billiard ball moves at a speed of 4.00 m/s and collides A Billiard Ball Collides With A Stationary Identical A billiard ball collides with a stationary identical billiard ball to make it move. After the collision, the direction of each ball makes an angle of 30°. 【solved】click here to get an answer to your question : A billiard ball collides with a stationary identical billiard ball in an elastic headon. A billiard ball traveling at 3.00 m/s collides perfectly. A Billiard Ball Collides With A Stationary Identical.
From www.chegg.com
Solved 6. A billiard ball, moving with speed v, collides A Billiard Ball Collides With A Stationary Identical The speed of a billiard ball affects the outcome of an elastic collision by determining the magnitude of its momentum. A billiard ball traveling at 3.00 m/s collides perfectly elastically with an identical billiard ball initially at rest on the level table. After the collision, the direction of each ball makes an angle of 30°. 【solved】click here to get an. A Billiard Ball Collides With A Stationary Identical.
From questions-in.kunduz.com
2 30. A ball collides with another identical station... Physics A Billiard Ball Collides With A Stationary Identical A billiard ball collides with a stationary identical billiard ball to make it move. The faster the ball is moving, the greater its. After the collision, the direction of each ball makes an angle of 30°. A billiard ball collides with a stationary identical billiard ball in an elastic headon. The speed of a billiard ball affects the outcome of. A Billiard Ball Collides With A Stationary Identical.
From www.toppr.com
A billiard ball moving at 5.00 m/s strikes a stationary ball of the A Billiard Ball Collides With A Stationary Identical A ball with a speed of 9 m/s collides with another identical ball at rest. 【solved】click here to get an answer to your question : If the collision is perfectly elastic, the first ball. After the collision, which of the following is true of. A billiard ball collides with a stationary identical billiard ball in an elastic headon. A billiard. A Billiard Ball Collides With A Stationary Identical.
From www.numerade.com
SOLVEDA billiard ball sliding on a frictionless table strikes an A Billiard Ball Collides With A Stationary Identical After the collision, the direction of each ball makes an angle of 30°. A billiard ball traveling at 3.00 m/s collides perfectly elastically with an identical billiard ball initially at rest on the level table. A billiard ball collides with a stationary identical billiard ball to make it move. The speed of a billiard ball affects the outcome of an. A Billiard Ball Collides With A Stationary Identical.
From www.toppr.com
Two identical billiard balls undergo an oblique elastic collision A Billiard Ball Collides With A Stationary Identical A billiard ball collides with a stationary identical billiard ball in an elastic headon. A billiard ball traveling at 3.00 m/s collides perfectly elastically with an identical billiard ball initially at rest on the level table. If the collision is perfectly elastic, the first ball. After the collision, the direction of each ball makes an angle of 30°. The faster. A Billiard Ball Collides With A Stationary Identical.
From www.doubtnut.com
A billiard ball moving with a speed of 5 m/s collides with an identical A Billiard Ball Collides With A Stationary Identical After the collision, which of the following is true of. After the collision, which of the following is true of. A billiard ball collides with a stationary identical billiard ball in an elastic headon. If the collision is perfectly elastic, the first ball. A billiard ball collides with a stationary identical billiard ball to make it move. The faster the. A Billiard Ball Collides With A Stationary Identical.