How To Find Absolute Pressure At The Depth . Calculate density given pressure and altitude. Pabs = pg +patm (11.6.1) where pabs is absolute pressure, pg is gauge pressure, and patm is atmospheric pressure. In practical applications involving calculation of pressure as a function of depth, an important distinction must be made as to whether the absolute or relative pressure within a liquid is desired. You can enter the depth or pressure input with most common units and it will be. P abs = p g + p atm where p abs is absolute. Identify the density of the fluid (ρ), the depth of the fluid (h), and the atmospheric pressure at the surface of the fluid p a t m. Explain the variation of pressure with depth in a fluid. Plug the values for fluid density and. This calculator determines the water depth to reach a given pressure or the pressure at a given depth. For example, if your tire gauge reads 34 psi (pounds per square inch), then. The total pressure, or absolute pressure, is thus the sum of gauge pressure and atmospheric pressure:
from www.numerade.com
In practical applications involving calculation of pressure as a function of depth, an important distinction must be made as to whether the absolute or relative pressure within a liquid is desired. This calculator determines the water depth to reach a given pressure or the pressure at a given depth. Explain the variation of pressure with depth in a fluid. Pabs = pg +patm (11.6.1) where pabs is absolute pressure, pg is gauge pressure, and patm is atmospheric pressure. For example, if your tire gauge reads 34 psi (pounds per square inch), then. Identify the density of the fluid (ρ), the depth of the fluid (h), and the atmospheric pressure at the surface of the fluid p a t m. You can enter the depth or pressure input with most common units and it will be. P abs = p g + p atm where p abs is absolute. Plug the values for fluid density and. The total pressure, or absolute pressure, is thus the sum of gauge pressure and atmospheric pressure:
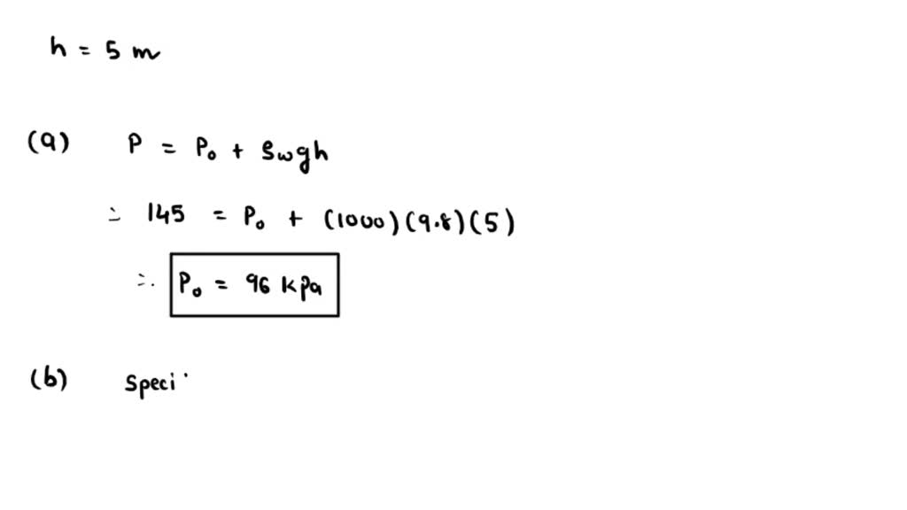
SOLVED The absolute pressure in water at a depth of 5 m is read to be
How To Find Absolute Pressure At The Depth In practical applications involving calculation of pressure as a function of depth, an important distinction must be made as to whether the absolute or relative pressure within a liquid is desired. Pabs = pg +patm (11.6.1) where pabs is absolute pressure, pg is gauge pressure, and patm is atmospheric pressure. Plug the values for fluid density and. You can enter the depth or pressure input with most common units and it will be. In practical applications involving calculation of pressure as a function of depth, an important distinction must be made as to whether the absolute or relative pressure within a liquid is desired. This calculator determines the water depth to reach a given pressure or the pressure at a given depth. P abs = p g + p atm where p abs is absolute. Explain the variation of pressure with depth in a fluid. Calculate density given pressure and altitude. For example, if your tire gauge reads 34 psi (pounds per square inch), then. Identify the density of the fluid (ρ), the depth of the fluid (h), and the atmospheric pressure at the surface of the fluid p a t m. The total pressure, or absolute pressure, is thus the sum of gauge pressure and atmospheric pressure:
From philschatz.com
Gauge Pressure, Absolute Pressure, and Pressure Measurement · Physics How To Find Absolute Pressure At The Depth In practical applications involving calculation of pressure as a function of depth, an important distinction must be made as to whether the absolute or relative pressure within a liquid is desired. Identify the density of the fluid (ρ), the depth of the fluid (h), and the atmospheric pressure at the surface of the fluid p a t m. This calculator. How To Find Absolute Pressure At The Depth.
