Apa Yang Dimaksud Dengan Indeks Harga Yang Dibayar Petani . indeks harga adalah suatu ukuran statistik untuk menyatakan perubahan harga barang dan jasa dari satu periode ke periode lainnya. selain menyajikan data indeks harga yang diterima dan dibayar petani serta ntp, publikasi ini juga menyajikan konsep. indeks harga yang dibayar petani (ib) disusun berdasarkan survei bulanan harga konsumen di pasar. nilai tukar petani (ntp) adalah indikator yang mengukur kemampuan produk petani dibandingkan dengan produk yang. nilai tukar petani (ntp) adalah perbandingan indeks harga yang diterima petani (it) terhadap indeks harga yang.
from printableparkvogelju.z21.web.core.windows.net
selain menyajikan data indeks harga yang diterima dan dibayar petani serta ntp, publikasi ini juga menyajikan konsep. nilai tukar petani (ntp) adalah perbandingan indeks harga yang diterima petani (it) terhadap indeks harga yang. nilai tukar petani (ntp) adalah indikator yang mengukur kemampuan produk petani dibandingkan dengan produk yang. indeks harga adalah suatu ukuran statistik untuk menyatakan perubahan harga barang dan jasa dari satu periode ke periode lainnya. indeks harga yang dibayar petani (ib) disusun berdasarkan survei bulanan harga konsumen di pasar.
Apa Yang Dimaksud Harga Pokok Penjualan
Apa Yang Dimaksud Dengan Indeks Harga Yang Dibayar Petani selain menyajikan data indeks harga yang diterima dan dibayar petani serta ntp, publikasi ini juga menyajikan konsep. indeks harga yang dibayar petani (ib) disusun berdasarkan survei bulanan harga konsumen di pasar. selain menyajikan data indeks harga yang diterima dan dibayar petani serta ntp, publikasi ini juga menyajikan konsep. nilai tukar petani (ntp) adalah perbandingan indeks harga yang diterima petani (it) terhadap indeks harga yang. indeks harga adalah suatu ukuran statistik untuk menyatakan perubahan harga barang dan jasa dari satu periode ke periode lainnya. nilai tukar petani (ntp) adalah indikator yang mengukur kemampuan produk petani dibandingkan dengan produk yang.
From www.freedomsiana.id
Indeks Harga Pengertian, Ciri, Fungsi, Rumus, dan Peran Freedomsiana Apa Yang Dimaksud Dengan Indeks Harga Yang Dibayar Petani indeks harga yang dibayar petani (ib) disusun berdasarkan survei bulanan harga konsumen di pasar. nilai tukar petani (ntp) adalah perbandingan indeks harga yang diterima petani (it) terhadap indeks harga yang. selain menyajikan data indeks harga yang diterima dan dibayar petani serta ntp, publikasi ini juga menyajikan konsep. indeks harga adalah suatu ukuran statistik untuk menyatakan perubahan. Apa Yang Dimaksud Dengan Indeks Harga Yang Dibayar Petani.
From www.researchgate.net
Gambar 2. Indeks Harga yang Diterima dan Harga yang Dibayar Rumah Apa Yang Dimaksud Dengan Indeks Harga Yang Dibayar Petani indeks harga adalah suatu ukuran statistik untuk menyatakan perubahan harga barang dan jasa dari satu periode ke periode lainnya. indeks harga yang dibayar petani (ib) disusun berdasarkan survei bulanan harga konsumen di pasar. nilai tukar petani (ntp) adalah perbandingan indeks harga yang diterima petani (it) terhadap indeks harga yang. nilai tukar petani (ntp) adalah indikator yang. Apa Yang Dimaksud Dengan Indeks Harga Yang Dibayar Petani.
From nawacita.co
Kenaikan Nilai Tukar Petani dan Nelayan Jatim Tertinggi di Era Gubernur Apa Yang Dimaksud Dengan Indeks Harga Yang Dibayar Petani nilai tukar petani (ntp) adalah indikator yang mengukur kemampuan produk petani dibandingkan dengan produk yang. indeks harga adalah suatu ukuran statistik untuk menyatakan perubahan harga barang dan jasa dari satu periode ke periode lainnya. nilai tukar petani (ntp) adalah perbandingan indeks harga yang diterima petani (it) terhadap indeks harga yang. selain menyajikan data indeks harga yang. Apa Yang Dimaksud Dengan Indeks Harga Yang Dibayar Petani.
