Zinc Hydroxide Ph Level . Free online ph calculator for acids, bases and salts. Calculations are based on hydrochemistry program phreeqc We have made atomic absorption measurements leading to the solubility of zinc hydroxide at 12.5, 25.0, 50.0, and 75.0 °c from ph = 6.7 to ph =. We have made atomic absorption measurements leading to the solubility of zinc hydroxide at 12.5, 25.0, 50.0, and 75.0 °c from. Find the ph of sodium hydroxide (naoh) and other common bases in. Zinc reacts with water to form zinc hydroxide or zinc ions, and. Zinc is a natural element in water, but its solubility depends on ph and temperature. Learn how to measure the hydrogen ion activity of bases using ph values. Calculated ph values of common acids and bases for 1, 10, and 100 mmol/l (valid for standard conditions at 25, 1 atm;
from www.numerade.com
Find the ph of sodium hydroxide (naoh) and other common bases in. Calculations are based on hydrochemistry program phreeqc Zinc reacts with water to form zinc hydroxide or zinc ions, and. Free online ph calculator for acids, bases and salts. Learn how to measure the hydrogen ion activity of bases using ph values. Calculated ph values of common acids and bases for 1, 10, and 100 mmol/l (valid for standard conditions at 25, 1 atm; We have made atomic absorption measurements leading to the solubility of zinc hydroxide at 12.5, 25.0, 50.0, and 75.0 °c from. We have made atomic absorption measurements leading to the solubility of zinc hydroxide at 12.5, 25.0, 50.0, and 75.0 °c from ph = 6.7 to ph =. Zinc is a natural element in water, but its solubility depends on ph and temperature.
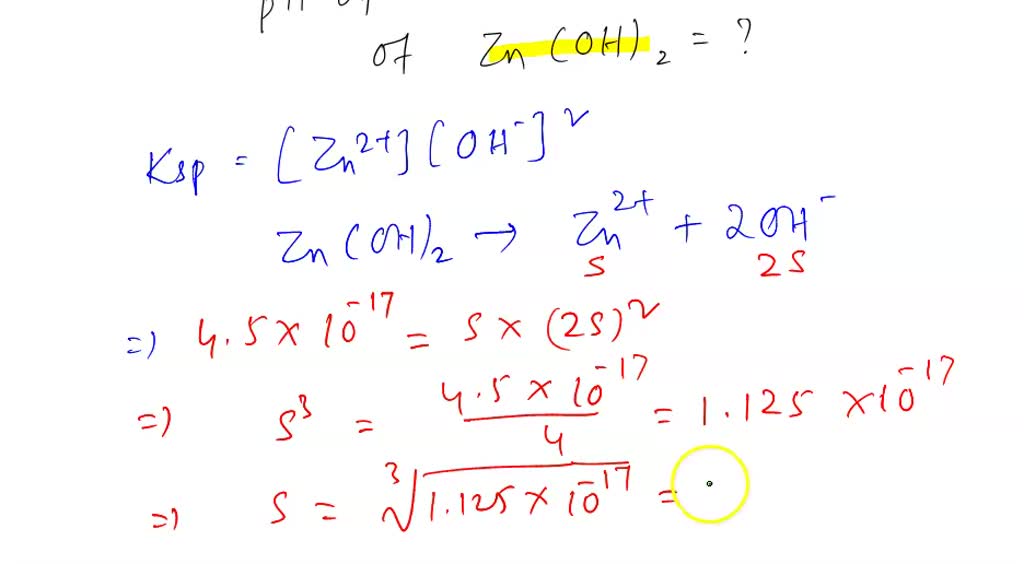
SOLVED The solubility product constant of = zinc I hydroxide, Zn(OHIz
Zinc Hydroxide Ph Level Zinc reacts with water to form zinc hydroxide or zinc ions, and. Find the ph of sodium hydroxide (naoh) and other common bases in. Learn how to measure the hydrogen ion activity of bases using ph values. Zinc reacts with water to form zinc hydroxide or zinc ions, and. We have made atomic absorption measurements leading to the solubility of zinc hydroxide at 12.5, 25.0, 50.0, and 75.0 °c from. We have made atomic absorption measurements leading to the solubility of zinc hydroxide at 12.5, 25.0, 50.0, and 75.0 °c from ph = 6.7 to ph =. Calculated ph values of common acids and bases for 1, 10, and 100 mmol/l (valid for standard conditions at 25, 1 atm; Calculations are based on hydrochemistry program phreeqc Free online ph calculator for acids, bases and salts. Zinc is a natural element in water, but its solubility depends on ph and temperature.
