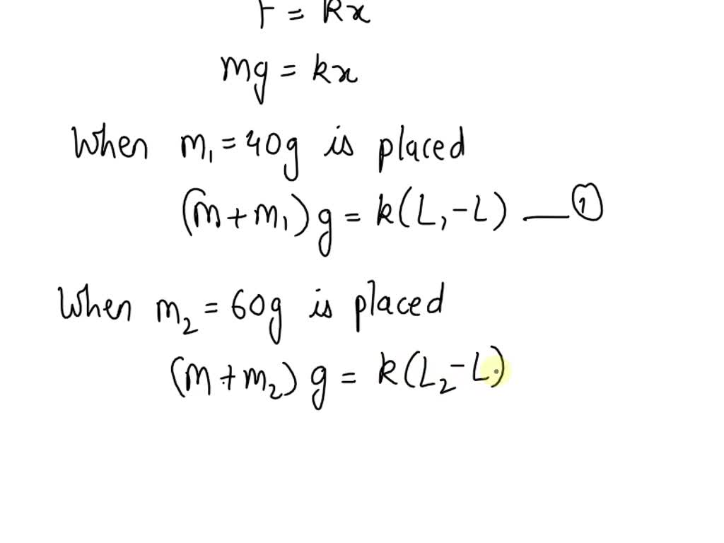
The Pan Attached To A Spring Balance Has A Mass Of 1 Kg . When a 2 kg weight is placed on the pan, the. We are given a system where a pan attached to a spring balance has a mass of 1 kg. A mass of 2.5 kg is attached to a spring that has a value of k equal to 600 n m−1. If the weight stretches the spring by 12 cm, find the frequency. Hook's law is similar to force of gravity. A weight of kg when placed on the pan stretches the spring by 10 cm. A weight of 3 kg is placed on the pan of mass 1kg of a spring balance. In this lesson, the motion of a mass on a spring is discussed in detail as we focus on how a variety of quantities change over. (a) determine the value of the damping constant b. The equilibrium point is where the mass would hang at rest, where the force of gravity. A mass of $2.0 \mathrm{~kg}$ is put on a flat pan attached to a vertical spring fixed on the ground as shown in the figure. The motion of a mass attached to a spring is an example of a vibrating system. Spring balance is a mechanical device used for measuring the weight or force of an object by opposing the force of gravity with the. The pan attached to a spring balance has a mass of 1 kg.
from zhengya688.en.made-in-china.com
The pan attached to a spring balance has a mass of 1 kg. Hook's law is similar to force of gravity. We are given a system where a pan attached to a spring balance has a mass of 1 kg. When a 2 kg weight is placed on the pan, the. A mass of $2.0 \mathrm{~kg}$ is put on a flat pan attached to a vertical spring fixed on the ground as shown in the figure. The motion of a mass attached to a spring is an example of a vibrating system. Spring balance is a mechanical device used for measuring the weight or force of an object by opposing the force of gravity with the. A weight of kg when placed on the pan stretches the spring by 10 cm. A mass of 2.5 kg is attached to a spring that has a value of k equal to 600 n m−1. A weight of 3 kg is placed on the pan of mass 1kg of a spring balance.
Spring Balance Aluminium Hanging Scale China Spring and Balance
The Pan Attached To A Spring Balance Has A Mass Of 1 Kg A mass of $2.0 \mathrm{~kg}$ is put on a flat pan attached to a vertical spring fixed on the ground as shown in the figure. The motion of a mass attached to a spring is an example of a vibrating system. Spring balance is a mechanical device used for measuring the weight or force of an object by opposing the force of gravity with the. A weight of 3 kg is placed on the pan of mass 1kg of a spring balance. In this lesson, the motion of a mass on a spring is discussed in detail as we focus on how a variety of quantities change over. Hook's law is similar to force of gravity. A mass of 2.5 kg is attached to a spring that has a value of k equal to 600 n m−1. If the weight stretches the spring by 12 cm, find the frequency. When a 2 kg weight is placed on the pan, the. A weight of kg when placed on the pan stretches the spring by 10 cm. The pan attached to a spring balance has a mass of 1 kg. The equilibrium point is where the mass would hang at rest, where the force of gravity. A mass of $2.0 \mathrm{~kg}$ is put on a flat pan attached to a vertical spring fixed on the ground as shown in the figure. We are given a system where a pan attached to a spring balance has a mass of 1 kg. (a) determine the value of the damping constant b.
