Iron Is A D Block Element . Iron consider the electronic structure of neutral. What is a transition metal? Sources, facts, uses, scarcity (sri), podcasts, alchemical symbols, videos and. The terms transition metal (or element) and d block element are sometimes used as if they mean the same thing. Transition metals are defined as those elements that have (or readily form) partially filled d orbitals. The electronic structures of transition metals. Their general electron configuration is (n−1)d 1−10 ns 0−2. Henry taube's 30 years of research on the mobility of electrons in metal ions forms not only.
from www.slideserve.com
Their general electron configuration is (n−1)d 1−10 ns 0−2. What is a transition metal? Sources, facts, uses, scarcity (sri), podcasts, alchemical symbols, videos and. The terms transition metal (or element) and d block element are sometimes used as if they mean the same thing. Iron consider the electronic structure of neutral. The electronic structures of transition metals. Henry taube's 30 years of research on the mobility of electrons in metal ions forms not only. Transition metals are defined as those elements that have (or readily form) partially filled d orbitals.
PPT Transition Metals PowerPoint Presentation, free download ID2422197
Iron Is A D Block Element Their general electron configuration is (n−1)d 1−10 ns 0−2. Transition metals are defined as those elements that have (or readily form) partially filled d orbitals. Iron consider the electronic structure of neutral. Henry taube's 30 years of research on the mobility of electrons in metal ions forms not only. Their general electron configuration is (n−1)d 1−10 ns 0−2. The electronic structures of transition metals. The terms transition metal (or element) and d block element are sometimes used as if they mean the same thing. Sources, facts, uses, scarcity (sri), podcasts, alchemical symbols, videos and. What is a transition metal?
From www.slideshare.net
D blockelements Iron Is A D Block Element What is a transition metal? The terms transition metal (or element) and d block element are sometimes used as if they mean the same thing. Transition metals are defined as those elements that have (or readily form) partially filled d orbitals. Their general electron configuration is (n−1)d 1−10 ns 0−2. Henry taube's 30 years of research on the mobility of. Iron Is A D Block Element.
From mungfali.com
Periodic Table D Block Elements Iron Is A D Block Element Iron consider the electronic structure of neutral. What is a transition metal? Their general electron configuration is (n−1)d 1−10 ns 0−2. The electronic structures of transition metals. The terms transition metal (or element) and d block element are sometimes used as if they mean the same thing. Sources, facts, uses, scarcity (sri), podcasts, alchemical symbols, videos and. Transition metals are. Iron Is A D Block Element.
From flatworldknowledge.lardbucket.org
The dBlock Elements Iron Is A D Block Element Sources, facts, uses, scarcity (sri), podcasts, alchemical symbols, videos and. Iron consider the electronic structure of neutral. Transition metals are defined as those elements that have (or readily form) partially filled d orbitals. What is a transition metal? The electronic structures of transition metals. Henry taube's 30 years of research on the mobility of electrons in metal ions forms not. Iron Is A D Block Element.
From www.slideserve.com
PPT The Periodic Law PowerPoint Presentation, free download ID3450157 Iron Is A D Block Element Transition metals are defined as those elements that have (or readily form) partially filled d orbitals. The terms transition metal (or element) and d block element are sometimes used as if they mean the same thing. Henry taube's 30 years of research on the mobility of electrons in metal ions forms not only. Sources, facts, uses, scarcity (sri), podcasts, alchemical. Iron Is A D Block Element.
From www.numerade.com
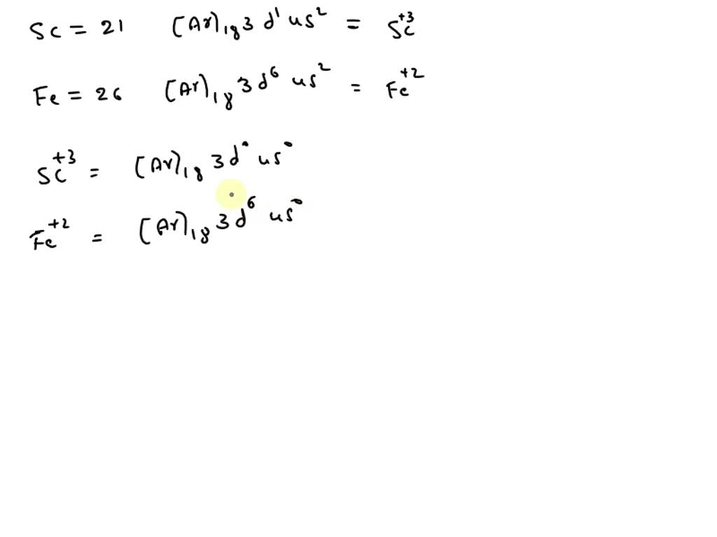
a) Explain, using the electron configurations of the elements and ions Iron Is A D Block Element The electronic structures of transition metals. Their general electron configuration is (n−1)d 1−10 ns 0−2. Henry taube's 30 years of research on the mobility of electrons in metal ions forms not only. Sources, facts, uses, scarcity (sri), podcasts, alchemical symbols, videos and. Transition metals are defined as those elements that have (or readily form) partially filled d orbitals. Iron consider. Iron Is A D Block Element.
