Cylindrical Hole Through Sphere . to calculate the volume of a sphere with a hole through it, a triple integral is used to integrate the function that represents the shape of the sphere. we use the washer method to find the volume of a ring that resulted from. To find volume using cylindrical shell method,. A cylindrical hole of radius $1$, centered at $(1,0)$ is drilled through $s$. R = b r = b. $s$ is a sphere of radius $2$, centered at origin. consider a cross section through the sphere, which we have centred on the origin of a cartesian coordinate system, and assuming r>. How much materials from $s$. Find the volume of the. the volume element in cylindrical coordinates: Dv = rdθdrdz 0 ≤ θ < 2π, r 0 ≤ r ≤ √ r2 −z2, −h ≤ z ≤ +h, where r is the radius. a cylindrical drill with radius 5 is used to bore a hole through the center of a sphere of radius 7. equation of sphere: R2 +z2 = 4b2 r 2 + z 2 = 4 b 2. That does not remove any volume from the sphere and.
from dxoqhtccr.blob.core.windows.net
the cylindrical hole through it is a line with radius 0. Find the volume of the. the volume element in cylindrical coordinates: Dv = rdθdrdz 0 ≤ θ < 2π, r 0 ≤ r ≤ √ r2 −z2, −h ≤ z ≤ +h, where r is the radius. we use the washer method to find the volume of a ring that resulted from. a cylindrical drill with radius 5 is used to bore a hole through the center of a sphere of radius 7. That does not remove any volume from the sphere and. $s$ is a sphere of radius $2$, centered at origin. To find volume using cylindrical shell method,. R = b r = b.
Is A Sphere A Cylinder at June Lopez blog
Cylindrical Hole Through Sphere That does not remove any volume from the sphere and. the cylindrical hole through it is a line with radius 0. That does not remove any volume from the sphere and. the volume element in cylindrical coordinates: R2 +z2 = 4b2 r 2 + z 2 = 4 b 2. we use the washer method to find the volume of a ring that resulted from. How much materials from $s$. consider a cross section through the sphere, which we have centred on the origin of a cartesian coordinate system, and assuming r>. A cylindrical hole of radius $1$, centered at $(1,0)$ is drilled through $s$. $s$ is a sphere of radius $2$, centered at origin. To find volume using cylindrical shell method,. Find the volume of the. to calculate the volume of a sphere with a hole through it, a triple integral is used to integrate the function that represents the shape of the sphere. equation of sphere: Dv = rdθdrdz 0 ≤ θ < 2π, r 0 ≤ r ≤ √ r2 −z2, −h ≤ z ≤ +h, where r is the radius. R = b r = b.
From brainly.in
From a solid sphere of radius 15cm, a right circular cylinder hole of Cylindrical Hole Through Sphere the cylindrical hole through it is a line with radius 0. R2 +z2 = 4b2 r 2 + z 2 = 4 b 2. That does not remove any volume from the sphere and. $s$ is a sphere of radius $2$, centered at origin. A cylindrical hole of radius $1$, centered at $(1,0)$ is drilled through $s$. . Cylindrical Hole Through Sphere.
From www.chegg.com
Solved A sphere of radius 2 is centered at the origin. A Cylindrical Hole Through Sphere Dv = rdθdrdz 0 ≤ θ < 2π, r 0 ≤ r ≤ √ r2 −z2, −h ≤ z ≤ +h, where r is the radius. R2 +z2 = 4b2 r 2 + z 2 = 4 b 2. equation of sphere: $s$ is a sphere of radius $2$, centered at origin. That does not remove any volume. Cylindrical Hole Through Sphere.
From youtube.com
Solidworks Cut Threaded Tapped Hole Wizard on Round Cylinder Cylindrical Hole Through Sphere R = b r = b. R2 +z2 = 4b2 r 2 + z 2 = 4 b 2. equation of sphere: to calculate the volume of a sphere with a hole through it, a triple integral is used to integrate the function that represents the shape of the sphere. A cylindrical hole of radius $1$, centered at. Cylindrical Hole Through Sphere.
