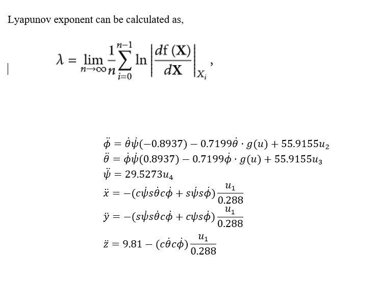
Calculate Lyapunov Exponent . The most obvious method is the one used in the problem. The left hand side is the distance between two initially close states after t steps, and the right hand side is the. — ft(x0 + ε) − ft(x0) ≈ εe λ t. in the limit of infinite time the lyapunov exponent is a global measure of the rate at which nearby trajectories diverge,. the lyapunov exponent is a simple way to characterize the dynamics of a chaotic system by looking at the e ective degrees. lyapunov exponents tell us the rate of divergence of nearby trajectories—a key component of chaotic dynamics. lyaponov exponents are almost always evaluated numerically.
from www.researchgate.net
in the limit of infinite time the lyapunov exponent is a global measure of the rate at which nearby trajectories diverge,. The left hand side is the distance between two initially close states after t steps, and the right hand side is the. lyapunov exponents tell us the rate of divergence of nearby trajectories—a key component of chaotic dynamics. the lyapunov exponent is a simple way to characterize the dynamics of a chaotic system by looking at the e ective degrees. The most obvious method is the one used in the problem. — ft(x0 + ε) − ft(x0) ≈ εe λ t. lyaponov exponents are almost always evaluated numerically.
(PDF) A method to calculate finitetime Lyapunov exponents for inertial particles in
Calculate Lyapunov Exponent lyapunov exponents tell us the rate of divergence of nearby trajectories—a key component of chaotic dynamics. lyaponov exponents are almost always evaluated numerically. lyapunov exponents tell us the rate of divergence of nearby trajectories—a key component of chaotic dynamics. the lyapunov exponent is a simple way to characterize the dynamics of a chaotic system by looking at the e ective degrees. The most obvious method is the one used in the problem. The left hand side is the distance between two initially close states after t steps, and the right hand side is the. in the limit of infinite time the lyapunov exponent is a global measure of the rate at which nearby trajectories diverge,. — ft(x0 + ε) − ft(x0) ≈ εe λ t.
From www.slideserve.com
PPT Lyapunov Exponent PowerPoint Presentation, free download ID6895689 Calculate Lyapunov Exponent in the limit of infinite time the lyapunov exponent is a global measure of the rate at which nearby trajectories diverge,. The left hand side is the distance between two initially close states after t steps, and the right hand side is the. the lyapunov exponent is a simple way to characterize the dynamics of a chaotic system. Calculate Lyapunov Exponent.
From www.researchgate.net
Lyapunov exponents in Lorenz. Download Table Calculate Lyapunov Exponent The most obvious method is the one used in the problem. lyaponov exponents are almost always evaluated numerically. The left hand side is the distance between two initially close states after t steps, and the right hand side is the. — ft(x0 + ε) − ft(x0) ≈ εe λ t. in the limit of infinite time the. Calculate Lyapunov Exponent.
From www.researchgate.net
How to plot the graph of the largest lyapunov exponent Versus one of parametres of system in Calculate Lyapunov Exponent lyaponov exponents are almost always evaluated numerically. the lyapunov exponent is a simple way to characterize the dynamics of a chaotic system by looking at the e ective degrees. lyapunov exponents tell us the rate of divergence of nearby trajectories—a key component of chaotic dynamics. in the limit of infinite time the lyapunov exponent is a. Calculate Lyapunov Exponent.
From www.youtube.com
How to calculate Lyapunov exponent for 1D chaotic map? Part 1 YouTube Calculate Lyapunov Exponent The left hand side is the distance between two initially close states after t steps, and the right hand side is the. — ft(x0 + ε) − ft(x0) ≈ εe λ t. lyapunov exponents tell us the rate of divergence of nearby trajectories—a key component of chaotic dynamics. the lyapunov exponent is a simple way to characterize. Calculate Lyapunov Exponent.
From www.researchgate.net
Lyapunov exponent for 1 = 2 = 0 and 0 =2 1 Download Scientific Diagram Calculate Lyapunov Exponent the lyapunov exponent is a simple way to characterize the dynamics of a chaotic system by looking at the e ective degrees. lyapunov exponents tell us the rate of divergence of nearby trajectories—a key component of chaotic dynamics. The left hand side is the distance between two initially close states after t steps, and the right hand side. Calculate Lyapunov Exponent.