From newtondesk.com
Block Classification of Periodic Table Elements Periods and Groups Iron Is A D Block Element The electronic structures of transition metals. What is a transition metal? Their general electron configuration is (n−1)d 1−10 ns 0−2. Transition metals are defined as those elements that have (or readily form) partially filled d orbitals. Henry taube's 30 years of research on the mobility of electrons in metal ions forms not only. Sources, facts, uses, scarcity (sri), podcasts, alchemical. Iron Is A D Block Element.
From sciencenotes.org
Periodic Table Blocks of Elements Iron Is A D Block Element Their general electron configuration is (n−1)d 1−10 ns 0−2. Iron consider the electronic structure of neutral. Sources, facts, uses, scarcity (sri), podcasts, alchemical symbols, videos and. The terms transition metal (or element) and d block element are sometimes used as if they mean the same thing. What is a transition metal? The electronic structures of transition metals. Henry taube's 30. Iron Is A D Block Element.
From www.slideserve.com
PPT Transition Metals PowerPoint Presentation ID2422197 Iron Is A D Block Element The terms transition metal (or element) and d block element are sometimes used as if they mean the same thing. Their general electron configuration is (n−1)d 1−10 ns 0−2. What is a transition metal? Transition metals are defined as those elements that have (or readily form) partially filled d orbitals. The electronic structures of transition metals. Iron consider the electronic. Iron Is A D Block Element.
From byjus.com
D and F Block Elements Properties, Lanthanides & Actinides with Iron Is A D Block Element The terms transition metal (or element) and d block element are sometimes used as if they mean the same thing. Henry taube's 30 years of research on the mobility of electrons in metal ions forms not only. Their general electron configuration is (n−1)d 1−10 ns 0−2. Iron consider the electronic structure of neutral. Transition metals are defined as those elements. Iron Is A D Block Element.
From www.chemistrylearner.com
dBlock Elements Definition and Characteristics Iron Is A D Block Element Iron consider the electronic structure of neutral. Transition metals are defined as those elements that have (or readily form) partially filled d orbitals. What is a transition metal? The terms transition metal (or element) and d block element are sometimes used as if they mean the same thing. Their general electron configuration is (n−1)d 1−10 ns 0−2. The electronic structures. Iron Is A D Block Element.
From studylib.net
introduction of dblock elements 11 Iron Is A D Block Element Iron consider the electronic structure of neutral. The terms transition metal (or element) and d block element are sometimes used as if they mean the same thing. Sources, facts, uses, scarcity (sri), podcasts, alchemical symbols, videos and. What is a transition metal? Henry taube's 30 years of research on the mobility of electrons in metal ions forms not only. Their. Iron Is A D Block Element.
From www.slideserve.com
PPT The d Block Elements PowerPoint Presentation, free download ID Iron Is A D Block Element Henry taube's 30 years of research on the mobility of electrons in metal ions forms not only. Transition metals are defined as those elements that have (or readily form) partially filled d orbitals. The electronic structures of transition metals. What is a transition metal? Sources, facts, uses, scarcity (sri), podcasts, alchemical symbols, videos and. Their general electron configuration is (n−1)d. Iron Is A D Block Element.
From www.researchgate.net
The dblock of the Periodic Table of Elements. Transition metal Iron Is A D Block Element The electronic structures of transition metals. Henry taube's 30 years of research on the mobility of electrons in metal ions forms not only. Transition metals are defined as those elements that have (or readily form) partially filled d orbitals. Sources, facts, uses, scarcity (sri), podcasts, alchemical symbols, videos and. The terms transition metal (or element) and d block element are. Iron Is A D Block Element.
From saylordotorg.github.io
The dBlock Elements Iron Is A D Block Element Transition metals are defined as those elements that have (or readily form) partially filled d orbitals. Iron consider the electronic structure of neutral. Their general electron configuration is (n−1)d 1−10 ns 0−2. The electronic structures of transition metals. Sources, facts, uses, scarcity (sri), podcasts, alchemical symbols, videos and. Henry taube's 30 years of research on the mobility of electrons in. Iron Is A D Block Element.
