Basis For All 2X3 Matrices . They span because any vector (a b) (a b) can be written as a linear. We need to find two vectors in r2 that span r2 and are linearly independent. A basis for s 3x3 ( r) consists of the six 3 by 3 matrices. Let a = [2 4 6 8 1 3 0 5 1 1 6 3]. We explain how to find a basis of the null space of a given matrix. Because a basis “spans” the vector space,. For a basis of the null space it is preferable to work with the equivalent. The corresponding columns of \(a\) provide a basis for the column space of \(a\). I'm having trouble doing these kinds of. Let \(u\) be a vector space with basis \(b=\{u_1, \ldots, u_n\}\), and let \(u\) be a vector in \(u\). In general, there are n + ( n − 1) +. All 2x2 matrices are linear combinations of the following 4 matrices; (b) find a basis for the row space of. How to find a basis for the nullspace, row space, and range of a matrix. Find a basis for the space of all $2$ by $3$ matrices whose rows and columns sum to zero.
from www.youtube.com
(a) find a basis for the nullspace of a. Find a basis for the space of all $2$ by $3$ matrices whose rows and columns sum to zero. For a basis of the null space it is preferable to work with the equivalent. In general, there are n + ( n − 1) +. A basis for s 3x3 ( r) consists of the six 3 by 3 matrices. (b) find a basis for the row space of. + 2 + 1 = ½ n ( n + 1) degrees of freedom in the selection of entries in an n by n symmetric matrix, so dim s nxn (. Let \(u\) be a vector space with basis \(b=\{u_1, \ldots, u_n\}\), and let \(u\) be a vector in \(u\). All 2x2 matrices are linear combinations of the following 4 matrices; I'm having trouble doing these kinds of.
Matrixvector and Matrixmatrix Multiplication YouTube
Basis For All 2X3 Matrices We need to find two vectors in r2 that span r2 and are linearly independent. We need to find two vectors in r2 that span r2 and are linearly independent. We explain how to find a basis of the null space of a given matrix. Let a = [2 4 6 8 1 3 0 5 1 1 6 3]. They span because any vector (a b) (a b) can be written as a linear. Let \(u\) be a vector space with basis \(b=\{u_1, \ldots, u_n\}\), and let \(u\) be a vector in \(u\). + 2 + 1 = ½ n ( n + 1) degrees of freedom in the selection of entries in an n by n symmetric matrix, so dim s nxn (. In general, there are n + ( n − 1) +. (a) find a basis for the nullspace of a. Find a basis for the space of all $2$ by $3$ matrices whose rows and columns sum to zero. For a basis of the null space it is preferable to work with the equivalent. (b) find a basis for the row space of. A basis for s 3x3 ( r) consists of the six 3 by 3 matrices. One such basis is {(1 0), (0 1)}: I'm having trouble doing these kinds of. The corresponding columns of \(a\) provide a basis for the column space of \(a\).
From www.youtube.com
Find a basis for the space of 2 \times 2 diagonal matrices.\text{Basis Basis For All 2X3 Matrices They span because any vector (a b) (a b) can be written as a linear. Because a basis “spans” the vector space,. One such basis is {(1 0), (0 1)}: We explain how to find a basis of the null space of a given matrix. (b) find a basis for the row space of. We need to find two vectors. Basis For All 2X3 Matrices.
From www.chegg.com
Solved = Special types of matrices. This problem introduces Basis For All 2X3 Matrices How to find a basis for the nullspace, row space, and range of a matrix. (a) find a basis for the nullspace of a. All 2x2 matrices are linear combinations of the following 4 matrices; (b) find a basis for the row space of. Let \(u\) be a vector space with basis \(b=\{u_1, \ldots, u_n\}\), and let \(u\) be a. Basis For All 2X3 Matrices.
From www.teachoo.com
Matrices and Determinants Formula Sheet and Summary Teachoo Basis For All 2X3 Matrices One such basis is {(1 0), (0 1)}: Because a basis “spans” the vector space,. In general, there are n + ( n − 1) +. (b) find a basis for the row space of. We explain how to find a basis of the null space of a given matrix. I'm having trouble doing these kinds of. How to find. Basis For All 2X3 Matrices.
From www.youtube.com
How to calculate the singular values of a matrix YouTube Basis For All 2X3 Matrices The corresponding columns of \(a\) provide a basis for the column space of \(a\). For a basis of the null space it is preferable to work with the equivalent. A basis for s 3x3 ( r) consists of the six 3 by 3 matrices. Find a basis for the space of all $2$ by $3$ matrices whose rows and columns. Basis For All 2X3 Matrices.