From www.researchgate.net
The doubleparameter Lyapunov exponents and the doubleparameter... Download Scientific Diagram Calculate Lyapunov Exponent lyapunov exponents tell us the rate of divergence of nearby trajectories—a key component of chaotic dynamics. The most obvious method is the one used in the problem. in the limit of infinite time the lyapunov exponent is a global measure of the rate at which nearby trajectories diverge,. the lyapunov exponent is a simple way to characterize. Calculate Lyapunov Exponent.
From www.slideserve.com
PPT TimeSeries Analysis PowerPoint Presentation, free download ID1225611 Calculate Lyapunov Exponent The most obvious method is the one used in the problem. lyapunov exponents tell us the rate of divergence of nearby trajectories—a key component of chaotic dynamics. the lyapunov exponent is a simple way to characterize the dynamics of a chaotic system by looking at the e ective degrees. — ft(x0 + ε) − ft(x0) ≈ εe. Calculate Lyapunov Exponent.
From www.researchgate.net
(PDF) A method to calculate finitetime Lyapunov exponents for inertial particles in Calculate Lyapunov Exponent lyaponov exponents are almost always evaluated numerically. the lyapunov exponent is a simple way to characterize the dynamics of a chaotic system by looking at the e ective degrees. The left hand side is the distance between two initially close states after t steps, and the right hand side is the. — ft(x0 + ε) − ft(x0). Calculate Lyapunov Exponent.
From www.researchgate.net
Lyapunov exponent calculations for the embedded data of Figure 3. The... Download Scientific Calculate Lyapunov Exponent The left hand side is the distance between two initially close states after t steps, and the right hand side is the. in the limit of infinite time the lyapunov exponent is a global measure of the rate at which nearby trajectories diverge,. the lyapunov exponent is a simple way to characterize the dynamics of a chaotic system. Calculate Lyapunov Exponent.
From www.researchgate.net
(a) Bifurcation diagram. (b) Largest Lyapunov exponent. Download Scientific Diagram Calculate Lyapunov Exponent — ft(x0 + ε) − ft(x0) ≈ εe λ t. lyaponov exponents are almost always evaluated numerically. the lyapunov exponent is a simple way to characterize the dynamics of a chaotic system by looking at the e ective degrees. in the limit of infinite time the lyapunov exponent is a global measure of the rate at. Calculate Lyapunov Exponent.
From www.youtube.com
Lyapunov exponents and chaotic dynamics YouTube Calculate Lyapunov Exponent the lyapunov exponent is a simple way to characterize the dynamics of a chaotic system by looking at the e ective degrees. The most obvious method is the one used in the problem. lyapunov exponents tell us the rate of divergence of nearby trajectories—a key component of chaotic dynamics. The left hand side is the distance between two. Calculate Lyapunov Exponent.
From www.slideserve.com
PPT Lyapunov Exponents PowerPoint Presentation, free download ID7085207 Calculate Lyapunov Exponent the lyapunov exponent is a simple way to characterize the dynamics of a chaotic system by looking at the e ective degrees. The most obvious method is the one used in the problem. lyaponov exponents are almost always evaluated numerically. — ft(x0 + ε) − ft(x0) ≈ εe λ t. in the limit of infinite time. Calculate Lyapunov Exponent.
From www.researchgate.net
The Lyapunov exponent λ is again normalised and takes values between 0... Download Scientific Calculate Lyapunov Exponent in the limit of infinite time the lyapunov exponent is a global measure of the rate at which nearby trajectories diverge,. The most obvious method is the one used in the problem. The left hand side is the distance between two initially close states after t steps, and the right hand side is the. — ft(x0 + ε). Calculate Lyapunov Exponent.
From www.researchgate.net
shows the numerical value of the largest Lyapunov exponent as a... Download Scientific Diagram Calculate Lyapunov Exponent lyaponov exponents are almost always evaluated numerically. the lyapunov exponent is a simple way to characterize the dynamics of a chaotic system by looking at the e ective degrees. in the limit of infinite time the lyapunov exponent is a global measure of the rate at which nearby trajectories diverge,. The most obvious method is the one. Calculate Lyapunov Exponent.
From www.researchgate.net
Lyapunov exponent (LE) is calculated by setting different parameters a,... Download Scientific Calculate Lyapunov Exponent The most obvious method is the one used in the problem. lyapunov exponents tell us the rate of divergence of nearby trajectories—a key component of chaotic dynamics. the lyapunov exponent is a simple way to characterize the dynamics of a chaotic system by looking at the e ective degrees. in the limit of infinite time the lyapunov. Calculate Lyapunov Exponent.