From slidetodoc.com
Fluid Mechanics Hydrostatics AP Physics B States of How To Find Absolute Pressure At The Depth In practical applications involving calculation of pressure as a function of depth, an important distinction must be made as to whether the absolute or relative pressure within a liquid is desired. Pabs = pg +patm (11.6.1) where pabs is absolute pressure, pg is gauge pressure, and patm is atmospheric pressure. For example, if your tire gauge reads 34 psi (pounds. How To Find Absolute Pressure At The Depth.
From dxoogqxzj.blob.core.windows.net
Absolute Pressure How To Calculate at Rogelio Serafin blog How To Find Absolute Pressure At The Depth Explain the variation of pressure with depth in a fluid. Pabs = pg +patm (11.6.1) where pabs is absolute pressure, pg is gauge pressure, and patm is atmospheric pressure. In practical applications involving calculation of pressure as a function of depth, an important distinction must be made as to whether the absolute or relative pressure within a liquid is desired.. How To Find Absolute Pressure At The Depth.
From techmarz.com
Online Absolute Pressure Calculator How to Calculate Absolute Pressure? How To Find Absolute Pressure At The Depth In practical applications involving calculation of pressure as a function of depth, an important distinction must be made as to whether the absolute or relative pressure within a liquid is desired. P abs = p g + p atm where p abs is absolute. For example, if your tire gauge reads 34 psi (pounds per square inch), then. This calculator. How To Find Absolute Pressure At The Depth.
From www.chegg.com
Solved Problem 3 Calculate the absolute pressure and gage How To Find Absolute Pressure At The Depth In practical applications involving calculation of pressure as a function of depth, an important distinction must be made as to whether the absolute or relative pressure within a liquid is desired. The total pressure, or absolute pressure, is thus the sum of gauge pressure and atmospheric pressure: Plug the values for fluid density and. Explain the variation of pressure with. How To Find Absolute Pressure At The Depth.
From www.youtube.com
University Physics Lectures, Variation of Pressure With Depth YouTube How To Find Absolute Pressure At The Depth Identify the density of the fluid (ρ), the depth of the fluid (h), and the atmospheric pressure at the surface of the fluid p a t m. Plug the values for fluid density and. This calculator determines the water depth to reach a given pressure or the pressure at a given depth. In practical applications involving calculation of pressure as. How To Find Absolute Pressure At The Depth.
From www.youtube.com
Absolute Pressure vs Gauge Pressure Fluid Mechanics Physics How To Find Absolute Pressure At The Depth The total pressure, or absolute pressure, is thus the sum of gauge pressure and atmospheric pressure: For example, if your tire gauge reads 34 psi (pounds per square inch), then. Identify the density of the fluid (ρ), the depth of the fluid (h), and the atmospheric pressure at the surface of the fluid p a t m. Plug the values. How To Find Absolute Pressure At The Depth.
From www.bartleby.com
Answered (a) Calculate the absolute pressure at… bartleby How To Find Absolute Pressure At The Depth The total pressure, or absolute pressure, is thus the sum of gauge pressure and atmospheric pressure: P abs = p g + p atm where p abs is absolute. Pabs = pg +patm (11.6.1) where pabs is absolute pressure, pg is gauge pressure, and patm is atmospheric pressure. Identify the density of the fluid (ρ), the depth of the fluid. How To Find Absolute Pressure At The Depth.