From en.neurochispas.com
Multiplication of 2x3 and 3x2 Matrices with Examples Neurochispas Basis For All 2X3 Matrices + 2 + 1 = ½ n ( n + 1) degrees of freedom in the selection of entries in an n by n symmetric matrix, so dim s nxn (. For a basis of the null space it is preferable to work with the equivalent. I'm having trouble doing these kinds of. We need to find two vectors in. Basis For All 2X3 Matrices.
From www.youtube.com
Linear Algebra Example Problems Matrix Null Space Basis and Dimension Basis For All 2X3 Matrices (a) find a basis for the nullspace of a. The corresponding columns of \(a\) provide a basis for the column space of \(a\). + 2 + 1 = ½ n ( n + 1) degrees of freedom in the selection of entries in an n by n symmetric matrix, so dim s nxn (. One such basis is {(1 0),. Basis For All 2X3 Matrices.
From www.numerade.com
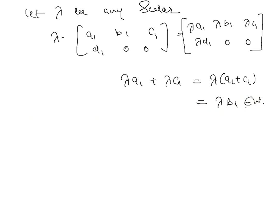
SOLVED Q4. Show whether the following subsets of the vector space of Basis For All 2X3 Matrices Let a = [2 4 6 8 1 3 0 5 1 1 6 3]. I'm having trouble doing these kinds of. For a basis of the null space it is preferable to work with the equivalent. Because a basis “spans” the vector space,. We need to find two vectors in r2 that span r2 and are linearly independent. A. Basis For All 2X3 Matrices.
From www.reddit.com
I'm trying to find the basis of the span of 4 matrices r/askmath Basis For All 2X3 Matrices Let a = [2 4 6 8 1 3 0 5 1 1 6 3]. + 2 + 1 = ½ n ( n + 1) degrees of freedom in the selection of entries in an n by n symmetric matrix, so dim s nxn (. I'm having trouble doing these kinds of. We need to find two vectors in. Basis For All 2X3 Matrices.
From www.numerade.com
SOLVED Consider the matrix Find a basis of the orthogonal complement Basis For All 2X3 Matrices All 2x2 matrices are linear combinations of the following 4 matrices; How to find a basis for the nullspace, row space, and range of a matrix. A basis for s 3x3 ( r) consists of the six 3 by 3 matrices. We need to find two vectors in r2 that span r2 and are linearly independent. (a) find a basis. Basis For All 2X3 Matrices.
From www.youtube.com
Matrix with respect to a basis YouTube Basis For All 2X3 Matrices + 2 + 1 = ½ n ( n + 1) degrees of freedom in the selection of entries in an n by n symmetric matrix, so dim s nxn (. A basis for s 3x3 ( r) consists of the six 3 by 3 matrices. (a) find a basis for the nullspace of a. The corresponding columns of \(a\). Basis For All 2X3 Matrices.
From www.youtube.com
Diagonalize 3x3 matrix YouTube Basis For All 2X3 Matrices We explain how to find a basis of the null space of a given matrix. The corresponding columns of \(a\) provide a basis for the column space of \(a\). (a) find a basis for the nullspace of a. All 2x2 matrices are linear combinations of the following 4 matrices; They span because any vector (a b) (a b) can be. Basis For All 2X3 Matrices.
From www.youtube.com
Multiplicación de matrices 2x3 y 3x4 YouTube Basis For All 2X3 Matrices We explain how to find a basis of the null space of a given matrix. All 2x2 matrices are linear combinations of the following 4 matrices; (a) find a basis for the nullspace of a. For a basis of the null space it is preferable to work with the equivalent. (b) find a basis for the row space of. They. Basis For All 2X3 Matrices.
From www.youtube.com
Matrixvector and Matrixmatrix Multiplication YouTube Basis For All 2X3 Matrices Let \(u\) be a vector space with basis \(b=\{u_1, \ldots, u_n\}\), and let \(u\) be a vector in \(u\). We explain how to find a basis of the null space of a given matrix. A basis for s 3x3 ( r) consists of the six 3 by 3 matrices. In general, there are n + ( n − 1) +.. Basis For All 2X3 Matrices.
From www.chegg.com
Solved Let V Be The Vector Space Of All 2x2 Upper Triangu... Basis For All 2X3 Matrices How to find a basis for the nullspace, row space, and range of a matrix. We need to find two vectors in r2 that span r2 and are linearly independent. A basis for s 3x3 ( r) consists of the six 3 by 3 matrices. They span because any vector (a b) (a b) can be written as a linear.. Basis For All 2X3 Matrices.
