Union Proposal Example . If the union wants to come to negotiations with a. An agreement made between labor unions and employers to negotiate wages, benefits, and other conditions of a workplace. The initial proposal sets the tone for negotiations. Some unions propose a “substantial” or “equitable” raise initially, rather than a specific amount, which allows some time and flexibility. The following represent the union’s proposed amendments to the existing collective bargaining agreement and are presented without prejudice. Preparing the union’s initial proposal.
from www.sampletemplates.com
If the union wants to come to negotiations with a. Preparing the union’s initial proposal. The initial proposal sets the tone for negotiations. An agreement made between labor unions and employers to negotiate wages, benefits, and other conditions of a workplace. The following represent the union’s proposed amendments to the existing collective bargaining agreement and are presented without prejudice. Some unions propose a “substantial” or “equitable” raise initially, rather than a specific amount, which allows some time and flexibility.
FREE 8+ Proposal Contract Templates in PDF MS Word Google Docs Pages
Union Proposal Example An agreement made between labor unions and employers to negotiate wages, benefits, and other conditions of a workplace. Preparing the union’s initial proposal. Some unions propose a “substantial” or “equitable” raise initially, rather than a specific amount, which allows some time and flexibility. An agreement made between labor unions and employers to negotiate wages, benefits, and other conditions of a workplace. If the union wants to come to negotiations with a. The initial proposal sets the tone for negotiations. The following represent the union’s proposed amendments to the existing collective bargaining agreement and are presented without prejudice.
From www.sampletemplates.com
FREE 13+ Proposal Samples in Word, PDF, Excel Union Proposal Example The initial proposal sets the tone for negotiations. Some unions propose a “substantial” or “equitable” raise initially, rather than a specific amount, which allows some time and flexibility. An agreement made between labor unions and employers to negotiate wages, benefits, and other conditions of a workplace. Preparing the union’s initial proposal. The following represent the union’s proposed amendments to the. Union Proposal Example.
From studylib.net
Concept note format Union Proposal Example Preparing the union’s initial proposal. Some unions propose a “substantial” or “equitable” raise initially, rather than a specific amount, which allows some time and flexibility. The following represent the union’s proposed amendments to the existing collective bargaining agreement and are presented without prejudice. The initial proposal sets the tone for negotiations. If the union wants to come to negotiations with. Union Proposal Example.
From ibew1245.com
Union Summary Of Company Proposals Union Proposal Example The initial proposal sets the tone for negotiations. Some unions propose a “substantial” or “equitable” raise initially, rather than a specific amount, which allows some time and flexibility. Preparing the union’s initial proposal. If the union wants to come to negotiations with a. An agreement made between labor unions and employers to negotiate wages, benefits, and other conditions of a. Union Proposal Example.
From templatelab.com
40+ Best Request for Proposal Templates & Examples (RPF Templates) Union Proposal Example The initial proposal sets the tone for negotiations. The following represent the union’s proposed amendments to the existing collective bargaining agreement and are presented without prejudice. Preparing the union’s initial proposal. Some unions propose a “substantial” or “equitable” raise initially, rather than a specific amount, which allows some time and flexibility. An agreement made between labor unions and employers to. Union Proposal Example.
From ivypanda.com
Unions and Management in Workplace 671 Words Proposal Example Union Proposal Example The initial proposal sets the tone for negotiations. If the union wants to come to negotiations with a. The following represent the union’s proposed amendments to the existing collective bargaining agreement and are presented without prejudice. Preparing the union’s initial proposal. Some unions propose a “substantial” or “equitable” raise initially, rather than a specific amount, which allows some time and. Union Proposal Example.
From www.scribd.com
Proposal Union Proposal Example Preparing the union’s initial proposal. The initial proposal sets the tone for negotiations. The following represent the union’s proposed amendments to the existing collective bargaining agreement and are presented without prejudice. Some unions propose a “substantial” or “equitable” raise initially, rather than a specific amount, which allows some time and flexibility. If the union wants to come to negotiations with. Union Proposal Example.