From dxoqhtccr.blob.core.windows.net
Is A Sphere A Cylinder at June Lopez blog Cylindrical Hole Through Sphere consider a cross section through the sphere, which we have centred on the origin of a cartesian coordinate system, and assuming r>. to calculate the volume of a sphere with a hole through it, a triple integral is used to integrate the function that represents the shape of the sphere. the cylindrical hole through it is a. Cylindrical Hole Through Sphere.
From www.youtube.com
Triple Integral to find Volume Cylindrical and Spherical Coordinates Cylindrical Hole Through Sphere R2 +z2 = 4b2 r 2 + z 2 = 4 b 2. the cylindrical hole through it is a line with radius 0. Dv = rdθdrdz 0 ≤ θ < 2π, r 0 ≤ r ≤ √ r2 −z2, −h ≤ z ≤ +h, where r is the radius. equation of sphere: $s$ is a sphere. Cylindrical Hole Through Sphere.
From www.numerade.com
SOLVED A ball of radius 12 has round hole of radius 6 drilled through Cylindrical Hole Through Sphere $s$ is a sphere of radius $2$, centered at origin. the cylindrical hole through it is a line with radius 0. we use the washer method to find the volume of a ring that resulted from. A cylindrical hole of radius $1$, centered at $(1,0)$ is drilled through $s$. How much materials from $s$. Dv = rdθdrdz. Cylindrical Hole Through Sphere.
From www.numerade.com
The Classical Bead Problem A round hole is drilled through the center Cylindrical Hole Through Sphere R2 +z2 = 4b2 r 2 + z 2 = 4 b 2. How much materials from $s$. equation of sphere: to calculate the volume of a sphere with a hole through it, a triple integral is used to integrate the function that represents the shape of the sphere. consider a cross section through the sphere, which. Cylindrical Hole Through Sphere.
From www.youtube.com
Volume of a Drilled Sphere Using a Double Integral in Polar Form YouTube Cylindrical Hole Through Sphere a cylindrical drill with radius 5 is used to bore a hole through the center of a sphere of radius 7. That does not remove any volume from the sphere and. the cylindrical hole through it is a line with radius 0. To find volume using cylindrical shell method,. consider a cross section through the sphere, which. Cylindrical Hole Through Sphere.
From math.stackexchange.com
integration Volume of a sphere (r=2a) with hole(r=a) drilled through Cylindrical Hole Through Sphere consider a cross section through the sphere, which we have centred on the origin of a cartesian coordinate system, and assuming r>. $s$ is a sphere of radius $2$, centered at origin. Dv = rdθdrdz 0 ≤ θ < 2π, r 0 ≤ r ≤ √ r2 −z2, −h ≤ z ≤ +h, where r is the radius.. Cylindrical Hole Through Sphere.
From tex.stackexchange.com
pgfplots Draw a cylindrical hole in a sphere with TikZ TeX LaTeX Cylindrical Hole Through Sphere to calculate the volume of a sphere with a hole through it, a triple integral is used to integrate the function that represents the shape of the sphere. the cylindrical hole through it is a line with radius 0. A cylindrical hole of radius $1$, centered at $(1,0)$ is drilled through $s$. How much materials from $s$. That. Cylindrical Hole Through Sphere.
From www.numerade.com
SOLVEDAs shown in the figure, a cylindrical hole is Cylindrical Hole Through Sphere the volume element in cylindrical coordinates: That does not remove any volume from the sphere and. a cylindrical drill with radius 5 is used to bore a hole through the center of a sphere of radius 7. consider a cross section through the sphere, which we have centred on the origin of a cartesian coordinate system, and. Cylindrical Hole Through Sphere.
From www.chegg.com
Solved A cylindrical hole of radius 1 is bored through a Cylindrical Hole Through Sphere Find the volume of the. Dv = rdθdrdz 0 ≤ θ < 2π, r 0 ≤ r ≤ √ r2 −z2, −h ≤ z ≤ +h, where r is the radius. $s$ is a sphere of radius $2$, centered at origin. R2 +z2 = 4b2 r 2 + z 2 = 4 b 2. the volume element in. Cylindrical Hole Through Sphere.