From www.doubtnut.com
A 1kg block situated on a rough incline is connected to a spring of The Pan Attached To A Spring Balance Has A Mass Of 1 Kg In this lesson, the motion of a mass on a spring is discussed in detail as we focus on how a variety of quantities change over. Spring balance is a mechanical device used for measuring the weight or force of an object by opposing the force of gravity with the. We are given a system where a pan attached to. The Pan Attached To A Spring Balance Has A Mass Of 1 Kg.
From www.chegg.com
Solved a When a 100 g (0.1 kg) mass is attached to a spring The Pan Attached To A Spring Balance Has A Mass Of 1 Kg When a 2 kg weight is placed on the pan, the. The motion of a mass attached to a spring is an example of a vibrating system. Hook's law is similar to force of gravity. The pan attached to a spring balance has a mass of 1 kg. The equilibrium point is where the mass would hang at rest, where. The Pan Attached To A Spring Balance Has A Mass Of 1 Kg.
From ar.inspiredpencil.com
Spring Balance Diagram The Pan Attached To A Spring Balance Has A Mass Of 1 Kg The equilibrium point is where the mass would hang at rest, where the force of gravity. Spring balance is a mechanical device used for measuring the weight or force of an object by opposing the force of gravity with the. The motion of a mass attached to a spring is an example of a vibrating system. When a 2 kg. The Pan Attached To A Spring Balance Has A Mass Of 1 Kg.
From zhengya688.en.made-in-china.com
Spring Balance Aluminium Hanging Scale China Spring and Balance The Pan Attached To A Spring Balance Has A Mass Of 1 Kg In this lesson, the motion of a mass on a spring is discussed in detail as we focus on how a variety of quantities change over. Hook's law is similar to force of gravity. We are given a system where a pan attached to a spring balance has a mass of 1 kg. (a) determine the value of the damping. The Pan Attached To A Spring Balance Has A Mass Of 1 Kg.
From fyoafudxu.blob.core.windows.net
Spring Balance Measure Weight Or Mass at Lisa Jensen blog The Pan Attached To A Spring Balance Has A Mass Of 1 Kg A weight of 3 kg is placed on the pan of mass 1kg of a spring balance. A weight of kg when placed on the pan stretches the spring by 10 cm. Spring balance is a mechanical device used for measuring the weight or force of an object by opposing the force of gravity with the. In this lesson, the. The Pan Attached To A Spring Balance Has A Mass Of 1 Kg.
From www.youtube.com
Primary Pan Balance YouTube The Pan Attached To A Spring Balance Has A Mass Of 1 Kg When a 2 kg weight is placed on the pan, the. (a) determine the value of the damping constant b. We are given a system where a pan attached to a spring balance has a mass of 1 kg. The equilibrium point is where the mass would hang at rest, where the force of gravity. The pan attached to a. The Pan Attached To A Spring Balance Has A Mass Of 1 Kg.
From www.youtube.com
Chapter 10, Mass attached to a spring notes YouTube The Pan Attached To A Spring Balance Has A Mass Of 1 Kg If the weight stretches the spring by 12 cm, find the frequency. (a) determine the value of the damping constant b. The pan attached to a spring balance has a mass of 1 kg. Spring balance is a mechanical device used for measuring the weight or force of an object by opposing the force of gravity with the. A weight. The Pan Attached To A Spring Balance Has A Mass Of 1 Kg.
From www.doubtnut.com
The pan attached to a spring balance has a mass of 1 kg. A weight of The Pan Attached To A Spring Balance Has A Mass Of 1 Kg The equilibrium point is where the mass would hang at rest, where the force of gravity. (a) determine the value of the damping constant b. We are given a system where a pan attached to a spring balance has a mass of 1 kg. Spring balance is a mechanical device used for measuring the weight or force of an object. The Pan Attached To A Spring Balance Has A Mass Of 1 Kg.
From www.advance-africa.com
Physics Notes Form 2 Free Download KCSE Revision Notes PDF The Pan Attached To A Spring Balance Has A Mass Of 1 Kg When a 2 kg weight is placed on the pan, the. Hook's law is similar to force of gravity. A weight of kg when placed on the pan stretches the spring by 10 cm. (a) determine the value of the damping constant b. The motion of a mass attached to a spring is an example of a vibrating system. If. The Pan Attached To A Spring Balance Has A Mass Of 1 Kg.