From www.researchgate.net
Distribution diagram for zinc species as a function of the solution pH Zinc Hydroxide Ph Level Free online ph calculator for acids, bases and salts. Zinc reacts with water to form zinc hydroxide or zinc ions, and. Zinc is a natural element in water, but its solubility depends on ph and temperature. Find the ph of sodium hydroxide (naoh) and other common bases in. Learn how to measure the hydrogen ion activity of bases using ph. Zinc Hydroxide Ph Level.
From advancedchemsys.com
Zinc Removal From Water Advanced Chemical Systems Zinc Hydroxide Ph Level We have made atomic absorption measurements leading to the solubility of zinc hydroxide at 12.5, 25.0, 50.0, and 75.0 °c from ph = 6.7 to ph =. Calculations are based on hydrochemistry program phreeqc Learn how to measure the hydrogen ion activity of bases using ph values. We have made atomic absorption measurements leading to the solubility of zinc hydroxide. Zinc Hydroxide Ph Level.
From www.researchgate.net
6. Solubility versus pH curves for the thermodynamically stable Zinc Hydroxide Ph Level Zinc reacts with water to form zinc hydroxide or zinc ions, and. Find the ph of sodium hydroxide (naoh) and other common bases in. Calculations are based on hydrochemistry program phreeqc We have made atomic absorption measurements leading to the solubility of zinc hydroxide at 12.5, 25.0, 50.0, and 75.0 °c from ph = 6.7 to ph =. Calculated ph. Zinc Hydroxide Ph Level.
From galvanizeit.org
In Chemical Solutions American Galvanizers Association Zinc Hydroxide Ph Level Find the ph of sodium hydroxide (naoh) and other common bases in. Zinc reacts with water to form zinc hydroxide or zinc ions, and. Calculated ph values of common acids and bases for 1, 10, and 100 mmol/l (valid for standard conditions at 25, 1 atm; Calculations are based on hydrochemistry program phreeqc Learn how to measure the hydrogen ion. Zinc Hydroxide Ph Level.
From www.researchgate.net
Solubility of five metal hydroxides at various pH levels. Download Zinc Hydroxide Ph Level We have made atomic absorption measurements leading to the solubility of zinc hydroxide at 12.5, 25.0, 50.0, and 75.0 °c from. Zinc is a natural element in water, but its solubility depends on ph and temperature. Zinc reacts with water to form zinc hydroxide or zinc ions, and. Calculated ph values of common acids and bases for 1, 10, and. Zinc Hydroxide Ph Level.
From www.youtube.com
Solubility equilibrium Ksp zinc hydroxide YouTube Zinc Hydroxide Ph Level We have made atomic absorption measurements leading to the solubility of zinc hydroxide at 12.5, 25.0, 50.0, and 75.0 °c from ph = 6.7 to ph =. Learn how to measure the hydrogen ion activity of bases using ph values. Find the ph of sodium hydroxide (naoh) and other common bases in. Free online ph calculator for acids, bases and. Zinc Hydroxide Ph Level.
From www.researchgate.net
The pH dependence of the solubility of zinc hydroxide (εZn(OH) 2(s Zinc Hydroxide Ph Level Calculated ph values of common acids and bases for 1, 10, and 100 mmol/l (valid for standard conditions at 25, 1 atm; We have made atomic absorption measurements leading to the solubility of zinc hydroxide at 12.5, 25.0, 50.0, and 75.0 °c from ph = 6.7 to ph =. Calculations are based on hydrochemistry program phreeqc Zinc is a natural. Zinc Hydroxide Ph Level.
From www.semanticscholar.org
Figure 4 from Effect of pH, concentration and temperature on copper and Zinc Hydroxide Ph Level Zinc reacts with water to form zinc hydroxide or zinc ions, and. Calculations are based on hydrochemistry program phreeqc Zinc is a natural element in water, but its solubility depends on ph and temperature. Free online ph calculator for acids, bases and salts. Find the ph of sodium hydroxide (naoh) and other common bases in. Learn how to measure the. Zinc Hydroxide Ph Level.