From www.youtube.com
SOLIDWORKS use of hole wizzard on cylindrical surface YouTube Cylindrical Hole Through Sphere $s$ is a sphere of radius $2$, centered at origin. Find the volume of the. How much materials from $s$. consider a cross section through the sphere, which we have centred on the origin of a cartesian coordinate system, and assuming r>. That does not remove any volume from the sphere and. A cylindrical hole of radius $1$,. Cylindrical Hole Through Sphere.
From www.studocu.com
General heat conduction equation E! I Heat and Mass Transfer 2 Cylindrical Hole Through Sphere Find the volume of the. R = b r = b. Dv = rdθdrdz 0 ≤ θ < 2π, r 0 ≤ r ≤ √ r2 −z2, −h ≤ z ≤ +h, where r is the radius. $s$ is a sphere of radius $2$, centered at origin. consider a cross section through the sphere, which we have centred. Cylindrical Hole Through Sphere.
From worksheetmidrianouu.z13.web.core.windows.net
Moment Of Inertia Worksheet Cylindrical Hole Through Sphere to calculate the volume of a sphere with a hole through it, a triple integral is used to integrate the function that represents the shape of the sphere. Dv = rdθdrdz 0 ≤ θ < 2π, r 0 ≤ r ≤ √ r2 −z2, −h ≤ z ≤ +h, where r is the radius. we use the washer. Cylindrical Hole Through Sphere.
From math.stackexchange.com
geometry Given a solid sphere of radius R, remove a cylinder whose Cylindrical Hole Through Sphere $s$ is a sphere of radius $2$, centered at origin. the volume element in cylindrical coordinates: the cylindrical hole through it is a line with radius 0. to calculate the volume of a sphere with a hole through it, a triple integral is used to integrate the function that represents the shape of the sphere. . Cylindrical Hole Through Sphere.
From www.youtube.com
Triple Integrals. Volume of the Sphere in Cylindrical Coordinates Cylindrical Hole Through Sphere to calculate the volume of a sphere with a hole through it, a triple integral is used to integrate the function that represents the shape of the sphere. $s$ is a sphere of radius $2$, centered at origin. Dv = rdθdrdz 0 ≤ θ < 2π, r 0 ≤ r ≤ √ r2 −z2, −h ≤ z ≤. Cylindrical Hole Through Sphere.
From www.numerade.com
As shown in the figure, a cylindrical hole is drilled all Cylindrical Hole Through Sphere How much materials from $s$. consider a cross section through the sphere, which we have centred on the origin of a cartesian coordinate system, and assuming r>. a cylindrical drill with radius 5 is used to bore a hole through the center of a sphere of radius 7. to calculate the volume of a sphere with a. Cylindrical Hole Through Sphere.
From www.youtube.com
Volume of sphere with hole cut out YouTube Cylindrical Hole Through Sphere How much materials from $s$. equation of sphere: the cylindrical hole through it is a line with radius 0. R = b r = b. $s$ is a sphere of radius $2$, centered at origin. A cylindrical hole of radius $1$, centered at $(1,0)$ is drilled through $s$. we use the washer method to find the. Cylindrical Hole Through Sphere.