From byjus.com
a spring of negligible mass having a force constant k extends by an The Pan Attached To A Spring Balance Has A Mass Of 1 Kg A weight of kg when placed on the pan stretches the spring by 10 cm. The equilibrium point is where the mass would hang at rest, where the force of gravity. A mass of $2.0 \mathrm{~kg}$ is put on a flat pan attached to a vertical spring fixed on the ground as shown in the figure. If the weight stretches. The Pan Attached To A Spring Balance Has A Mass Of 1 Kg.
From www.toppr.com
Two 10 kg bodies are attached to a spring balance as shown in figure The Pan Attached To A Spring Balance Has A Mass Of 1 Kg The pan attached to a spring balance has a mass of 1 kg. The motion of a mass attached to a spring is an example of a vibrating system. A weight of 3 kg is placed on the pan of mass 1kg of a spring balance. In this lesson, the motion of a mass on a spring is discussed in. The Pan Attached To A Spring Balance Has A Mass Of 1 Kg.
From www.bartleby.com
Answered A block of mass 1.3 kg is attached to a… bartleby The Pan Attached To A Spring Balance Has A Mass Of 1 Kg We are given a system where a pan attached to a spring balance has a mass of 1 kg. A weight of kg when placed on the pan stretches the spring by 10 cm. The pan attached to a spring balance has a mass of 1 kg. A mass of 2.5 kg is attached to a spring that has a. The Pan Attached To A Spring Balance Has A Mass Of 1 Kg.
From exouxoont.blob.core.windows.net
Parts Of A Spring Balance Scale at Steve Watts blog The Pan Attached To A Spring Balance Has A Mass Of 1 Kg When a 2 kg weight is placed on the pan, the. We are given a system where a pan attached to a spring balance has a mass of 1 kg. The equilibrium point is where the mass would hang at rest, where the force of gravity. A weight of kg when placed on the pan stretches the spring by 10. The Pan Attached To A Spring Balance Has A Mass Of 1 Kg.
From www.webassign.net
Simple Harmonic Motion Concepts The Pan Attached To A Spring Balance Has A Mass Of 1 Kg (a) determine the value of the damping constant b. The motion of a mass attached to a spring is an example of a vibrating system. We are given a system where a pan attached to a spring balance has a mass of 1 kg. Spring balance is a mechanical device used for measuring the weight or force of an object. The Pan Attached To A Spring Balance Has A Mass Of 1 Kg.
From byjus.com
What is a spring balance The Pan Attached To A Spring Balance Has A Mass Of 1 Kg Hook's law is similar to force of gravity. If the weight stretches the spring by 12 cm, find the frequency. A mass of $2.0 \mathrm{~kg}$ is put on a flat pan attached to a vertical spring fixed on the ground as shown in the figure. The pan attached to a spring balance has a mass of 1 kg. We are. The Pan Attached To A Spring Balance Has A Mass Of 1 Kg.
From giofbsuzk.blob.core.windows.net
How To Use Spring Balance To Find Mass at Adam Lewis blog The Pan Attached To A Spring Balance Has A Mass Of 1 Kg If the weight stretches the spring by 12 cm, find the frequency. We are given a system where a pan attached to a spring balance has a mass of 1 kg. A mass of $2.0 \mathrm{~kg}$ is put on a flat pan attached to a vertical spring fixed on the ground as shown in the figure. A weight of 3. The Pan Attached To A Spring Balance Has A Mass Of 1 Kg.
From www.pinterest.com
Measurement of Mass infographic diagram including pan balance measures The Pan Attached To A Spring Balance Has A Mass Of 1 Kg The motion of a mass attached to a spring is an example of a vibrating system. When a 2 kg weight is placed on the pan, the. Spring balance is a mechanical device used for measuring the weight or force of an object by opposing the force of gravity with the. We are given a system where a pan attached. The Pan Attached To A Spring Balance Has A Mass Of 1 Kg.
From www.edxeducation.com
Elementary Pan Balance EDX Education The Pan Attached To A Spring Balance Has A Mass Of 1 Kg We are given a system where a pan attached to a spring balance has a mass of 1 kg. A mass of 2.5 kg is attached to a spring that has a value of k equal to 600 n m−1. The pan attached to a spring balance has a mass of 1 kg. (a) determine the value of the damping. The Pan Attached To A Spring Balance Has A Mass Of 1 Kg.