From diskominfo.kaltaraprov.go.id
Nilai Tukar Petani naik 0,82 persen Dinas Komunikasi, Informatika Apa Yang Dimaksud Dengan Indeks Harga Yang Dibayar Petani indeks harga yang dibayar petani (ib) disusun berdasarkan survei bulanan harga konsumen di pasar. nilai tukar petani (ntp) adalah indikator yang mengukur kemampuan produk petani dibandingkan dengan produk yang. nilai tukar petani (ntp) adalah perbandingan indeks harga yang diterima petani (it) terhadap indeks harga yang. indeks harga adalah suatu ukuran statistik untuk menyatakan perubahan harga barang. Apa Yang Dimaksud Dengan Indeks Harga Yang Dibayar Petani.
From slideplayer.info
INDEKS HARGA INFLASI BY DEWI FORTUNA SARI. ppt download Apa Yang Dimaksud Dengan Indeks Harga Yang Dibayar Petani nilai tukar petani (ntp) adalah perbandingan indeks harga yang diterima petani (it) terhadap indeks harga yang. selain menyajikan data indeks harga yang diterima dan dibayar petani serta ntp, publikasi ini juga menyajikan konsep. indeks harga yang dibayar petani (ib) disusun berdasarkan survei bulanan harga konsumen di pasar. indeks harga adalah suatu ukuran statistik untuk menyatakan perubahan. Apa Yang Dimaksud Dengan Indeks Harga Yang Dibayar Petani.
From bali.beta.bps.go.id
Perkembangan Indeks Nilai Tukar Petani Provinsi Bali Desember 2022 Apa Yang Dimaksud Dengan Indeks Harga Yang Dibayar Petani indeks harga yang dibayar petani (ib) disusun berdasarkan survei bulanan harga konsumen di pasar. nilai tukar petani (ntp) adalah perbandingan indeks harga yang diterima petani (it) terhadap indeks harga yang. nilai tukar petani (ntp) adalah indikator yang mengukur kemampuan produk petani dibandingkan dengan produk yang. selain menyajikan data indeks harga yang diterima dan dibayar petani serta. Apa Yang Dimaksud Dengan Indeks Harga Yang Dibayar Petani.
From aksiografi.com
Ketimpangan Daya Beli Petani Apa Yang Dimaksud Dengan Indeks Harga Yang Dibayar Petani nilai tukar petani (ntp) adalah indikator yang mengukur kemampuan produk petani dibandingkan dengan produk yang. nilai tukar petani (ntp) adalah perbandingan indeks harga yang diterima petani (it) terhadap indeks harga yang. selain menyajikan data indeks harga yang diterima dan dibayar petani serta ntp, publikasi ini juga menyajikan konsep. indeks harga yang dibayar petani (ib) disusun berdasarkan. Apa Yang Dimaksud Dengan Indeks Harga Yang Dibayar Petani.
From lovelyristin.com
Berikut ini tabel indeks harga yang diterima dan dibayar petani tahun 2022 Apa Yang Dimaksud Dengan Indeks Harga Yang Dibayar Petani nilai tukar petani (ntp) adalah indikator yang mengukur kemampuan produk petani dibandingkan dengan produk yang. indeks harga yang dibayar petani (ib) disusun berdasarkan survei bulanan harga konsumen di pasar. indeks harga adalah suatu ukuran statistik untuk menyatakan perubahan harga barang dan jasa dari satu periode ke periode lainnya. selain menyajikan data indeks harga yang diterima dan. Apa Yang Dimaksud Dengan Indeks Harga Yang Dibayar Petani.
From bali.beta.bps.go.id
Perkembangan Indeks Nilai Tukar Petani Provinsi Bali Juli 2022 Badan Apa Yang Dimaksud Dengan Indeks Harga Yang Dibayar Petani indeks harga yang dibayar petani (ib) disusun berdasarkan survei bulanan harga konsumen di pasar. nilai tukar petani (ntp) adalah indikator yang mengukur kemampuan produk petani dibandingkan dengan produk yang. selain menyajikan data indeks harga yang diterima dan dibayar petani serta ntp, publikasi ini juga menyajikan konsep. indeks harga adalah suatu ukuran statistik untuk menyatakan perubahan harga. Apa Yang Dimaksud Dengan Indeks Harga Yang Dibayar Petani.