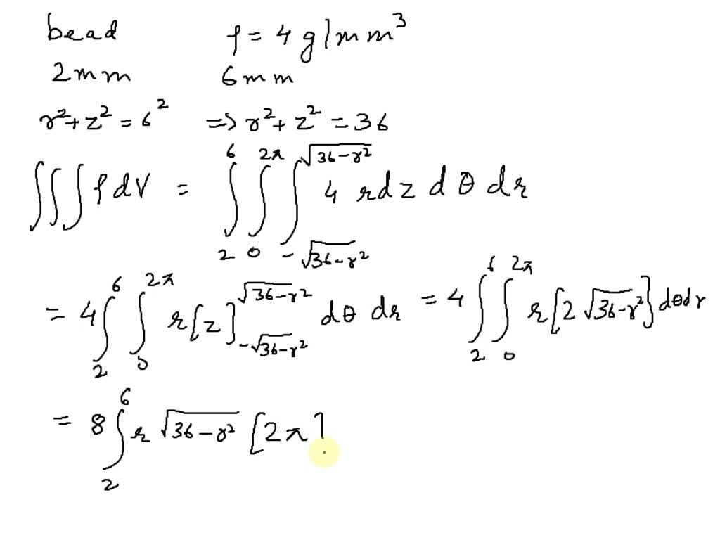
From www.numerade.com
SOLVED point) A bead is made from material with constant density 4 Cylindrical Hole Through Sphere Dv = rdθdrdz 0 ≤ θ < 2π, r 0 ≤ r ≤ √ r2 −z2, −h ≤ z ≤ +h, where r is the radius. To find volume using cylindrical shell method,. the volume element in cylindrical coordinates: $s$ is a sphere of radius $2$, centered at origin. equation of sphere: a cylindrical drill with. Cylindrical Hole Through Sphere.
From www.chegg.com
Solved A cylindrical hole is drilled through the center of Cylindrical Hole Through Sphere the volume element in cylindrical coordinates: R2 +z2 = 4b2 r 2 + z 2 = 4 b 2. $s$ is a sphere of radius $2$, centered at origin. R = b r = b. That does not remove any volume from the sphere and. To find volume using cylindrical shell method,. A cylindrical hole of radius $1$,. Cylindrical Hole Through Sphere.
From tex.stackexchange.com
pgfplots Draw a cylindrical hole in a sphere with TikZ TeX LaTeX Cylindrical Hole Through Sphere the volume element in cylindrical coordinates: consider a cross section through the sphere, which we have centred on the origin of a cartesian coordinate system, and assuming r>. R2 +z2 = 4b2 r 2 + z 2 = 4 b 2. to calculate the volume of a sphere with a hole through it, a triple integral is. Cylindrical Hole Through Sphere.
From www.chegg.com
Solved A cylindrical hole of radius b is drilled along the Cylindrical Hole Through Sphere That does not remove any volume from the sphere and. to calculate the volume of a sphere with a hole through it, a triple integral is used to integrate the function that represents the shape of the sphere. consider a cross section through the sphere, which we have centred on the origin of a cartesian coordinate system, and. Cylindrical Hole Through Sphere.
From www.chegg.com
Solved 3. If a (right, circular) cylinder is circumscribed Cylindrical Hole Through Sphere $s$ is a sphere of radius $2$, centered at origin. R2 +z2 = 4b2 r 2 + z 2 = 4 b 2. Find the volume of the. To find volume using cylindrical shell method,. R = b r = b. a cylindrical drill with radius 5 is used to bore a hole through the center of a. Cylindrical Hole Through Sphere.
From www.doubtnut.com
Doubt Solutions Maths, Science, CBSE, NCERT, IIT JEE, NEET Cylindrical Hole Through Sphere to calculate the volume of a sphere with a hole through it, a triple integral is used to integrate the function that represents the shape of the sphere. To find volume using cylindrical shell method,. a cylindrical drill with radius 5 is used to bore a hole through the center of a sphere of radius 7. $s$. Cylindrical Hole Through Sphere.
From www.numerade.com
SOLVED Hole in sphere A circular cylindrical hole is bored through a Cylindrical Hole Through Sphere $s$ is a sphere of radius $2$, centered at origin. equation of sphere: R2 +z2 = 4b2 r 2 + z 2 = 4 b 2. Find the volume of the. To find volume using cylindrical shell method,. A cylindrical hole of radius $1$, centered at $(1,0)$ is drilled through $s$. How much materials from $s$. a. Cylindrical Hole Through Sphere.