From www.youtube.com
How to calculate pressure at a given depth in a tank YouTube How To Find Absolute Pressure At The Depth Explain the variation of pressure with depth in a fluid. Identify the density of the fluid (ρ), the depth of the fluid (h), and the atmospheric pressure at the surface of the fluid p a t m. In practical applications involving calculation of pressure as a function of depth, an important distinction must be made as to whether the absolute. How To Find Absolute Pressure At The Depth.
From www.numerade.com
SOLVED The absolute pressure in water at a depth of 5 m is read to be How To Find Absolute Pressure At The Depth The total pressure, or absolute pressure, is thus the sum of gauge pressure and atmospheric pressure: Pabs = pg +patm (11.6.1) where pabs is absolute pressure, pg is gauge pressure, and patm is atmospheric pressure. Plug the values for fluid density and. You can enter the depth or pressure input with most common units and it will be. Explain the. How To Find Absolute Pressure At The Depth.
From phyicsform4elit.blogspot.com
Force And Pressure Physics Form 4 Force And Pressure How To Find Absolute Pressure At The Depth The total pressure, or absolute pressure, is thus the sum of gauge pressure and atmospheric pressure: Calculate density given pressure and altitude. Pabs = pg +patm (11.6.1) where pabs is absolute pressure, pg is gauge pressure, and patm is atmospheric pressure. Explain the variation of pressure with depth in a fluid. In practical applications involving calculation of pressure as a. How To Find Absolute Pressure At The Depth.
From engineerexcel.com
Manometer Equation Calculate Pressure from a Manometer Reading How To Find Absolute Pressure At The Depth Calculate density given pressure and altitude. In practical applications involving calculation of pressure as a function of depth, an important distinction must be made as to whether the absolute or relative pressure within a liquid is desired. Plug the values for fluid density and. The total pressure, or absolute pressure, is thus the sum of gauge pressure and atmospheric pressure:. How To Find Absolute Pressure At The Depth.
From www.chegg.com
Solved Part A If the absolute pressure at a depth d in a How To Find Absolute Pressure At The Depth This calculator determines the water depth to reach a given pressure or the pressure at a given depth. Calculate density given pressure and altitude. Explain the variation of pressure with depth in a fluid. The total pressure, or absolute pressure, is thus the sum of gauge pressure and atmospheric pressure: P abs = p g + p atm where p. How To Find Absolute Pressure At The Depth.
From www.thetechedvocate.org
How to Calculate Absolute Pressure A Comprehensive Guide The Tech How To Find Absolute Pressure At The Depth Identify the density of the fluid (ρ), the depth of the fluid (h), and the atmospheric pressure at the surface of the fluid p a t m. P abs = p g + p atm where p abs is absolute. In practical applications involving calculation of pressure as a function of depth, an important distinction must be made as to. How To Find Absolute Pressure At The Depth.
From www.slideserve.com
PPT PROGRAM OF “PHYSICS” PowerPoint Presentation, free download ID How To Find Absolute Pressure At The Depth In practical applications involving calculation of pressure as a function of depth, an important distinction must be made as to whether the absolute or relative pressure within a liquid is desired. The total pressure, or absolute pressure, is thus the sum of gauge pressure and atmospheric pressure: This calculator determines the water depth to reach a given pressure or the. How To Find Absolute Pressure At The Depth.
From www.youtube.com
3. Fluid Dynamics Gauge and Absolute Pressure YouTube How To Find Absolute Pressure At The Depth Plug the values for fluid density and. Explain the variation of pressure with depth in a fluid. Calculate density given pressure and altitude. Identify the density of the fluid (ρ), the depth of the fluid (h), and the atmospheric pressure at the surface of the fluid p a t m. This calculator determines the water depth to reach a given. How To Find Absolute Pressure At The Depth.
From readingandwritingprojectcom.web.fc2.com
how to calculate absolute pressure How To Find Absolute Pressure At The Depth Identify the density of the fluid (ρ), the depth of the fluid (h), and the atmospheric pressure at the surface of the fluid p a t m. In practical applications involving calculation of pressure as a function of depth, an important distinction must be made as to whether the absolute or relative pressure within a liquid is desired. Plug the. How To Find Absolute Pressure At The Depth.