From www.scribd.com
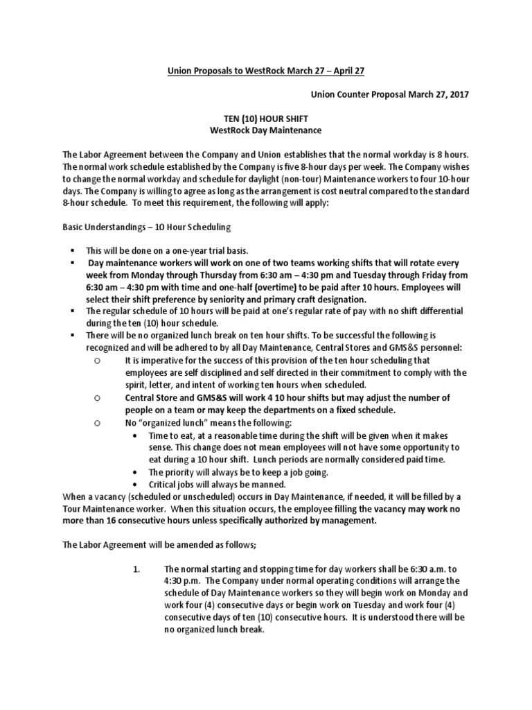
Union Proposals To WRK March 27 April 27 PDF Working Time Overtime Union Proposal Example Some unions propose a “substantial” or “equitable” raise initially, rather than a specific amount, which allows some time and flexibility. An agreement made between labor unions and employers to negotiate wages, benefits, and other conditions of a workplace. The following represent the union’s proposed amendments to the existing collective bargaining agreement and are presented without prejudice. If the union wants. Union Proposal Example.
From www.template.net
10+ Campaign Proposal Templates Word, PDF, Pages Union Proposal Example Some unions propose a “substantial” or “equitable” raise initially, rather than a specific amount, which allows some time and flexibility. The following represent the union’s proposed amendments to the existing collective bargaining agreement and are presented without prejudice. Preparing the union’s initial proposal. If the union wants to come to negotiations with a. The initial proposal sets the tone for. Union Proposal Example.
From www.slideserve.com
PPT How to Make Collective Bargaining PowerPoint Presentation, free Union Proposal Example Preparing the union’s initial proposal. The following represent the union’s proposed amendments to the existing collective bargaining agreement and are presented without prejudice. If the union wants to come to negotiations with a. Some unions propose a “substantial” or “equitable” raise initially, rather than a specific amount, which allows some time and flexibility. An agreement made between labor unions and. Union Proposal Example.
From www.canva.com
Free, printable, editable proposal templates for work or school Canva Union Proposal Example Preparing the union’s initial proposal. An agreement made between labor unions and employers to negotiate wages, benefits, and other conditions of a workplace. Some unions propose a “substantial” or “equitable” raise initially, rather than a specific amount, which allows some time and flexibility. The initial proposal sets the tone for negotiations. If the union wants to come to negotiations with. Union Proposal Example.
From templatelab.com
40+ Grant Proposal Templates [NSF, NonProfit, Research] Template Lab Union Proposal Example An agreement made between labor unions and employers to negotiate wages, benefits, and other conditions of a workplace. The initial proposal sets the tone for negotiations. Preparing the union’s initial proposal. Some unions propose a “substantial” or “equitable” raise initially, rather than a specific amount, which allows some time and flexibility. The following represent the union’s proposed amendments to the. Union Proposal Example.
From www.sampleforms.com
FREE 8+ Program Proposal Forms in PDF MS Word Union Proposal Example Some unions propose a “substantial” or “equitable” raise initially, rather than a specific amount, which allows some time and flexibility. The following represent the union’s proposed amendments to the existing collective bargaining agreement and are presented without prejudice. Preparing the union’s initial proposal. The initial proposal sets the tone for negotiations. If the union wants to come to negotiations with. Union Proposal Example.
From www.typecalendar.com
Free Printable Grant Proposal Templates [Word, PDF] For Nonprofit Union Proposal Example An agreement made between labor unions and employers to negotiate wages, benefits, and other conditions of a workplace. The following represent the union’s proposed amendments to the existing collective bargaining agreement and are presented without prejudice. The initial proposal sets the tone for negotiations. Some unions propose a “substantial” or “equitable” raise initially, rather than a specific amount, which allows. Union Proposal Example.
From dl-uk.apowersoft.com
Free Printable Proposal Templates Union Proposal Example If the union wants to come to negotiations with a. The following represent the union’s proposed amendments to the existing collective bargaining agreement and are presented without prejudice. Some unions propose a “substantial” or “equitable” raise initially, rather than a specific amount, which allows some time and flexibility. The initial proposal sets the tone for negotiations. Preparing the union’s initial. Union Proposal Example.