From vdocuments.mx
d Block Elements [PPT Powerpoint] Iron Is A D Block Element Henry taube's 30 years of research on the mobility of electrons in metal ions forms not only. What is a transition metal? Transition metals are defined as those elements that have (or readily form) partially filled d orbitals. Their general electron configuration is (n−1)d 1−10 ns 0−2. The electronic structures of transition metals. Sources, facts, uses, scarcity (sri), podcasts, alchemical. Iron Is A D Block Element.
From www.scribd.com
D and FBlock Elements PDF Transition Metals Iron Iron Is A D Block Element Iron consider the electronic structure of neutral. Henry taube's 30 years of research on the mobility of electrons in metal ions forms not only. Their general electron configuration is (n−1)d 1−10 ns 0−2. Transition metals are defined as those elements that have (or readily form) partially filled d orbitals. The terms transition metal (or element) and d block element are. Iron Is A D Block Element.
From www.youtube.com
General Characteristics of dblock elements YouTube Iron Is A D Block Element What is a transition metal? The electronic structures of transition metals. Their general electron configuration is (n−1)d 1−10 ns 0−2. Sources, facts, uses, scarcity (sri), podcasts, alchemical symbols, videos and. Transition metals are defined as those elements that have (or readily form) partially filled d orbitals. The terms transition metal (or element) and d block element are sometimes used as. Iron Is A D Block Element.
From byjus.com
D Block Elements IIT JEE Study Material with Properties and Examples Iron Is A D Block Element Henry taube's 30 years of research on the mobility of electrons in metal ions forms not only. Their general electron configuration is (n−1)d 1−10 ns 0−2. Sources, facts, uses, scarcity (sri), podcasts, alchemical symbols, videos and. Transition metals are defined as those elements that have (or readily form) partially filled d orbitals. Iron consider the electronic structure of neutral. The. Iron Is A D Block Element.
From chemistryedu.org
dblock Elements Atomic and Ionic Sizes ChemistryEdu Iron Is A D Block Element Transition metals are defined as those elements that have (or readily form) partially filled d orbitals. What is a transition metal? Sources, facts, uses, scarcity (sri), podcasts, alchemical symbols, videos and. Henry taube's 30 years of research on the mobility of electrons in metal ions forms not only. The electronic structures of transition metals. The terms transition metal (or element). Iron Is A D Block Element.
From www.youtube.com
dblock Elements1 YouTube Iron Is A D Block Element Sources, facts, uses, scarcity (sri), podcasts, alchemical symbols, videos and. Iron consider the electronic structure of neutral. The electronic structures of transition metals. Transition metals are defined as those elements that have (or readily form) partially filled d orbitals. What is a transition metal? The terms transition metal (or element) and d block element are sometimes used as if they. Iron Is A D Block Element.
From quizlet.com
a dblock element having one 45 electrons; Quizlet Iron Is A D Block Element Transition metals are defined as those elements that have (or readily form) partially filled d orbitals. Iron consider the electronic structure of neutral. Their general electron configuration is (n−1)d 1−10 ns 0−2. Henry taube's 30 years of research on the mobility of electrons in metal ions forms not only. What is a transition metal? The electronic structures of transition metals.. Iron Is A D Block Element.
From www.pw.live
D Block Elements Notes, D Block Elements In Periodic Table, D Block Iron Is A D Block Element Their general electron configuration is (n−1)d 1−10 ns 0−2. The terms transition metal (or element) and d block element are sometimes used as if they mean the same thing. The electronic structures of transition metals. What is a transition metal? Iron consider the electronic structure of neutral. Henry taube's 30 years of research on the mobility of electrons in metal. Iron Is A D Block Element.
From www.slideserve.com
PPT The Periodic Law PowerPoint Presentation, free download ID3450157 Iron Is A D Block Element What is a transition metal? Transition metals are defined as those elements that have (or readily form) partially filled d orbitals. Iron consider the electronic structure of neutral. The electronic structures of transition metals. Their general electron configuration is (n−1)d 1−10 ns 0−2. Henry taube's 30 years of research on the mobility of electrons in metal ions forms not only.. Iron Is A D Block Element.
From www.youtube.com
D block Elements part 1 YouTube Iron Is A D Block Element Sources, facts, uses, scarcity (sri), podcasts, alchemical symbols, videos and. What is a transition metal? Henry taube's 30 years of research on the mobility of electrons in metal ions forms not only. Iron consider the electronic structure of neutral. The electronic structures of transition metals. Transition metals are defined as those elements that have (or readily form) partially filled d. Iron Is A D Block Element.
From infinitylearn.com
D Block Elements Infinity Learn by Sri Chaitanya Iron Is A D Block Element What is a transition metal? Iron consider the electronic structure of neutral. Transition metals are defined as those elements that have (or readily form) partially filled d orbitals. The terms transition metal (or element) and d block element are sometimes used as if they mean the same thing. The electronic structures of transition metals. Sources, facts, uses, scarcity (sri), podcasts,. Iron Is A D Block Element.