From tex.stackexchange.com
pgfplots Draw a cylindrical hole in a sphere with TikZ TeX LaTeX Cylindrical Hole Through Sphere $s$ is a sphere of radius $2$, centered at origin. To find volume using cylindrical shell method,. to calculate the volume of a sphere with a hole through it, a triple integral is used to integrate the function that represents the shape of the sphere. a cylindrical drill with radius 5 is used to bore a hole. Cylindrical Hole Through Sphere.
From tex.stackexchange.com
pgfplots Solid sphere with a cylindrical hole through center (bead Cylindrical Hole Through Sphere That does not remove any volume from the sphere and. R = b r = b. the cylindrical hole through it is a line with radius 0. How much materials from $s$. the volume element in cylindrical coordinates: Dv = rdθdrdz 0 ≤ θ < 2π, r 0 ≤ r ≤ √ r2 −z2, −h ≤ z ≤. Cylindrical Hole Through Sphere.
From www.slideserve.com
PPT 126 PowerPoint Presentation, free download ID5867313 Cylindrical Hole Through Sphere consider a cross section through the sphere, which we have centred on the origin of a cartesian coordinate system, and assuming r>. How much materials from $s$. To find volume using cylindrical shell method,. $s$ is a sphere of radius $2$, centered at origin. R2 +z2 = 4b2 r 2 + z 2 = 4 b 2. Dv. Cylindrical Hole Through Sphere.
From quizlet.com
A long cylinder with radius b and volume charge density \ Quizlet Cylindrical Hole Through Sphere consider a cross section through the sphere, which we have centred on the origin of a cartesian coordinate system, and assuming r>. equation of sphere: to calculate the volume of a sphere with a hole through it, a triple integral is used to integrate the function that represents the shape of the sphere. How much materials from. Cylindrical Hole Through Sphere.
From www.youtube.com
Blender 3.0 How to make Nice cylindrical hole in sphere Blender hard Cylindrical Hole Through Sphere $s$ is a sphere of radius $2$, centered at origin. to calculate the volume of a sphere with a hole through it, a triple integral is used to integrate the function that represents the shape of the sphere. the volume element in cylindrical coordinates: R2 +z2 = 4b2 r 2 + z 2 = 4 b 2.. Cylindrical Hole Through Sphere.
From www.chegg.com
Solved 6. A spherical tank of radius 4 ft is full of Cylindrical Hole Through Sphere we use the washer method to find the volume of a ring that resulted from. the volume element in cylindrical coordinates: $s$ is a sphere of radius $2$, centered at origin. R2 +z2 = 4b2 r 2 + z 2 = 4 b 2. A cylindrical hole of radius $1$, centered at $(1,0)$ is drilled through $s$.. Cylindrical Hole Through Sphere.
From www.youtube.com
Heat & Mass Transfer Cylindrical and Spherical Diffusion YouTube Cylindrical Hole Through Sphere That does not remove any volume from the sphere and. To find volume using cylindrical shell method,. R2 +z2 = 4b2 r 2 + z 2 = 4 b 2. Dv = rdθdrdz 0 ≤ θ < 2π, r 0 ≤ r ≤ √ r2 −z2, −h ≤ z ≤ +h, where r is the radius. Find the volume of. Cylindrical Hole Through Sphere.
From www.chegg.com
Solved A sphere of radius r = 17 m has a spherical hole with Cylindrical Hole Through Sphere a cylindrical drill with radius 5 is used to bore a hole through the center of a sphere of radius 7. That does not remove any volume from the sphere and. to calculate the volume of a sphere with a hole through it, a triple integral is used to integrate the function that represents the shape of the. Cylindrical Hole Through Sphere.
From www.chegg.com
Solved (a) A cylindrical drill with radius r1 is used to bore a h Cylindrical Hole Through Sphere R2 +z2 = 4b2 r 2 + z 2 = 4 b 2. Find the volume of the. the volume element in cylindrical coordinates: A cylindrical hole of radius $1$, centered at $(1,0)$ is drilled through $s$. To find volume using cylindrical shell method,. R = b r = b. to calculate the volume of a sphere with. Cylindrical Hole Through Sphere.