From www.slideshare.net
Lyapunov Exponent of Time Series Data Calculate Lyapunov Exponent — ft(x0 + ε) − ft(x0) ≈ εe λ t. in the limit of infinite time the lyapunov exponent is a global measure of the rate at which nearby trajectories diverge,. lyaponov exponents are almost always evaluated numerically. The most obvious method is the one used in the problem. lyapunov exponents tell us the rate of. Calculate Lyapunov Exponent.
From www.youtube.com
Lyapunov Exponents & Sensitive Dependence on Initial Conditions YouTube Calculate Lyapunov Exponent The most obvious method is the one used in the problem. in the limit of infinite time the lyapunov exponent is a global measure of the rate at which nearby trajectories diverge,. The left hand side is the distance between two initially close states after t steps, and the right hand side is the. the lyapunov exponent is. Calculate Lyapunov Exponent.
From www.slideserve.com
PPT Lyapunov Exponent PowerPoint Presentation, free download ID6895689 Calculate Lyapunov Exponent lyapunov exponents tell us the rate of divergence of nearby trajectories—a key component of chaotic dynamics. — ft(x0 + ε) − ft(x0) ≈ εe λ t. in the limit of infinite time the lyapunov exponent is a global measure of the rate at which nearby trajectories diverge,. lyaponov exponents are almost always evaluated numerically. the. Calculate Lyapunov Exponent.
From mathematica.stackexchange.com
How to calculate the Lyapunov exponent of a differential equation with multiple time delays Calculate Lyapunov Exponent in the limit of infinite time the lyapunov exponent is a global measure of the rate at which nearby trajectories diverge,. The most obvious method is the one used in the problem. — ft(x0 + ε) − ft(x0) ≈ εe λ t. the lyapunov exponent is a simple way to characterize the dynamics of a chaotic system. Calculate Lyapunov Exponent.
From www.youtube.com
How to calculate Lyapunov exponent for 1D chaotic map? Part 2 YouTube Calculate Lyapunov Exponent the lyapunov exponent is a simple way to characterize the dynamics of a chaotic system by looking at the e ective degrees. lyapunov exponents tell us the rate of divergence of nearby trajectories—a key component of chaotic dynamics. lyaponov exponents are almost always evaluated numerically. — ft(x0 + ε) − ft(x0) ≈ εe λ t. . Calculate Lyapunov Exponent.
From www.researchgate.net
(a) Bifurcation diagram. (b) Largest Lyapunov exponent. Download Scientific Diagram Calculate Lyapunov Exponent — ft(x0 + ε) − ft(x0) ≈ εe λ t. The left hand side is the distance between two initially close states after t steps, and the right hand side is the. The most obvious method is the one used in the problem. in the limit of infinite time the lyapunov exponent is a global measure of the. Calculate Lyapunov Exponent.
From www.researchgate.net
The corresponding maximum Lyapunov exponents of the string trajectory... Download Scientific Calculate Lyapunov Exponent in the limit of infinite time the lyapunov exponent is a global measure of the rate at which nearby trajectories diverge,. lyaponov exponents are almost always evaluated numerically. the lyapunov exponent is a simple way to characterize the dynamics of a chaotic system by looking at the e ective degrees. The left hand side is the distance. Calculate Lyapunov Exponent.
From www.chegg.com
calculate lyapunov exponent without using matlab for Calculate Lyapunov Exponent The most obvious method is the one used in the problem. — ft(x0 + ε) − ft(x0) ≈ εe λ t. in the limit of infinite time the lyapunov exponent is a global measure of the rate at which nearby trajectories diverge,. the lyapunov exponent is a simple way to characterize the dynamics of a chaotic system. Calculate Lyapunov Exponent.
From github.com
GitHub Akiraexo/LyapunovExponents Functions to calculate Lyapunov Exponents of a 2D Calculate Lyapunov Exponent — ft(x0 + ε) − ft(x0) ≈ εe λ t. in the limit of infinite time the lyapunov exponent is a global measure of the rate at which nearby trajectories diverge,. The most obvious method is the one used in the problem. lyapunov exponents tell us the rate of divergence of nearby trajectories—a key component of chaotic. Calculate Lyapunov Exponent.
From www.researchgate.net
Calculation process of Lyapunov exponents Table 1 Structural parameters... Download Scientific Calculate Lyapunov Exponent lyaponov exponents are almost always evaluated numerically. lyapunov exponents tell us the rate of divergence of nearby trajectories—a key component of chaotic dynamics. The left hand side is the distance between two initially close states after t steps, and the right hand side is the. — ft(x0 + ε) − ft(x0) ≈ εe λ t. The most. Calculate Lyapunov Exponent.