From www.shutterstock.com
Ph Scale Chart Corresponding Hydrogen Ion Stock Vector (Royalty Free Zinc Hydroxide Ph Level Calculations are based on hydrochemistry program phreeqc Zinc reacts with water to form zinc hydroxide or zinc ions, and. Free online ph calculator for acids, bases and salts. Calculated ph values of common acids and bases for 1, 10, and 100 mmol/l (valid for standard conditions at 25, 1 atm; Zinc is a natural element in water, but its solubility. Zinc Hydroxide Ph Level.
From www.youtube.com
pH Hydrogen Ion Concentration Normal pH Range Survival Range Zinc Hydroxide Ph Level We have made atomic absorption measurements leading to the solubility of zinc hydroxide at 12.5, 25.0, 50.0, and 75.0 °c from. Calculated ph values of common acids and bases for 1, 10, and 100 mmol/l (valid for standard conditions at 25, 1 atm; Learn how to measure the hydrogen ion activity of bases using ph values. We have made atomic. Zinc Hydroxide Ph Level.
From www.semanticscholar.org
Effect of pH, concentration and temperature on copper and zinc Zinc Hydroxide Ph Level We have made atomic absorption measurements leading to the solubility of zinc hydroxide at 12.5, 25.0, 50.0, and 75.0 °c from. Find the ph of sodium hydroxide (naoh) and other common bases in. Free online ph calculator for acids, bases and salts. Zinc is a natural element in water, but its solubility depends on ph and temperature. Zinc reacts with. Zinc Hydroxide Ph Level.
From naturalbiohealth.com
How Learning the pH Scale Can Create a More Balanced Diet Natural Bio Zinc Hydroxide Ph Level Calculated ph values of common acids and bases for 1, 10, and 100 mmol/l (valid for standard conditions at 25, 1 atm; We have made atomic absorption measurements leading to the solubility of zinc hydroxide at 12.5, 25.0, 50.0, and 75.0 °c from. Zinc is a natural element in water, but its solubility depends on ph and temperature. We have. Zinc Hydroxide Ph Level.
From watertechadvice.com
pH of Water Everything You Need To Know Zinc Hydroxide Ph Level Learn how to measure the hydrogen ion activity of bases using ph values. Calculations are based on hydrochemistry program phreeqc We have made atomic absorption measurements leading to the solubility of zinc hydroxide at 12.5, 25.0, 50.0, and 75.0 °c from. Free online ph calculator for acids, bases and salts. We have made atomic absorption measurements leading to the solubility. Zinc Hydroxide Ph Level.
From www.slideserve.com
PPT Zn Solubility PowerPoint Presentation, free download ID3226993 Zinc Hydroxide Ph Level We have made atomic absorption measurements leading to the solubility of zinc hydroxide at 12.5, 25.0, 50.0, and 75.0 °c from ph = 6.7 to ph =. We have made atomic absorption measurements leading to the solubility of zinc hydroxide at 12.5, 25.0, 50.0, and 75.0 °c from. Zinc reacts with water to form zinc hydroxide or zinc ions, and.. Zinc Hydroxide Ph Level.
From mungfali.com
PH And Hydrogen Ion Concentration Chart Zinc Hydroxide Ph Level Find the ph of sodium hydroxide (naoh) and other common bases in. Learn how to measure the hydrogen ion activity of bases using ph values. Calculations are based on hydrochemistry program phreeqc Zinc is a natural element in water, but its solubility depends on ph and temperature. We have made atomic absorption measurements leading to the solubility of zinc hydroxide. Zinc Hydroxide Ph Level.
From www.numerade.com
SOLVED The solubility product constant of = zinc I hydroxide, Zn(OHIz Zinc Hydroxide Ph Level Zinc reacts with water to form zinc hydroxide or zinc ions, and. Free online ph calculator for acids, bases and salts. Learn how to measure the hydrogen ion activity of bases using ph values. We have made atomic absorption measurements leading to the solubility of zinc hydroxide at 12.5, 25.0, 50.0, and 75.0 °c from ph = 6.7 to ph. Zinc Hydroxide Ph Level.
From www.numerade.com
SOLVEDA saturated solution of zinc hydroxide, Zn(OH)2, has a pH of 8. Zinc Hydroxide Ph Level Zinc is a natural element in water, but its solubility depends on ph and temperature. Free online ph calculator for acids, bases and salts. Calculated ph values of common acids and bases for 1, 10, and 100 mmol/l (valid for standard conditions at 25, 1 atm; Zinc reacts with water to form zinc hydroxide or zinc ions, and. We have. Zinc Hydroxide Ph Level.