From www.pinterest.ca
Labor Work Agreement Templates 14+ Free Word & PDF Formats Work Union Proposal Example An agreement made between labor unions and employers to negotiate wages, benefits, and other conditions of a workplace. The following represent the union’s proposed amendments to the existing collective bargaining agreement and are presented without prejudice. The initial proposal sets the tone for negotiations. If the union wants to come to negotiations with a. Preparing the union’s initial proposal. Some. Union Proposal Example.
From www.process.st
How to Write a Proposal and Get What You Want (Free Templates) Union Proposal Example The initial proposal sets the tone for negotiations. If the union wants to come to negotiations with a. Preparing the union’s initial proposal. The following represent the union’s proposed amendments to the existing collective bargaining agreement and are presented without prejudice. An agreement made between labor unions and employers to negotiate wages, benefits, and other conditions of a workplace. Some. Union Proposal Example.
From www.yumpu.com
SAMPLE LETTER TO PROSPECTIVE MEMBERS A Union Plus Union Proposal Example An agreement made between labor unions and employers to negotiate wages, benefits, and other conditions of a workplace. If the union wants to come to negotiations with a. Preparing the union’s initial proposal. Some unions propose a “substantial” or “equitable” raise initially, rather than a specific amount, which allows some time and flexibility. The following represent the union’s proposed amendments. Union Proposal Example.
From www.formsbirds.com
EUNGOs Project Proposal Template UNDP Free Download Union Proposal Example The following represent the union’s proposed amendments to the existing collective bargaining agreement and are presented without prejudice. If the union wants to come to negotiations with a. Preparing the union’s initial proposal. An agreement made between labor unions and employers to negotiate wages, benefits, and other conditions of a workplace. Some unions propose a “substantial” or “equitable” raise initially,. Union Proposal Example.
From www.scribd.com
Proposal Template Innovation European Union Union Proposal Example If the union wants to come to negotiations with a. The initial proposal sets the tone for negotiations. Some unions propose a “substantial” or “equitable” raise initially, rather than a specific amount, which allows some time and flexibility. Preparing the union’s initial proposal. An agreement made between labor unions and employers to negotiate wages, benefits, and other conditions of a. Union Proposal Example.
From www.pinterest.co.uk
How To Write A Proposal Letter Proposal writing, Proposal letter Union Proposal Example Preparing the union’s initial proposal. An agreement made between labor unions and employers to negotiate wages, benefits, and other conditions of a workplace. Some unions propose a “substantial” or “equitable” raise initially, rather than a specific amount, which allows some time and flexibility. The initial proposal sets the tone for negotiations. The following represent the union’s proposed amendments to the. Union Proposal Example.
From www.al.com
Northgrop Grumman workers handed union contract explainers at Union Proposal Example Preparing the union’s initial proposal. An agreement made between labor unions and employers to negotiate wages, benefits, and other conditions of a workplace. The following represent the union’s proposed amendments to the existing collective bargaining agreement and are presented without prejudice. The initial proposal sets the tone for negotiations. If the union wants to come to negotiations with a. Some. Union Proposal Example.
From www.opseu562.org
20170704 Union Proposals For Settlement Humber Faculty Union Union Proposal Example An agreement made between labor unions and employers to negotiate wages, benefits, and other conditions of a workplace. The initial proposal sets the tone for negotiations. Preparing the union’s initial proposal. The following represent the union’s proposed amendments to the existing collective bargaining agreement and are presented without prejudice. If the union wants to come to negotiations with a. Some. Union Proposal Example.
From www.uniteherephilly.org
Take a Stand! June 8th for Aramark! UNITE HERE Philly Union Proposal Example An agreement made between labor unions and employers to negotiate wages, benefits, and other conditions of a workplace. The following represent the union’s proposed amendments to the existing collective bargaining agreement and are presented without prejudice. Preparing the union’s initial proposal. The initial proposal sets the tone for negotiations. Some unions propose a “substantial” or “equitable” raise initially, rather than. Union Proposal Example.
From ikase.us
Free 40 Best Request For Proposal Templates & Examples Rpf Managed Union Proposal Example Preparing the union’s initial proposal. Some unions propose a “substantial” or “equitable” raise initially, rather than a specific amount, which allows some time and flexibility. The following represent the union’s proposed amendments to the existing collective bargaining agreement and are presented without prejudice. If the union wants to come to negotiations with a. The initial proposal sets the tone for. Union Proposal Example.
From www.template.net
39+ FREE Contract Proposal Templates [Edit & Download] Union Proposal Example If the union wants to come to negotiations with a. Some unions propose a “substantial” or “equitable” raise initially, rather than a specific amount, which allows some time and flexibility. The initial proposal sets the tone for negotiations. Preparing the union’s initial proposal. An agreement made between labor unions and employers to negotiate wages, benefits, and other conditions of a. Union Proposal Example.