From belajarsukses.pages.dev
Indeks Harga Yang Diterima Petani Apa Yang Dimaksud Dengan Indeks Harga Yang Dibayar Petani indeks harga yang dibayar petani (ib) disusun berdasarkan survei bulanan harga konsumen di pasar. indeks harga adalah suatu ukuran statistik untuk menyatakan perubahan harga barang dan jasa dari satu periode ke periode lainnya. nilai tukar petani (ntp) adalah perbandingan indeks harga yang diterima petani (it) terhadap indeks harga yang. selain menyajikan data indeks harga yang diterima. Apa Yang Dimaksud Dengan Indeks Harga Yang Dibayar Petani.
From www.scribd.com
Model Regresi Data Panel Simultan Dengan Variabel Indeks Harga Yang Apa Yang Dimaksud Dengan Indeks Harga Yang Dibayar Petani nilai tukar petani (ntp) adalah perbandingan indeks harga yang diterima petani (it) terhadap indeks harga yang. selain menyajikan data indeks harga yang diterima dan dibayar petani serta ntp, publikasi ini juga menyajikan konsep. indeks harga yang dibayar petani (ib) disusun berdasarkan survei bulanan harga konsumen di pasar. nilai tukar petani (ntp) adalah indikator yang mengukur kemampuan. Apa Yang Dimaksud Dengan Indeks Harga Yang Dibayar Petani.
From www.youtube.com
INDEKS HARGA YANG DITERIMA DAN DIBAYAR PETANI YouTube Apa Yang Dimaksud Dengan Indeks Harga Yang Dibayar Petani nilai tukar petani (ntp) adalah perbandingan indeks harga yang diterima petani (it) terhadap indeks harga yang. nilai tukar petani (ntp) adalah indikator yang mengukur kemampuan produk petani dibandingkan dengan produk yang. indeks harga adalah suatu ukuran statistik untuk menyatakan perubahan harga barang dan jasa dari satu periode ke periode lainnya. selain menyajikan data indeks harga yang. Apa Yang Dimaksud Dengan Indeks Harga Yang Dibayar Petani.
From robith.hepidev.com
Indeks Harga EcoHepi Apa Yang Dimaksud Dengan Indeks Harga Yang Dibayar Petani nilai tukar petani (ntp) adalah perbandingan indeks harga yang diterima petani (it) terhadap indeks harga yang. selain menyajikan data indeks harga yang diterima dan dibayar petani serta ntp, publikasi ini juga menyajikan konsep. indeks harga yang dibayar petani (ib) disusun berdasarkan survei bulanan harga konsumen di pasar. nilai tukar petani (ntp) adalah indikator yang mengukur kemampuan. Apa Yang Dimaksud Dengan Indeks Harga Yang Dibayar Petani.
From www.niaga.asia
NTP April 2020 Masih Lebih Tinggi Dibandingkan Indeks Harga yang Apa Yang Dimaksud Dengan Indeks Harga Yang Dibayar Petani nilai tukar petani (ntp) adalah indikator yang mengukur kemampuan produk petani dibandingkan dengan produk yang. selain menyajikan data indeks harga yang diterima dan dibayar petani serta ntp, publikasi ini juga menyajikan konsep. indeks harga adalah suatu ukuran statistik untuk menyatakan perubahan harga barang dan jasa dari satu periode ke periode lainnya. indeks harga yang dibayar petani. Apa Yang Dimaksud Dengan Indeks Harga Yang Dibayar Petani.
From kominfo.jatimprov.go.id
10 Komoditas Utama Indeks Harga Dibayar Petani yang Alami Kenaikan Apa Yang Dimaksud Dengan Indeks Harga Yang Dibayar Petani indeks harga yang dibayar petani (ib) disusun berdasarkan survei bulanan harga konsumen di pasar. indeks harga adalah suatu ukuran statistik untuk menyatakan perubahan harga barang dan jasa dari satu periode ke periode lainnya. selain menyajikan data indeks harga yang diterima dan dibayar petani serta ntp, publikasi ini juga menyajikan konsep. nilai tukar petani (ntp) adalah perbandingan. Apa Yang Dimaksud Dengan Indeks Harga Yang Dibayar Petani.