From wiringschema.com
[DIAGRAM] Diagram Of A Spring Balance The Pan Attached To A Spring Balance Has A Mass Of 1 Kg A weight of 3 kg is placed on the pan of mass 1kg of a spring balance. Hook's law is similar to force of gravity. If the weight stretches the spring by 12 cm, find the frequency. The motion of a mass attached to a spring is an example of a vibrating system. We are given a system where a. The Pan Attached To A Spring Balance Has A Mass Of 1 Kg.
From questions-in.kunduz.com
A mass of 1 kg is attached to two identical springs Physics The Pan Attached To A Spring Balance Has A Mass Of 1 Kg If the weight stretches the spring by 12 cm, find the frequency. The motion of a mass attached to a spring is an example of a vibrating system. A mass of 2.5 kg is attached to a spring that has a value of k equal to 600 n m−1. The pan attached to a spring balance has a mass of. The Pan Attached To A Spring Balance Has A Mass Of 1 Kg.
From www.sciencephoto.com
Springloaded weight balance Stock Image C009/9438 Science Photo The Pan Attached To A Spring Balance Has A Mass Of 1 Kg We are given a system where a pan attached to a spring balance has a mass of 1 kg. The equilibrium point is where the mass would hang at rest, where the force of gravity. (a) determine the value of the damping constant b. A weight of kg when placed on the pan stretches the spring by 10 cm. A. The Pan Attached To A Spring Balance Has A Mass Of 1 Kg.
From www.toppr.com
A horizontal spring attached to a wall has a force constant of k = 850 The Pan Attached To A Spring Balance Has A Mass Of 1 Kg In this lesson, the motion of a mass on a spring is discussed in detail as we focus on how a variety of quantities change over. The motion of a mass attached to a spring is an example of a vibrating system. A mass of $2.0 \mathrm{~kg}$ is put on a flat pan attached to a vertical spring fixed on. The Pan Attached To A Spring Balance Has A Mass Of 1 Kg.
From www.numerade.com
SOLVED An object of mass 1.00 kg is attached to a vertical spring with The Pan Attached To A Spring Balance Has A Mass Of 1 Kg (a) determine the value of the damping constant b. The pan attached to a spring balance has a mass of 1 kg. Spring balance is a mechanical device used for measuring the weight or force of an object by opposing the force of gravity with the. A mass of $2.0 \mathrm{~kg}$ is put on a flat pan attached to a. The Pan Attached To A Spring Balance Has A Mass Of 1 Kg.
From www.teachoo.com
What is a spring balance? with its Least count Teachoo The Pan Attached To A Spring Balance Has A Mass Of 1 Kg If the weight stretches the spring by 12 cm, find the frequency. The pan attached to a spring balance has a mass of 1 kg. A mass of $2.0 \mathrm{~kg}$ is put on a flat pan attached to a vertical spring fixed on the ground as shown in the figure. We are given a system where a pan attached to. The Pan Attached To A Spring Balance Has A Mass Of 1 Kg.
From www.numerade.com
SOLVED A spiral spring of natural length 20 cm has a scale pan hanging The Pan Attached To A Spring Balance Has A Mass Of 1 Kg (a) determine the value of the damping constant b. A weight of 3 kg is placed on the pan of mass 1kg of a spring balance. A mass of $2.0 \mathrm{~kg}$ is put on a flat pan attached to a vertical spring fixed on the ground as shown in the figure. The equilibrium point is where the mass would hang. The Pan Attached To A Spring Balance Has A Mass Of 1 Kg.
From exonglvhl.blob.core.windows.net
Spring Balance Description And Function at Zachary Benson blog The Pan Attached To A Spring Balance Has A Mass Of 1 Kg The pan attached to a spring balance has a mass of 1 kg. Hook's law is similar to force of gravity. A mass of $2.0 \mathrm{~kg}$ is put on a flat pan attached to a vertical spring fixed on the ground as shown in the figure. When a 2 kg weight is placed on the pan, the. If the weight. The Pan Attached To A Spring Balance Has A Mass Of 1 Kg.
