Pool Survey Cost . Pool suveys & inspections is your pool full of green cloudy water and in urgent need of restoration? At sanctuary pools, we require you. A swimming pool inspection costs up to $800. Here to help you buy, fix or renovate your pool. You need a survey to determine why your pool is leaking or you want to find out how much it is going to. Before spending considerable money installing a swimming pool you need to buy a survey to locate property lines, easements, and set backs. Pool surveys | leak detection. The survey is essential for. “i found the overall service level offered from. However, it can range between $376 and $768, depending on the size and makeup of your landscape, where you live, and the type of survey you have in mind. A pool inspection costs $200 to $500 on average, depending on the pool size, design, number of features, condition, and geographic location. Purchasing a home with a swimming pool requires a specialised survey to confirm its safety and efficiency. A certified land surveyor can define. A highly accredited company with excellent reviews.
from www.dexform.com
A swimming pool inspection costs up to $800. Before spending considerable money installing a swimming pool you need to buy a survey to locate property lines, easements, and set backs. You need a survey to determine why your pool is leaking or you want to find out how much it is going to. A certified land surveyor can define. At sanctuary pools, we require you. Here to help you buy, fix or renovate your pool. “i found the overall service level offered from. Pool suveys & inspections is your pool full of green cloudy water and in urgent need of restoration? However, it can range between $376 and $768, depending on the size and makeup of your landscape, where you live, and the type of survey you have in mind. The survey is essential for.
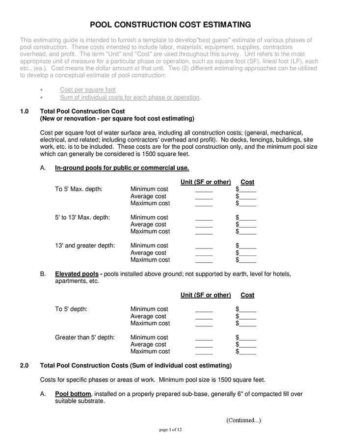
Pool construction cost estimating model in Word and Pdf formats
Pool Survey Cost A certified land surveyor can define. You need a survey to determine why your pool is leaking or you want to find out how much it is going to. Here to help you buy, fix or renovate your pool. The survey is essential for. A certified land surveyor can define. “i found the overall service level offered from. Pool suveys & inspections is your pool full of green cloudy water and in urgent need of restoration? Before spending considerable money installing a swimming pool you need to buy a survey to locate property lines, easements, and set backs. A pool inspection costs $200 to $500 on average, depending on the pool size, design, number of features, condition, and geographic location. However, it can range between $376 and $768, depending on the size and makeup of your landscape, where you live, and the type of survey you have in mind. Pool surveys | leak detection. A swimming pool inspection costs up to $800. At sanctuary pools, we require you. A highly accredited company with excellent reviews. Purchasing a home with a swimming pool requires a specialised survey to confirm its safety and efficiency.
From leisurepoolscanada.ca
How Much Does an Inground Fiberglass Pool Cost Leisure Pools Canada Pool Survey Cost A swimming pool inspection costs up to $800. Here to help you buy, fix or renovate your pool. “i found the overall service level offered from. However, it can range between $376 and $768, depending on the size and makeup of your landscape, where you live, and the type of survey you have in mind. Pool suveys & inspections is. Pool Survey Cost.
From polynesianpoolandspa.com
Inground Pool Installation Costs Swimming Pools West Michigan Pool Survey Cost A highly accredited company with excellent reviews. Purchasing a home with a swimming pool requires a specialised survey to confirm its safety and efficiency. You need a survey to determine why your pool is leaking or you want to find out how much it is going to. “i found the overall service level offered from. At sanctuary pools, we require. Pool Survey Cost.
From weinspecttexas.com
Swimming Pool Survey and Underground Mapping in Dallas, TX Pool Survey Cost Purchasing a home with a swimming pool requires a specialised survey to confirm its safety and efficiency. A certified land surveyor can define. “i found the overall service level offered from. A swimming pool inspection costs up to $800. Pool suveys & inspections is your pool full of green cloudy water and in urgent need of restoration? The survey is. Pool Survey Cost.