From www.youtube.com
HOW TO CALCULATE ABSOLUTE PRESSURE. YouTube How To Find Absolute Pressure At The Depth The total pressure, or absolute pressure, is thus the sum of gauge pressure and atmospheric pressure: This calculator determines the water depth to reach a given pressure or the pressure at a given depth. Calculate density given pressure and altitude. Identify the density of the fluid (ρ), the depth of the fluid (h), and the atmospheric pressure at the surface. How To Find Absolute Pressure At The Depth.
From www.slideserve.com
PPT Chapter 13 Fluids PowerPoint Presentation, free download ID350101 How To Find Absolute Pressure At The Depth Identify the density of the fluid (ρ), the depth of the fluid (h), and the atmospheric pressure at the surface of the fluid p a t m. The total pressure, or absolute pressure, is thus the sum of gauge pressure and atmospheric pressure: Explain the variation of pressure with depth in a fluid. You can enter the depth or pressure. How To Find Absolute Pressure At The Depth.
From www.numerade.com
SOLVED3 . a) Calculate the absolute pressure at an ocean depth of 1 How To Find Absolute Pressure At The Depth This calculator determines the water depth to reach a given pressure or the pressure at a given depth. Calculate density given pressure and altitude. Explain the variation of pressure with depth in a fluid. In practical applications involving calculation of pressure as a function of depth, an important distinction must be made as to whether the absolute or relative pressure. How To Find Absolute Pressure At The Depth.
From www.toppr.com
Calculate the absolute pressure at an ocean depth of 1 000 m . Assume How To Find Absolute Pressure At The Depth Pabs = pg +patm (11.6.1) where pabs is absolute pressure, pg is gauge pressure, and patm is atmospheric pressure. Calculate density given pressure and altitude. For example, if your tire gauge reads 34 psi (pounds per square inch), then. Identify the density of the fluid (ρ), the depth of the fluid (h), and the atmospheric pressure at the surface of. How To Find Absolute Pressure At The Depth.
From www.slideserve.com
PPT Physics PowerPoint Presentation, free download ID1115901 How To Find Absolute Pressure At The Depth You can enter the depth or pressure input with most common units and it will be. The total pressure, or absolute pressure, is thus the sum of gauge pressure and atmospheric pressure: For example, if your tire gauge reads 34 psi (pounds per square inch), then. Explain the variation of pressure with depth in a fluid. In practical applications involving. How To Find Absolute Pressure At The Depth.
From dxosltxtd.blob.core.windows.net
How To Change Gauge Pressure To Absolute Pressure at Michael Duffy blog How To Find Absolute Pressure At The Depth Pabs = pg +patm (11.6.1) where pabs is absolute pressure, pg is gauge pressure, and patm is atmospheric pressure. Identify the density of the fluid (ρ), the depth of the fluid (h), and the atmospheric pressure at the surface of the fluid p a t m. Plug the values for fluid density and. Calculate density given pressure and altitude. This. How To Find Absolute Pressure At The Depth.
From atelier-yuwa.ciao.jp
How To Find The Absolute Pressure In A Constant Density Fluid At A How To Find Absolute Pressure At The Depth Pabs = pg +patm (11.6.1) where pabs is absolute pressure, pg is gauge pressure, and patm is atmospheric pressure. You can enter the depth or pressure input with most common units and it will be. Identify the density of the fluid (ρ), the depth of the fluid (h), and the atmospheric pressure at the surface of the fluid p a. How To Find Absolute Pressure At The Depth.
From www.youtube.com
Calculate absolute pressure of a tank YouTube How To Find Absolute Pressure At The Depth For example, if your tire gauge reads 34 psi (pounds per square inch), then. This calculator determines the water depth to reach a given pressure or the pressure at a given depth. Explain the variation of pressure with depth in a fluid. Identify the density of the fluid (ρ), the depth of the fluid (h), and the atmospheric pressure at. How To Find Absolute Pressure At The Depth.
From joinelqmj.blob.core.windows.net
Absolute Pressure In Physics at Leigh Milligan blog How To Find Absolute Pressure At The Depth For example, if your tire gauge reads 34 psi (pounds per square inch), then. This calculator determines the water depth to reach a given pressure or the pressure at a given depth. Plug the values for fluid density and. Identify the density of the fluid (ρ), the depth of the fluid (h), and the atmospheric pressure at the surface of. How To Find Absolute Pressure At The Depth.