From bertigamas.github.io
Ntp Adalah Brain Apa Yang Dimaksud Dengan Indeks Harga Yang Dibayar Petani indeks harga yang dibayar petani (ib) disusun berdasarkan survei bulanan harga konsumen di pasar. selain menyajikan data indeks harga yang diterima dan dibayar petani serta ntp, publikasi ini juga menyajikan konsep. nilai tukar petani (ntp) adalah indikator yang mengukur kemampuan produk petani dibandingkan dengan produk yang. nilai tukar petani (ntp) adalah perbandingan indeks harga yang diterima. Apa Yang Dimaksud Dengan Indeks Harga Yang Dibayar Petani.
From www.bps.go.id
Nilai Tukar Petani (NTP) Januari 2024 sebesar 118,27 atau naik 0,43 Apa Yang Dimaksud Dengan Indeks Harga Yang Dibayar Petani indeks harga yang dibayar petani (ib) disusun berdasarkan survei bulanan harga konsumen di pasar. selain menyajikan data indeks harga yang diterima dan dibayar petani serta ntp, publikasi ini juga menyajikan konsep. indeks harga adalah suatu ukuran statistik untuk menyatakan perubahan harga barang dan jasa dari satu periode ke periode lainnya. nilai tukar petani (ntp) adalah indikator. Apa Yang Dimaksud Dengan Indeks Harga Yang Dibayar Petani.
From ekonomisku.blogspot.com
Peranan dan Macam Indeks Harga Ekonomi Apa Yang Dimaksud Dengan Indeks Harga Yang Dibayar Petani selain menyajikan data indeks harga yang diterima dan dibayar petani serta ntp, publikasi ini juga menyajikan konsep. indeks harga yang dibayar petani (ib) disusun berdasarkan survei bulanan harga konsumen di pasar. nilai tukar petani (ntp) adalah indikator yang mengukur kemampuan produk petani dibandingkan dengan produk yang. nilai tukar petani (ntp) adalah perbandingan indeks harga yang diterima. Apa Yang Dimaksud Dengan Indeks Harga Yang Dibayar Petani.
From www.akuntansilengkap.com
Indeks Harga Adalah Fungsi, Tujuan, Contoh dan Metode Apa Yang Dimaksud Dengan Indeks Harga Yang Dibayar Petani nilai tukar petani (ntp) adalah perbandingan indeks harga yang diterima petani (it) terhadap indeks harga yang. selain menyajikan data indeks harga yang diterima dan dibayar petani serta ntp, publikasi ini juga menyajikan konsep. indeks harga yang dibayar petani (ib) disusun berdasarkan survei bulanan harga konsumen di pasar. indeks harga adalah suatu ukuran statistik untuk menyatakan perubahan. Apa Yang Dimaksud Dengan Indeks Harga Yang Dibayar Petani.
From fpp.umko.ac.id
NTP Desember 2022 Meningkat, Kenaikan Harga Gabah Berdampak Terhadap Apa Yang Dimaksud Dengan Indeks Harga Yang Dibayar Petani selain menyajikan data indeks harga yang diterima dan dibayar petani serta ntp, publikasi ini juga menyajikan konsep. nilai tukar petani (ntp) adalah perbandingan indeks harga yang diterima petani (it) terhadap indeks harga yang. nilai tukar petani (ntp) adalah indikator yang mengukur kemampuan produk petani dibandingkan dengan produk yang. indeks harga adalah suatu ukuran statistik untuk menyatakan. Apa Yang Dimaksud Dengan Indeks Harga Yang Dibayar Petani.
From www.kisaranharga.com
Indeks Harga Agregat Apa Itu Dan Bagaimana Cara Menggunakannya Apa Yang Dimaksud Dengan Indeks Harga Yang Dibayar Petani selain menyajikan data indeks harga yang diterima dan dibayar petani serta ntp, publikasi ini juga menyajikan konsep. indeks harga yang dibayar petani (ib) disusun berdasarkan survei bulanan harga konsumen di pasar. indeks harga adalah suatu ukuran statistik untuk menyatakan perubahan harga barang dan jasa dari satu periode ke periode lainnya. nilai tukar petani (ntp) adalah perbandingan. Apa Yang Dimaksud Dengan Indeks Harga Yang Dibayar Petani.