From www.sampletemplates.com
FREE 8+ Proposal Contract Templates in PDF MS Word Google Docs Pages Union Proposal Example An agreement made between labor unions and employers to negotiate wages, benefits, and other conditions of a workplace. Some unions propose a “substantial” or “equitable” raise initially, rather than a specific amount, which allows some time and flexibility. Preparing the union’s initial proposal. The following represent the union’s proposed amendments to the existing collective bargaining agreement and are presented without. Union Proposal Example.
From www.sampletemplates.com
FREE 5+ Sample Collective Bargaining Agreement Templates in PDF MS Word Union Proposal Example The following represent the union’s proposed amendments to the existing collective bargaining agreement and are presented without prejudice. An agreement made between labor unions and employers to negotiate wages, benefits, and other conditions of a workplace. Some unions propose a “substantial” or “equitable” raise initially, rather than a specific amount, which allows some time and flexibility. Preparing the union’s initial. Union Proposal Example.
From studylib.net
Detailed proposal format Union Proposal Example Preparing the union’s initial proposal. Some unions propose a “substantial” or “equitable” raise initially, rather than a specific amount, which allows some time and flexibility. The initial proposal sets the tone for negotiations. The following represent the union’s proposed amendments to the existing collective bargaining agreement and are presented without prejudice. An agreement made between labor unions and employers to. Union Proposal Example.
From www.examples.com
Contract Proposal 10+ Examples, Format, How to Write, Pdf Union Proposal Example Preparing the union’s initial proposal. The initial proposal sets the tone for negotiations. An agreement made between labor unions and employers to negotiate wages, benefits, and other conditions of a workplace. If the union wants to come to negotiations with a. The following represent the union’s proposed amendments to the existing collective bargaining agreement and are presented without prejudice. Some. Union Proposal Example.
From www.allbusinesstemplates.com
Contract Proposal for Services Templates at Union Proposal Example If the union wants to come to negotiations with a. The initial proposal sets the tone for negotiations. Preparing the union’s initial proposal. An agreement made between labor unions and employers to negotiate wages, benefits, and other conditions of a workplace. Some unions propose a “substantial” or “equitable” raise initially, rather than a specific amount, which allows some time and. Union Proposal Example.
From studylib.net
union agreement Union Proposal Example Some unions propose a “substantial” or “equitable” raise initially, rather than a specific amount, which allows some time and flexibility. Preparing the union’s initial proposal. The initial proposal sets the tone for negotiations. The following represent the union’s proposed amendments to the existing collective bargaining agreement and are presented without prejudice. If the union wants to come to negotiations with. Union Proposal Example.
From niftypm.com
How To Write A Project Proposal in 2023 (+ Examples & Templates) Union Proposal Example An agreement made between labor unions and employers to negotiate wages, benefits, and other conditions of a workplace. The following represent the union’s proposed amendments to the existing collective bargaining agreement and are presented without prejudice. Preparing the union’s initial proposal. If the union wants to come to negotiations with a. Some unions propose a “substantial” or “equitable” raise initially,. Union Proposal Example.
From templatelab.com
30 Professional Policy Proposal Templates [& Examples] ᐅ TemplateLab Union Proposal Example The initial proposal sets the tone for negotiations. If the union wants to come to negotiations with a. The following represent the union’s proposed amendments to the existing collective bargaining agreement and are presented without prejudice. Some unions propose a “substantial” or “equitable” raise initially, rather than a specific amount, which allows some time and flexibility. An agreement made between. Union Proposal Example.
From www.scribd.com
Sample Proposal Hungary European Union Union Proposal Example An agreement made between labor unions and employers to negotiate wages, benefits, and other conditions of a workplace. The following represent the union’s proposed amendments to the existing collective bargaining agreement and are presented without prejudice. Some unions propose a “substantial” or “equitable” raise initially, rather than a specific amount, which allows some time and flexibility. Preparing the union’s initial. Union Proposal Example.
From www.sampletemplates.com
15+ Sample Partnership Proposals Sample Templates Union Proposal Example Some unions propose a “substantial” or “equitable” raise initially, rather than a specific amount, which allows some time and flexibility. An agreement made between labor unions and employers to negotiate wages, benefits, and other conditions of a workplace. The initial proposal sets the tone for negotiations. The following represent the union’s proposed amendments to the existing collective bargaining agreement and. Union Proposal Example.