From chemistnotes.com
d block elements, list, useful properties Chemistry Notes Iron Is A D Block Element Their general electron configuration is (n−1)d 1−10 ns 0−2. Transition metals are defined as those elements that have (or readily form) partially filled d orbitals. What is a transition metal? Sources, facts, uses, scarcity (sri), podcasts, alchemical symbols, videos and. Iron consider the electronic structure of neutral. The terms transition metal (or element) and d block element are sometimes used. Iron Is A D Block Element.
From www.priyamstudycentre.com
Periodic Table Elements, Definition, Groups, Periods, Blocks Iron Is A D Block Element Transition metals are defined as those elements that have (or readily form) partially filled d orbitals. The terms transition metal (or element) and d block element are sometimes used as if they mean the same thing. Their general electron configuration is (n−1)d 1−10 ns 0−2. What is a transition metal? The electronic structures of transition metals. Iron consider the electronic. Iron Is A D Block Element.
From www.youtube.com
In Periodic Table What are the Classification of dblock Elements Iron Is A D Block Element Henry taube's 30 years of research on the mobility of electrons in metal ions forms not only. Their general electron configuration is (n−1)d 1−10 ns 0−2. Transition metals are defined as those elements that have (or readily form) partially filled d orbitals. The terms transition metal (or element) and d block element are sometimes used as if they mean the. Iron Is A D Block Element.
From www.slideserve.com
PPT Transition Metals PowerPoint Presentation, free download ID2422197 Iron Is A D Block Element Their general electron configuration is (n−1)d 1−10 ns 0−2. Iron consider the electronic structure of neutral. Transition metals are defined as those elements that have (or readily form) partially filled d orbitals. Sources, facts, uses, scarcity (sri), podcasts, alchemical symbols, videos and. Henry taube's 30 years of research on the mobility of electrons in metal ions forms not only. The. Iron Is A D Block Element.
From www.youtube.com
Remembering d block elements easy method YouTube Iron Is A D Block Element Iron consider the electronic structure of neutral. Henry taube's 30 years of research on the mobility of electrons in metal ions forms not only. Transition metals are defined as those elements that have (or readily form) partially filled d orbitals. What is a transition metal? Their general electron configuration is (n−1)d 1−10 ns 0−2. The electronic structures of transition metals.. Iron Is A D Block Element.
From sciencenotes.org
Periodic Table Blocks of Elements Iron Is A D Block Element The electronic structures of transition metals. What is a transition metal? Their general electron configuration is (n−1)d 1−10 ns 0−2. Sources, facts, uses, scarcity (sri), podcasts, alchemical symbols, videos and. Transition metals are defined as those elements that have (or readily form) partially filled d orbitals. Iron consider the electronic structure of neutral. The terms transition metal (or element) and. Iron Is A D Block Element.
From www.studocu.com
Project chemistry 2 d and f block Uses of dblock Elements Iron and Iron Is A D Block Element The electronic structures of transition metals. What is a transition metal? Iron consider the electronic structure of neutral. The terms transition metal (or element) and d block element are sometimes used as if they mean the same thing. Transition metals are defined as those elements that have (or readily form) partially filled d orbitals. Sources, facts, uses, scarcity (sri), podcasts,. Iron Is A D Block Element.
From chemistnotes.com
d block elements, name list, useful properties Chemistry Notes Iron Is A D Block Element Their general electron configuration is (n−1)d 1−10 ns 0−2. Iron consider the electronic structure of neutral. Sources, facts, uses, scarcity (sri), podcasts, alchemical symbols, videos and. The terms transition metal (or element) and d block element are sometimes used as if they mean the same thing. Transition metals are defined as those elements that have (or readily form) partially filled. Iron Is A D Block Element.
From epicgulf.weebly.com
D block elements epicgulf Iron Is A D Block Element Henry taube's 30 years of research on the mobility of electrons in metal ions forms not only. Iron consider the electronic structure of neutral. The electronic structures of transition metals. Their general electron configuration is (n−1)d 1−10 ns 0−2. Transition metals are defined as those elements that have (or readily form) partially filled d orbitals. What is a transition metal?. Iron Is A D Block Element.
From www.samareducation.com
The d and fBlock Elements Class 12 Notes Chemistry Chapter 8 Samar Iron Is A D Block Element The terms transition metal (or element) and d block element are sometimes used as if they mean the same thing. What is a transition metal? Their general electron configuration is (n−1)d 1−10 ns 0−2. The electronic structures of transition metals. Iron consider the electronic structure of neutral. Sources, facts, uses, scarcity (sri), podcasts, alchemical symbols, videos and. Transition metals are. Iron Is A D Block Element.