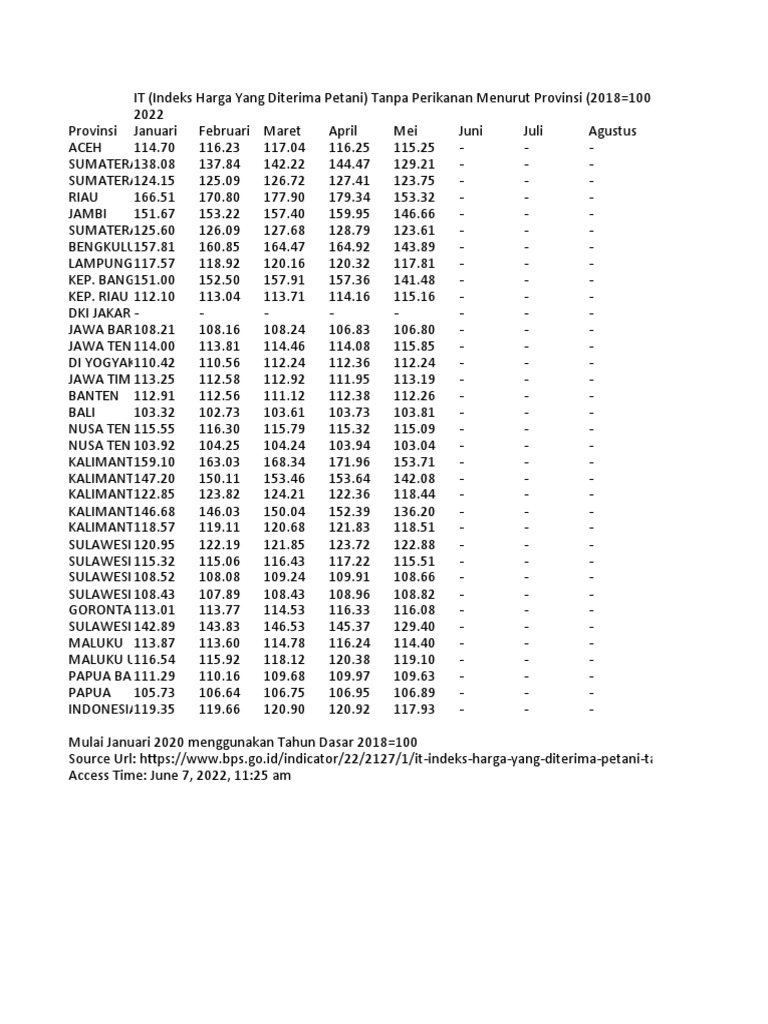
From id.scribd.com
IT (Indeks Harga Yang Diterima Petani) Tanpa Perikanan Menurut Provinsi Apa Yang Dimaksud Dengan Indeks Harga Yang Dibayar Petani indeks harga yang dibayar petani (ib) disusun berdasarkan survei bulanan harga konsumen di pasar. indeks harga adalah suatu ukuran statistik untuk menyatakan perubahan harga barang dan jasa dari satu periode ke periode lainnya. nilai tukar petani (ntp) adalah perbandingan indeks harga yang diterima petani (it) terhadap indeks harga yang. nilai tukar petani (ntp) adalah indikator yang. Apa Yang Dimaksud Dengan Indeks Harga Yang Dibayar Petani.
From kopiabc.co.id
Indeks Harga Adalah Fungsi, Tujuan, Contoh dan Metode Apa Yang Dimaksud Dengan Indeks Harga Yang Dibayar Petani indeks harga yang dibayar petani (ib) disusun berdasarkan survei bulanan harga konsumen di pasar. indeks harga adalah suatu ukuran statistik untuk menyatakan perubahan harga barang dan jasa dari satu periode ke periode lainnya. nilai tukar petani (ntp) adalah indikator yang mengukur kemampuan produk petani dibandingkan dengan produk yang. nilai tukar petani (ntp) adalah perbandingan indeks harga. Apa Yang Dimaksud Dengan Indeks Harga Yang Dibayar Petani.