From www.estimates123.com
Pool Resurfacing Cost Pool Replastering Cost Pool Survey Cost Pool surveys | leak detection. You need a survey to determine why your pool is leaking or you want to find out how much it is going to. Before spending considerable money installing a swimming pool you need to buy a survey to locate property lines, easements, and set backs. A swimming pool inspection costs up to $800. Purchasing a. Pool Survey Cost.
From www.chrc.qld.gov.au
Have your say with the 2022 aquatic centre survey Pool Survey Cost Before spending considerable money installing a swimming pool you need to buy a survey to locate property lines, easements, and set backs. A swimming pool inspection costs up to $800. Here to help you buy, fix or renovate your pool. A certified land surveyor can define. However, it can range between $376 and $768, depending on the size and makeup. Pool Survey Cost.
From www.inf-inet.com
Cost Of Having A Pool Pool Survey Cost A swimming pool inspection costs up to $800. A highly accredited company with excellent reviews. Here to help you buy, fix or renovate your pool. The survey is essential for. A certified land surveyor can define. “i found the overall service level offered from. A pool inspection costs $200 to $500 on average, depending on the pool size, design, number. Pool Survey Cost.
From estimatorflorida.com
Indoor Pool Construction Cost Estimator Estimate Florida Consulting Pool Survey Cost A certified land surveyor can define. A highly accredited company with excellent reviews. At sanctuary pools, we require you. You need a survey to determine why your pool is leaking or you want to find out how much it is going to. Before spending considerable money installing a swimming pool you need to buy a survey to locate property lines,. Pool Survey Cost.
From www.investopedia.com
Swimming Pools Costs vs. LongTerm Value Pool Survey Cost Pool surveys | leak detection. A pool inspection costs $200 to $500 on average, depending on the pool size, design, number of features, condition, and geographic location. A certified land surveyor can define. The survey is essential for. A highly accredited company with excellent reviews. A swimming pool inspection costs up to $800. At sanctuary pools, we require you. You. Pool Survey Cost.
From www.pinterest.com
two pricing sheets for the pool and one with prices on each side Pool Survey Cost At sanctuary pools, we require you. Purchasing a home with a swimming pool requires a specialised survey to confirm its safety and efficiency. Pool suveys & inspections is your pool full of green cloudy water and in urgent need of restoration? Here to help you buy, fix or renovate your pool. A certified land surveyor can define. Pool surveys |. Pool Survey Cost.
From blog.royalswimmingpools.com
How Much Does an Inground Pool Cost? Pool Survey Cost A highly accredited company with excellent reviews. The survey is essential for. A swimming pool inspection costs up to $800. Here to help you buy, fix or renovate your pool. Pool surveys | leak detection. “i found the overall service level offered from. A pool inspection costs $200 to $500 on average, depending on the pool size, design, number of. Pool Survey Cost.
From www.monaliiku.fi
Results from our swimming survey are here! Monikansallisten naisten Pool Survey Cost Before spending considerable money installing a swimming pool you need to buy a survey to locate property lines, easements, and set backs. The survey is essential for. At sanctuary pools, we require you. A swimming pool inspection costs up to $800. Pool surveys | leak detection. You need a survey to determine why your pool is leaking or you want. Pool Survey Cost.
From www.dexform.com
Pool construction cost estimating model in Word and Pdf formats Pool Survey Cost A certified land surveyor can define. A highly accredited company with excellent reviews. At sanctuary pools, we require you. A swimming pool inspection costs up to $800. You need a survey to determine why your pool is leaking or you want to find out how much it is going to. The survey is essential for. A pool inspection costs $200. Pool Survey Cost.
From www.pinterest.es
Inground Pool Cost Infographic Inground Pool Pricing, Inground Pool Pool Survey Cost Pool surveys | leak detection. Purchasing a home with a swimming pool requires a specialised survey to confirm its safety and efficiency. A certified land surveyor can define. However, it can range between $376 and $768, depending on the size and makeup of your landscape, where you live, and the type of survey you have in mind. Before spending considerable. Pool Survey Cost.
From www.lovemypoolclub.com
How Much Does It Cost For Pool Maintenance Pool Survey Cost The survey is essential for. Here to help you buy, fix or renovate your pool. A certified land surveyor can define. A swimming pool inspection costs up to $800. Pool suveys & inspections is your pool full of green cloudy water and in urgent need of restoration? You need a survey to determine why your pool is leaking or you. Pool Survey Cost.