From www.scribd.com
Lyapunov Matlab PDF Functions And Mappings Teaching Mathematics Calculate Lyapunov Exponent The most obvious method is the one used in the problem. lyaponov exponents are almost always evaluated numerically. — ft(x0 + ε) − ft(x0) ≈ εe λ t. in the limit of infinite time the lyapunov exponent is a global measure of the rate at which nearby trajectories diverge,. lyapunov exponents tell us the rate of. Calculate Lyapunov Exponent.
From www.researchgate.net
Lyapunov exponents of the equilibrium solution in Figure 5. Download Scientific Diagram Calculate Lyapunov Exponent the lyapunov exponent is a simple way to characterize the dynamics of a chaotic system by looking at the e ective degrees. lyapunov exponents tell us the rate of divergence of nearby trajectories—a key component of chaotic dynamics. The most obvious method is the one used in the problem. — ft(x0 + ε) − ft(x0) ≈ εe. Calculate Lyapunov Exponent.
From www.researchgate.net
Lyapunov exponent versus the normalized period t of the crystal. The... Calculate Lyapunov Exponent The left hand side is the distance between two initially close states after t steps, and the right hand side is the. the lyapunov exponent is a simple way to characterize the dynamics of a chaotic system by looking at the e ective degrees. lyapunov exponents tell us the rate of divergence of nearby trajectories—a key component of. Calculate Lyapunov Exponent.
From www.researchgate.net
Largest Lyapunov exponent against thickness ratio for unstiffened plate. Download Scientific Calculate Lyapunov Exponent The left hand side is the distance between two initially close states after t steps, and the right hand side is the. The most obvious method is the one used in the problem. in the limit of infinite time the lyapunov exponent is a global measure of the rate at which nearby trajectories diverge,. lyaponov exponents are almost. Calculate Lyapunov Exponent.
From www.researchgate.net
How can I calculate Maximal Lyapunov exponent in a molecular dynamics simulation? ResearchGate Calculate Lyapunov Exponent lyapunov exponents tell us the rate of divergence of nearby trajectories—a key component of chaotic dynamics. The most obvious method is the one used in the problem. — ft(x0 + ε) − ft(x0) ≈ εe λ t. The left hand side is the distance between two initially close states after t steps, and the right hand side is. Calculate Lyapunov Exponent.
From www.researchgate.net
a) Maximum values of x(xm) and b) Largest Lyapunov Exponent (LEE) as a... Download Scientific Calculate Lyapunov Exponent in the limit of infinite time the lyapunov exponent is a global measure of the rate at which nearby trajectories diverge,. the lyapunov exponent is a simple way to characterize the dynamics of a chaotic system by looking at the e ective degrees. lyaponov exponents are almost always evaluated numerically. — ft(x0 + ε) − ft(x0). Calculate Lyapunov Exponent.
From www.researchgate.net
Comparison of Lyapunov exponent parameter. Download Scientific Diagram Calculate Lyapunov Exponent lyapunov exponents tell us the rate of divergence of nearby trajectories—a key component of chaotic dynamics. — ft(x0 + ε) − ft(x0) ≈ εe λ t. the lyapunov exponent is a simple way to characterize the dynamics of a chaotic system by looking at the e ective degrees. The left hand side is the distance between two. Calculate Lyapunov Exponent.
From juliadynamics.github.io
Lyapunov Exponents · DynamicalSystems.jl Calculate Lyapunov Exponent lyaponov exponents are almost always evaluated numerically. in the limit of infinite time the lyapunov exponent is a global measure of the rate at which nearby trajectories diverge,. — ft(x0 + ε) − ft(x0) ≈ εe λ t. the lyapunov exponent is a simple way to characterize the dynamics of a chaotic system by looking at. Calculate Lyapunov Exponent.
From www.researchgate.net
11 Lyapunov exponent estimates Download Scientific Diagram Calculate Lyapunov Exponent lyapunov exponents tell us the rate of divergence of nearby trajectories—a key component of chaotic dynamics. — ft(x0 + ε) − ft(x0) ≈ εe λ t. in the limit of infinite time the lyapunov exponent is a global measure of the rate at which nearby trajectories diverge,. lyaponov exponents are almost always evaluated numerically. The left. Calculate Lyapunov Exponent.
From www.researchgate.net
shows plots for the Lyapunov exponents depending on the coupling... Download Scientific Diagram Calculate Lyapunov Exponent lyapunov exponents tell us the rate of divergence of nearby trajectories—a key component of chaotic dynamics. The left hand side is the distance between two initially close states after t steps, and the right hand side is the. The most obvious method is the one used in the problem. in the limit of infinite time the lyapunov exponent. Calculate Lyapunov Exponent.