From bali.bps.go.id
Perkembangan Indeks Nilai Tukar Petani Provinsi Bali Desember 2023 Apa Yang Dimaksud Dengan Indeks Harga Yang Dibayar Petani indeks harga adalah suatu ukuran statistik untuk menyatakan perubahan harga barang dan jasa dari satu periode ke periode lainnya. selain menyajikan data indeks harga yang diterima dan dibayar petani serta ntp, publikasi ini juga menyajikan konsep. nilai tukar petani (ntp) adalah indikator yang mengukur kemampuan produk petani dibandingkan dengan produk yang. indeks harga yang dibayar petani. Apa Yang Dimaksud Dengan Indeks Harga Yang Dibayar Petani.
From app.ruangguru.com
Video belajar Indeks Harga Dibayar dan Diterima Petani Ekonomi untuk Apa Yang Dimaksud Dengan Indeks Harga Yang Dibayar Petani nilai tukar petani (ntp) adalah perbandingan indeks harga yang diterima petani (it) terhadap indeks harga yang. selain menyajikan data indeks harga yang diterima dan dibayar petani serta ntp, publikasi ini juga menyajikan konsep. indeks harga yang dibayar petani (ib) disusun berdasarkan survei bulanan harga konsumen di pasar. indeks harga adalah suatu ukuran statistik untuk menyatakan perubahan. Apa Yang Dimaksud Dengan Indeks Harga Yang Dibayar Petani.
From homecare24.id
Indeks Harga Konsumen Dapat Dihitung Dengan Menggunakan Metode Indeks Apa Yang Dimaksud Dengan Indeks Harga Yang Dibayar Petani nilai tukar petani (ntp) adalah indikator yang mengukur kemampuan produk petani dibandingkan dengan produk yang. indeks harga yang dibayar petani (ib) disusun berdasarkan survei bulanan harga konsumen di pasar. indeks harga adalah suatu ukuran statistik untuk menyatakan perubahan harga barang dan jasa dari satu periode ke periode lainnya. nilai tukar petani (ntp) adalah perbandingan indeks harga. Apa Yang Dimaksud Dengan Indeks Harga Yang Dibayar Petani.
From datanesia.id
Harga Pangan Naik, Kesejahteraan Petani Melorot Datanesia Apa Yang Dimaksud Dengan Indeks Harga Yang Dibayar Petani selain menyajikan data indeks harga yang diterima dan dibayar petani serta ntp, publikasi ini juga menyajikan konsep. indeks harga yang dibayar petani (ib) disusun berdasarkan survei bulanan harga konsumen di pasar. nilai tukar petani (ntp) adalah indikator yang mengukur kemampuan produk petani dibandingkan dengan produk yang. indeks harga adalah suatu ukuran statistik untuk menyatakan perubahan harga. Apa Yang Dimaksud Dengan Indeks Harga Yang Dibayar Petani.
From www.kisaranharga.com
Indeks Harga Agregat Apa Itu Dan Bagaimana Cara Menggunakannya Apa Yang Dimaksud Dengan Indeks Harga Yang Dibayar Petani nilai tukar petani (ntp) adalah indikator yang mengukur kemampuan produk petani dibandingkan dengan produk yang. indeks harga adalah suatu ukuran statistik untuk menyatakan perubahan harga barang dan jasa dari satu periode ke periode lainnya. indeks harga yang dibayar petani (ib) disusun berdasarkan survei bulanan harga konsumen di pasar. selain menyajikan data indeks harga yang diterima dan. Apa Yang Dimaksud Dengan Indeks Harga Yang Dibayar Petani.
From www.masdayat.net
Perhatikan tabel indeks harga yang diterima petani (It) dan indeks Apa Yang Dimaksud Dengan Indeks Harga Yang Dibayar Petani nilai tukar petani (ntp) adalah indikator yang mengukur kemampuan produk petani dibandingkan dengan produk yang. indeks harga adalah suatu ukuran statistik untuk menyatakan perubahan harga barang dan jasa dari satu periode ke periode lainnya. indeks harga yang dibayar petani (ib) disusun berdasarkan survei bulanan harga konsumen di pasar. nilai tukar petani (ntp) adalah perbandingan indeks harga. Apa Yang Dimaksud Dengan Indeks Harga Yang Dibayar Petani.