From philschatz.com
Variation of Pressure with Depth in a Fluid · Physics How To Find Absolute Pressure At The Depth P abs = p g + p atm where p abs is absolute. Pabs = pg +patm (11.6.1) where pabs is absolute pressure, pg is gauge pressure, and patm is atmospheric pressure. This calculator determines the water depth to reach a given pressure or the pressure at a given depth. Plug the values for fluid density and. Explain the variation. How To Find Absolute Pressure At The Depth.
From www.youtube.com
How to calculate Absolute pressure, Gauge Pressure and Atmospheric How To Find Absolute Pressure At The Depth For example, if your tire gauge reads 34 psi (pounds per square inch), then. P abs = p g + p atm where p abs is absolute. Calculate density given pressure and altitude. Identify the density of the fluid (ρ), the depth of the fluid (h), and the atmospheric pressure at the surface of the fluid p a t m.. How To Find Absolute Pressure At The Depth.
From atelier-yuwa.ciao.jp
How To Find The Absolute Pressure In A Constant Density Fluid At A How To Find Absolute Pressure At The Depth In practical applications involving calculation of pressure as a function of depth, an important distinction must be made as to whether the absolute or relative pressure within a liquid is desired. P abs = p g + p atm where p abs is absolute. Plug the values for fluid density and. Explain the variation of pressure with depth in a. How To Find Absolute Pressure At The Depth.
From www.numerade.com
Calculate the absolute pressure at an ocean depth of 1.0 km. Assume How To Find Absolute Pressure At The Depth P abs = p g + p atm where p abs is absolute. Plug the values for fluid density and. In practical applications involving calculation of pressure as a function of depth, an important distinction must be made as to whether the absolute or relative pressure within a liquid is desired. Explain the variation of pressure with depth in a. How To Find Absolute Pressure At The Depth.
From www.youtube.com
Measuring Absolute and Gauge Pressure of Fluids Using U Tube Manometers How To Find Absolute Pressure At The Depth Plug the values for fluid density and. Explain the variation of pressure with depth in a fluid. Calculate density given pressure and altitude. The total pressure, or absolute pressure, is thus the sum of gauge pressure and atmospheric pressure: This calculator determines the water depth to reach a given pressure or the pressure at a given depth. You can enter. How To Find Absolute Pressure At The Depth.
From www.youtube.com
Absolute Pressure YouTube How To Find Absolute Pressure At The Depth For example, if your tire gauge reads 34 psi (pounds per square inch), then. Explain the variation of pressure with depth in a fluid. Plug the values for fluid density and. The total pressure, or absolute pressure, is thus the sum of gauge pressure and atmospheric pressure: This calculator determines the water depth to reach a given pressure or the. How To Find Absolute Pressure At The Depth.
From slidetodoc.com
Fluid Mechanics Hydrostatics AP Physics B States of How To Find Absolute Pressure At The Depth Plug the values for fluid density and. In practical applications involving calculation of pressure as a function of depth, an important distinction must be made as to whether the absolute or relative pressure within a liquid is desired. Identify the density of the fluid (ρ), the depth of the fluid (h), and the atmospheric pressure at the surface of the. How To Find Absolute Pressure At The Depth.
From atelier-yuwa.ciao.jp
How To Find The Absolute Pressure In A Constant Density Fluid At A How To Find Absolute Pressure At The Depth Explain the variation of pressure with depth in a fluid. Calculate density given pressure and altitude. This calculator determines the water depth to reach a given pressure or the pressure at a given depth. You can enter the depth or pressure input with most common units and it will be. Identify the density of the fluid (ρ), the depth of. How To Find Absolute Pressure At The Depth.
From www.numerade.com
SOLVED2. (a) calculate the absolute pressure at an ocean depth of 1000 How To Find Absolute Pressure At The Depth Explain the variation of pressure with depth in a fluid. You can enter the depth or pressure input with most common units and it will be. In practical applications involving calculation of pressure as a function of depth, an important distinction must be made as to whether the absolute or relative pressure within a liquid is desired. Plug the values. How To Find Absolute Pressure At The Depth.