From www.youtube.com
Multiply Two Matrices 2x3 and 3x3 YouTube Basis For All 2X3 Matrices How to find a basis for the nullspace, row space, and range of a matrix. (a) find a basis for the nullspace of a. + 2 + 1 = ½ n ( n + 1) degrees of freedom in the selection of entries in an n by n symmetric matrix, so dim s nxn (. Let \(u\) be a vector. Basis For All 2X3 Matrices.
From www.tes.com
Matrices Lessons Tes Teach Basis For All 2X3 Matrices For a basis of the null space it is preferable to work with the equivalent. Let a = [2 4 6 8 1 3 0 5 1 1 6 3]. (b) find a basis for the row space of. All 2x2 matrices are linear combinations of the following 4 matrices; Because a basis “spans” the vector space,. We need to. Basis For All 2X3 Matrices.
From www.chegg.com
Solved Matrix Multiplication Consider two matrices, [A] with Basis For All 2X3 Matrices All 2x2 matrices are linear combinations of the following 4 matrices; Find a basis for the space of all $2$ by $3$ matrices whose rows and columns sum to zero. I'm having trouble doing these kinds of. (b) find a basis for the row space of. Let a = [2 4 6 8 1 3 0 5 1 1 6. Basis For All 2X3 Matrices.
From www.youtube.com
Learn Matrix Multiplication of Different Dimensions (2x3 times 3x2 Basis For All 2X3 Matrices In general, there are n + ( n − 1) +. How to find a basis for the nullspace, row space, and range of a matrix. For a basis of the null space it is preferable to work with the equivalent. + 2 + 1 = ½ n ( n + 1) degrees of freedom in the selection of entries. Basis For All 2X3 Matrices.
From www.chilimath.com
Adding and Subtracting Matrices ChiliMath Basis For All 2X3 Matrices + 2 + 1 = ½ n ( n + 1) degrees of freedom in the selection of entries in an n by n symmetric matrix, so dim s nxn (. They span because any vector (a b) (a b) can be written as a linear. We need to find two vectors in r2 that span r2 and are linearly. Basis For All 2X3 Matrices.
From www.youtube.com
Tutorial Q78 Basis in vector space of 2x2 matrices YouTube Basis For All 2X3 Matrices The corresponding columns of \(a\) provide a basis for the column space of \(a\). They span because any vector (a b) (a b) can be written as a linear. + 2 + 1 = ½ n ( n + 1) degrees of freedom in the selection of entries in an n by n symmetric matrix, so dim s nxn (.. Basis For All 2X3 Matrices.
From www.wikihow.com
How to Find the Null Space of a Matrix 5 Steps (with Pictures) Basis For All 2X3 Matrices For a basis of the null space it is preferable to work with the equivalent. I'm having trouble doing these kinds of. A basis for s 3x3 ( r) consists of the six 3 by 3 matrices. They span because any vector (a b) (a b) can be written as a linear. All 2x2 matrices are linear combinations of the. Basis For All 2X3 Matrices.
From erichudson.blogspot.com
Multiply 2x3 Matrix By 3x1 Eric Hudson's Multiplying Matrices Basis For All 2X3 Matrices We need to find two vectors in r2 that span r2 and are linearly independent. Because a basis “spans” the vector space,. Find a basis for the space of all $2$ by $3$ matrices whose rows and columns sum to zero. We explain how to find a basis of the null space of a given matrix. Let \(u\) be a. Basis For All 2X3 Matrices.
From www.youtube.com
Multiplicación de Matrices 3x2 y 2x3 Ejemplo 1 YouTube Basis For All 2X3 Matrices + 2 + 1 = ½ n ( n + 1) degrees of freedom in the selection of entries in an n by n symmetric matrix, so dim s nxn (. We explain how to find a basis of the null space of a given matrix. How to find a basis for the nullspace, row space, and range of a. Basis For All 2X3 Matrices.
From www.teachoo.com
Ex 3.2, 3 (v) Find the Product of 3x2 and 2x3 Matrices Teachoo Basis For All 2X3 Matrices (b) find a basis for the row space of. Because a basis “spans” the vector space,. All 2x2 matrices are linear combinations of the following 4 matrices; Let a = [2 4 6 8 1 3 0 5 1 1 6 3]. For a basis of the null space it is preferable to work with the equivalent. How to find. Basis For All 2X3 Matrices.
From www.youtube.com
Find the null space of a matrix YouTube Basis For All 2X3 Matrices A basis for s 3x3 ( r) consists of the six 3 by 3 matrices. Because a basis “spans” the vector space,. Find a basis for the space of all $2$ by $3$ matrices whose rows and columns sum to zero. (b) find a basis for the row space of. (a) find a basis for the nullspace of a. +. Basis For All 2X3 Matrices.