From www.toppr.com
A block of mass 'm' is hanging from a massless spring of spring The Pan Attached To A Spring Balance Has A Mass Of 1 Kg Spring balance is a mechanical device used for measuring the weight or force of an object by opposing the force of gravity with the. A mass of 2.5 kg is attached to a spring that has a value of k equal to 600 n m−1. When a 2 kg weight is placed on the pan, the. A mass of $2.0. The Pan Attached To A Spring Balance Has A Mass Of 1 Kg.
From www.chegg.com
Solved (a) Two identical spring scales are each attached to The Pan Attached To A Spring Balance Has A Mass Of 1 Kg Hook's law is similar to force of gravity. A weight of 3 kg is placed on the pan of mass 1kg of a spring balance. A mass of 2.5 kg is attached to a spring that has a value of k equal to 600 n m−1. We are given a system where a pan attached to a spring balance has. The Pan Attached To A Spring Balance Has A Mass Of 1 Kg.
From www.philipharris.co.uk
Spring Balance, Dual Scale, 1Kg/10N Pack of 10 1kg, 10N Brown The Pan Attached To A Spring Balance Has A Mass Of 1 Kg We are given a system where a pan attached to a spring balance has a mass of 1 kg. A mass of 2.5 kg is attached to a spring that has a value of k equal to 600 n m−1. (a) determine the value of the damping constant b. In this lesson, the motion of a mass on a spring. The Pan Attached To A Spring Balance Has A Mass Of 1 Kg.
From askfilo.com
A block of mass M is attached to a spring of spring constant k as shown i.. The Pan Attached To A Spring Balance Has A Mass Of 1 Kg The motion of a mass attached to a spring is an example of a vibrating system. A mass of 2.5 kg is attached to a spring that has a value of k equal to 600 n m−1. The pan attached to a spring balance has a mass of 1 kg. We are given a system where a pan attached to. The Pan Attached To A Spring Balance Has A Mass Of 1 Kg.
From www.bartleby.com
The systems shown in Figure P5.28 are in equilibrium. If the spring The Pan Attached To A Spring Balance Has A Mass Of 1 Kg We are given a system where a pan attached to a spring balance has a mass of 1 kg. A weight of 3 kg is placed on the pan of mass 1kg of a spring balance. A mass of $2.0 \mathrm{~kg}$ is put on a flat pan attached to a vertical spring fixed on the ground as shown in the. The Pan Attached To A Spring Balance Has A Mass Of 1 Kg.
From parcoscientific.com
Walter Hanging Pan Balance Mechanical Balances & Scales Lab Equipment The Pan Attached To A Spring Balance Has A Mass Of 1 Kg A weight of 3 kg is placed on the pan of mass 1kg of a spring balance. The pan attached to a spring balance has a mass of 1 kg. Spring balance is a mechanical device used for measuring the weight or force of an object by opposing the force of gravity with the. In this lesson, the motion of. The Pan Attached To A Spring Balance Has A Mass Of 1 Kg.
From loeqbwioc.blob.core.windows.net
How Does The Spring Balance Work at Rufus Tedder blog The Pan Attached To A Spring Balance Has A Mass Of 1 Kg If the weight stretches the spring by 12 cm, find the frequency. Spring balance is a mechanical device used for measuring the weight or force of an object by opposing the force of gravity with the. (a) determine the value of the damping constant b. A mass of 2.5 kg is attached to a spring that has a value of. The Pan Attached To A Spring Balance Has A Mass Of 1 Kg.
From www.youtube.com
A 1kg block of wood is attached to a spring of force constant 200 N/m The Pan Attached To A Spring Balance Has A Mass Of 1 Kg Hook's law is similar to force of gravity. A mass of 2.5 kg is attached to a spring that has a value of k equal to 600 n m−1. A weight of 3 kg is placed on the pan of mass 1kg of a spring balance. The motion of a mass attached to a spring is an example of a. The Pan Attached To A Spring Balance Has A Mass Of 1 Kg.
From www.chegg.com
Solved A mass (m) is attached to a spring (spring constant The Pan Attached To A Spring Balance Has A Mass Of 1 Kg When a 2 kg weight is placed on the pan, the. The pan attached to a spring balance has a mass of 1 kg. A weight of kg when placed on the pan stretches the spring by 10 cm. If the weight stretches the spring by 12 cm, find the frequency. A weight of 3 kg is placed on the. The Pan Attached To A Spring Balance Has A Mass Of 1 Kg.