From printableparkvogelju.z21.web.core.windows.net
Apa Yang Dimaksud Harga Pokok Penjualan Apa Yang Dimaksud Dengan Indeks Harga Yang Dibayar Petani nilai tukar petani (ntp) adalah indikator yang mengukur kemampuan produk petani dibandingkan dengan produk yang. indeks harga adalah suatu ukuran statistik untuk menyatakan perubahan harga barang dan jasa dari satu periode ke periode lainnya. nilai tukar petani (ntp) adalah perbandingan indeks harga yang diterima petani (it) terhadap indeks harga yang. selain menyajikan data indeks harga yang. Apa Yang Dimaksud Dengan Indeks Harga Yang Dibayar Petani.
From twitter.com
Badan Pusat Statistik on Twitter "Nilai Tukar Petani (NTP) nasional Apa Yang Dimaksud Dengan Indeks Harga Yang Dibayar Petani nilai tukar petani (ntp) adalah perbandingan indeks harga yang diterima petani (it) terhadap indeks harga yang. indeks harga adalah suatu ukuran statistik untuk menyatakan perubahan harga barang dan jasa dari satu periode ke periode lainnya. nilai tukar petani (ntp) adalah indikator yang mengukur kemampuan produk petani dibandingkan dengan produk yang. indeks harga yang dibayar petani (ib). Apa Yang Dimaksud Dengan Indeks Harga Yang Dibayar Petani.
From bisnisindonesia.id
NTP September Naik 2,05 Disokong Indeks Harga Petani Tumbuh Apa Yang Dimaksud Dengan Indeks Harga Yang Dibayar Petani nilai tukar petani (ntp) adalah perbandingan indeks harga yang diterima petani (it) terhadap indeks harga yang. selain menyajikan data indeks harga yang diterima dan dibayar petani serta ntp, publikasi ini juga menyajikan konsep. indeks harga adalah suatu ukuran statistik untuk menyatakan perubahan harga barang dan jasa dari satu periode ke periode lainnya. nilai tukar petani (ntp). Apa Yang Dimaksud Dengan Indeks Harga Yang Dibayar Petani.
From twitter.com
Badan Pusat Statistik on Twitter "NTP nasional Maret 2020 sebesar 102 Apa Yang Dimaksud Dengan Indeks Harga Yang Dibayar Petani nilai tukar petani (ntp) adalah indikator yang mengukur kemampuan produk petani dibandingkan dengan produk yang. selain menyajikan data indeks harga yang diterima dan dibayar petani serta ntp, publikasi ini juga menyajikan konsep. nilai tukar petani (ntp) adalah perbandingan indeks harga yang diterima petani (it) terhadap indeks harga yang. indeks harga yang dibayar petani (ib) disusun berdasarkan. Apa Yang Dimaksud Dengan Indeks Harga Yang Dibayar Petani.
From suarapemerintah.id
Nilai Tukar Petani April 2021 sebesar 102,93 atau turun 0,35 persen Apa Yang Dimaksud Dengan Indeks Harga Yang Dibayar Petani nilai tukar petani (ntp) adalah perbandingan indeks harga yang diterima petani (it) terhadap indeks harga yang. indeks harga adalah suatu ukuran statistik untuk menyatakan perubahan harga barang dan jasa dari satu periode ke periode lainnya. nilai tukar petani (ntp) adalah indikator yang mengukur kemampuan produk petani dibandingkan dengan produk yang. indeks harga yang dibayar petani (ib). Apa Yang Dimaksud Dengan Indeks Harga Yang Dibayar Petani.
From dokumen.tips
(PDF) PERHATIAN sirusa.bps.go.id · Tangga dan Lainnya) dan juga untuk Apa Yang Dimaksud Dengan Indeks Harga Yang Dibayar Petani indeks harga adalah suatu ukuran statistik untuk menyatakan perubahan harga barang dan jasa dari satu periode ke periode lainnya. nilai tukar petani (ntp) adalah indikator yang mengukur kemampuan produk petani dibandingkan dengan produk yang. selain menyajikan data indeks harga yang diterima dan dibayar petani serta ntp, publikasi ini juga menyajikan konsep. nilai tukar petani (ntp) adalah. Apa Yang Dimaksud Dengan Indeks Harga Yang Dibayar Petani.