From www.numerade.com
SOLVED Check whether the set of all 2x3 matrices with first row any Basis For All 2X3 Matrices The corresponding columns of \(a\) provide a basis for the column space of \(a\). Because a basis “spans” the vector space,. They span because any vector (a b) (a b) can be written as a linear. For a basis of the null space it is preferable to work with the equivalent. We explain how to find a basis of the. Basis For All 2X3 Matrices.
From www.chegg.com
Solved 2 Orthogonal Matrices and Change of Basis Let B = Basis For All 2X3 Matrices Because a basis “spans” the vector space,. We need to find two vectors in r2 that span r2 and are linearly independent. We explain how to find a basis of the null space of a given matrix. (b) find a basis for the row space of. Let \(u\) be a vector space with basis \(b=\{u_1, \ldots, u_n\}\), and let \(u\). Basis For All 2X3 Matrices.
From www.youtube.com
Inverse of Non Square Matrix of Order 2 x 3 YouTube Basis For All 2X3 Matrices Find a basis for the space of all $2$ by $3$ matrices whose rows and columns sum to zero. How to find a basis for the nullspace, row space, and range of a matrix. (a) find a basis for the nullspace of a. (b) find a basis for the row space of. For a basis of the null space it. Basis For All 2X3 Matrices.
From www.chegg.com
Solved Consider the 2X3 matrix Calculate (A^T)A and AA^T Basis For All 2X3 Matrices Because a basis “spans” the vector space,. A basis for s 3x3 ( r) consists of the six 3 by 3 matrices. For a basis of the null space it is preferable to work with the equivalent. Let \(u\) be a vector space with basis \(b=\{u_1, \ldots, u_n\}\), and let \(u\) be a vector in \(u\). We need to find. Basis For All 2X3 Matrices.
From www.youtube.com
Determinant of 3x3 Matrices, 2x2 Matrix, Precalculus Video Tutorial Basis For All 2X3 Matrices We need to find two vectors in r2 that span r2 and are linearly independent. We explain how to find a basis of the null space of a given matrix. Let a = [2 4 6 8 1 3 0 5 1 1 6 3]. Let \(u\) be a vector space with basis \(b=\{u_1, \ldots, u_n\}\), and let \(u\) be. Basis For All 2X3 Matrices.
From www.teachoo.com
Example 8 Find matrix X, such that 2A + 3X = 5B Examples Basis For All 2X3 Matrices One such basis is {(1 0), (0 1)}: We explain how to find a basis of the null space of a given matrix. Find a basis for the space of all $2$ by $3$ matrices whose rows and columns sum to zero. How to find a basis for the nullspace, row space, and range of a matrix. For a basis. Basis For All 2X3 Matrices.
From www.youtube.com
How to Easily Find the Basis of the Span of Vectors Linear Algebra Basis For All 2X3 Matrices + 2 + 1 = ½ n ( n + 1) degrees of freedom in the selection of entries in an n by n symmetric matrix, so dim s nxn (. I'm having trouble doing these kinds of. (b) find a basis for the row space of. (a) find a basis for the nullspace of a. One such basis is. Basis For All 2X3 Matrices.
From www.numerade.com
SOLVED (a) The set of all 2 X 2 symmetric matrices is a subspace of Basis For All 2X3 Matrices Find a basis for the space of all $2$ by $3$ matrices whose rows and columns sum to zero. (b) find a basis for the row space of. In general, there are n + ( n − 1) +. Let a = [2 4 6 8 1 3 0 5 1 1 6 3]. We need to find two vectors. Basis For All 2X3 Matrices.
From www.youtube.com
Solving Linear Systems Using Matrices YouTube Basis For All 2X3 Matrices + 2 + 1 = ½ n ( n + 1) degrees of freedom in the selection of entries in an n by n symmetric matrix, so dim s nxn (. All 2x2 matrices are linear combinations of the following 4 matrices; How to find a basis for the nullspace, row space, and range of a matrix. For a basis. Basis For All 2X3 Matrices.
From www.animalia-life.club
Adding Matrices 2x2 Basis For All 2X3 Matrices Because a basis “spans” the vector space,. They span because any vector (a b) (a b) can be written as a linear. (b) find a basis for the row space of. All 2x2 matrices are linear combinations of the following 4 matrices; Find a basis for the space of all $2$ by $3$ matrices whose rows and columns sum to. Basis For All 2X3 Matrices.