From llifehacking.blogspot.com
How Much Does It Cost To Maintain A Pool? The Hacks For Your Life Pool Survey Cost However, it can range between $376 and $768, depending on the size and makeup of your landscape, where you live, and the type of survey you have in mind. Pool surveys | leak detection. At sanctuary pools, we require you. The survey is essential for. “i found the overall service level offered from. A highly accredited company with excellent reviews.. Pool Survey Cost.
From www.cirruspools.com
Perfect Time to Buy a Pool Cirrus Pool & Spa Installation Pool Survey Cost A highly accredited company with excellent reviews. A swimming pool inspection costs up to $800. Purchasing a home with a swimming pool requires a specialised survey to confirm its safety and efficiency. Pool suveys & inspections is your pool full of green cloudy water and in urgent need of restoration? Before spending considerable money installing a swimming pool you need. Pool Survey Cost.
From rodriguezcortiferet.blogspot.com
How Much Does It Cost To Hire A Pool Service? Rodriguez Cortiferet Pool Survey Cost Before spending considerable money installing a swimming pool you need to buy a survey to locate property lines, easements, and set backs. A swimming pool inspection costs up to $800. Here to help you buy, fix or renovate your pool. The survey is essential for. Pool suveys & inspections is your pool full of green cloudy water and in urgent. Pool Survey Cost.
From www.swimmingpoolsurveys.co.uk
Swimming Pool Surveys & Leak Detection Swimming Pool Surveys Pool Survey Cost Here to help you buy, fix or renovate your pool. A swimming pool inspection costs up to $800. Pool surveys | leak detection. However, it can range between $376 and $768, depending on the size and makeup of your landscape, where you live, and the type of survey you have in mind. A pool inspection costs $200 to $500 on. Pool Survey Cost.
From www.dexform.com
Pool construction cost estimating model in Word and Pdf formats Pool Survey Cost A highly accredited company with excellent reviews. The survey is essential for. Pool suveys & inspections is your pool full of green cloudy water and in urgent need of restoration? A pool inspection costs $200 to $500 on average, depending on the pool size, design, number of features, condition, and geographic location. Pool surveys | leak detection. Before spending considerable. Pool Survey Cost.
From www.mackenzie.govt.nz
Swimming Pool Satisfaction Survey Mackenzie District Council Pool Survey Cost At sanctuary pools, we require you. The survey is essential for. A highly accredited company with excellent reviews. Here to help you buy, fix or renovate your pool. Purchasing a home with a swimming pool requires a specialised survey to confirm its safety and efficiency. A pool inspection costs $200 to $500 on average, depending on the pool size, design,. Pool Survey Cost.
From www.gpspoolstore.com
Concrete Pool Resurfacing Cost What to Expect Pool Resurface Options Pool Survey Cost The survey is essential for. Before spending considerable money installing a swimming pool you need to buy a survey to locate property lines, easements, and set backs. You need a survey to determine why your pool is leaking or you want to find out how much it is going to. At sanctuary pools, we require you. “i found the overall. Pool Survey Cost.
From thursdaypools.com
Pool Cost Calculator Thursday Pools Pool Survey Cost Before spending considerable money installing a swimming pool you need to buy a survey to locate property lines, easements, and set backs. At sanctuary pools, we require you. “i found the overall service level offered from. Pool suveys & inspections is your pool full of green cloudy water and in urgent need of restoration? A certified land surveyor can define.. Pool Survey Cost.
From study.com
Activity Cost Pools Definition & Examples Lesson Pool Survey Cost The survey is essential for. Here to help you buy, fix or renovate your pool. “i found the overall service level offered from. Pool surveys | leak detection. Purchasing a home with a swimming pool requires a specialised survey to confirm its safety and efficiency. A certified land surveyor can define. A swimming pool inspection costs up to $800. At. Pool Survey Cost.
From ukdiveworks.co.uk
Swimming pool surveys, audits and inspections UK Diveworks Pool Survey Cost Purchasing a home with a swimming pool requires a specialised survey to confirm its safety and efficiency. “i found the overall service level offered from. A highly accredited company with excellent reviews. A certified land surveyor can define. You need a survey to determine why your pool is leaking or you want to find out how much it is going. Pool Survey Cost.
From realtytimes.com
Factors That Impact Land Survey Prices Realty Times Pool Survey Cost A highly accredited company with excellent reviews. Pool surveys | leak detection. “i found the overall service level offered from. At sanctuary pools, we require you. A swimming pool inspection costs up to $800. A certified land surveyor can define. You need a survey to determine why your pool is leaking or you want to find out how much it. Pool Survey Cost.
From scantechsurveys.com.au
Deflection Report of a Swimming Pool SCAN TECH SURVEYS Pool Survey Cost Pool surveys | leak detection. A highly accredited company with excellent reviews. You need a survey to determine why your pool is leaking or you want to find out how much it is going to. “i found the overall service level offered from. Pool suveys & inspections is your pool full of green cloudy water and in urgent need of. Pool Survey Cost.
From www.creativepoolsandleisure.co.uk
Pool Liner Survey Service — Creative Pools and Leisure Pool Survey Cost You need a survey to determine why your pool is leaking or you want to find out how much it is going to. Purchasing a home with a swimming pool requires a specialised survey to confirm its safety and efficiency. Pool surveys | leak detection. A pool inspection costs $200 to $500 on average, depending on the pool size, design,. Pool Survey Cost.
From www.brianspoolcare.com
How Much Does Pool Service Cost In Phoenix? Brians Pool Care Pool Survey Cost A swimming pool inspection costs up to $800. At sanctuary pools, we require you. A pool inspection costs $200 to $500 on average, depending on the pool size, design, number of features, condition, and geographic location. You need a survey to determine why your pool is leaking or you want to find out how much it is going to. Before. Pool Survey Cost.
From www.swimmingpool-consultants.com
Pool Surveys Swimming Pool Consultants Pool Survey Cost A pool inspection costs $200 to $500 on average, depending on the pool size, design, number of features, condition, and geographic location. Pool suveys & inspections is your pool full of green cloudy water and in urgent need of restoration? A certified land surveyor can define. You need a survey to determine why your pool is leaking or you want. Pool Survey Cost.
From www.fixr.com
Cost to Build a Pool Swimming Pool Cost Pool Survey Cost Before spending considerable money installing a swimming pool you need to buy a survey to locate property lines, easements, and set backs. “i found the overall service level offered from. A highly accredited company with excellent reviews. Pool suveys & inspections is your pool full of green cloudy water and in urgent need of restoration? Pool surveys | leak detection.. Pool Survey Cost.
From www.bayleisure.co.uk
Swimming Pool Survey Bay Leisure Swimming Pool Contractor Exeter Pool Survey Cost Pool suveys & inspections is your pool full of green cloudy water and in urgent need of restoration? Purchasing a home with a swimming pool requires a specialised survey to confirm its safety and efficiency. A pool inspection costs $200 to $500 on average, depending on the pool size, design, number of features, condition, and geographic location. However, it can. Pool Survey Cost.
From wvcenterforwellness.org
Wallowa Valley Center for Wellness Pool Survey Pool Survey Cost A pool inspection costs $200 to $500 on average, depending on the pool size, design, number of features, condition, and geographic location. Purchasing a home with a swimming pool requires a specialised survey to confirm its safety and efficiency. Here to help you buy, fix or renovate your pool. However, it can range between $376 and $768, depending on the. Pool Survey Cost.
From www.swimmingpoolsurveys.co.uk
Swimming Pool Surveys & Leak Detection Swimming Pool Surveys Pool Survey Cost However, it can range between $376 and $768, depending on the size and makeup of your landscape, where you live, and the type of survey you have in mind. Pool suveys & inspections is your pool full of green cloudy water and in urgent need of restoration? A highly accredited company with excellent reviews. Here to help you buy, fix. Pool Survey Cost.
From www.forbes.com
Inground Pool Cost Estimator Forbes Advisor Pool Survey Cost “i found the overall service level offered from. You need a survey to determine why your pool is leaking or you want to find out how much it is going to. At sanctuary pools, we require you. Here to help you buy, fix or renovate your pool. Before spending considerable money installing a swimming pool you need to buy a. Pool Survey Cost.
From www.scribd.com
Swimming Pool Estimates PDF Swimming Pool Building Materials Pool Survey Cost A swimming pool inspection costs up to $800. A pool inspection costs $200 to $500 on average, depending on the pool size, design, number of features, condition, and geographic location. A highly accredited company with excellent reviews. Here to help you buy, fix or renovate your pool. Pool suveys & inspections is your pool full of green cloudy water and. Pool Survey Cost.