From www.researchgate.net
Zinc corrosion rate dependence on pH. Download Scientific Diagram Zinc Hydroxide Ph Level Free online ph calculator for acids, bases and salts. Zinc reacts with water to form zinc hydroxide or zinc ions, and. Calculations are based on hydrochemistry program phreeqc Find the ph of sodium hydroxide (naoh) and other common bases in. We have made atomic absorption measurements leading to the solubility of zinc hydroxide at 12.5, 25.0, 50.0, and 75.0 °c. Zinc Hydroxide Ph Level.
From commons.wikimedia.org
File2713 pH Scale01.jpg Zinc Hydroxide Ph Level We have made atomic absorption measurements leading to the solubility of zinc hydroxide at 12.5, 25.0, 50.0, and 75.0 °c from ph = 6.7 to ph =. Calculations are based on hydrochemistry program phreeqc Learn how to measure the hydrogen ion activity of bases using ph values. We have made atomic absorption measurements leading to the solubility of zinc hydroxide. Zinc Hydroxide Ph Level.
From www.researchgate.net
The pH dependence of the solubility of zinc hydroxide (εZn(OH) 2(s Zinc Hydroxide Ph Level Zinc reacts with water to form zinc hydroxide or zinc ions, and. Zinc is a natural element in water, but its solubility depends on ph and temperature. Calculated ph values of common acids and bases for 1, 10, and 100 mmol/l (valid for standard conditions at 25, 1 atm; We have made atomic absorption measurements leading to the solubility of. Zinc Hydroxide Ph Level.
From www.researchgate.net
The pH dependence of the solubility of zinc hydroxide (εZn(OH) 2(s Zinc Hydroxide Ph Level We have made atomic absorption measurements leading to the solubility of zinc hydroxide at 12.5, 25.0, 50.0, and 75.0 °c from ph = 6.7 to ph =. Free online ph calculator for acids, bases and salts. Learn how to measure the hydrogen ion activity of bases using ph values. Find the ph of sodium hydroxide (naoh) and other common bases. Zinc Hydroxide Ph Level.
From www.pmel.noaa.gov
The pH scale by numbers Zinc Hydroxide Ph Level Zinc is a natural element in water, but its solubility depends on ph and temperature. We have made atomic absorption measurements leading to the solubility of zinc hydroxide at 12.5, 25.0, 50.0, and 75.0 °c from. Zinc reacts with water to form zinc hydroxide or zinc ions, and. Find the ph of sodium hydroxide (naoh) and other common bases in.. Zinc Hydroxide Ph Level.
From www.mometrix.com
pH Overview (Chemistry Review Video) Zinc Hydroxide Ph Level We have made atomic absorption measurements leading to the solubility of zinc hydroxide at 12.5, 25.0, 50.0, and 75.0 °c from. Learn how to measure the hydrogen ion activity of bases using ph values. Zinc is a natural element in water, but its solubility depends on ph and temperature. Calculations are based on hydrochemistry program phreeqc Calculated ph values of. Zinc Hydroxide Ph Level.
From www.researchgate.net
Speciation of Zinc at varying pH Download Scientific Diagram Zinc Hydroxide Ph Level Free online ph calculator for acids, bases and salts. Learn how to measure the hydrogen ion activity of bases using ph values. Find the ph of sodium hydroxide (naoh) and other common bases in. We have made atomic absorption measurements leading to the solubility of zinc hydroxide at 12.5, 25.0, 50.0, and 75.0 °c from ph = 6.7 to ph. Zinc Hydroxide Ph Level.
From www.researchgate.net
Metals hydroxide solubility as a function of their concentration and pH Zinc Hydroxide Ph Level Zinc is a natural element in water, but its solubility depends on ph and temperature. Calculated ph values of common acids and bases for 1, 10, and 100 mmol/l (valid for standard conditions at 25, 1 atm; We have made atomic absorption measurements leading to the solubility of zinc hydroxide at 12.5, 25.0, 50.0, and 75.0 °c from ph =. Zinc Hydroxide Ph Level.
From www.slideserve.com
PPT Precipitation Equilibrium PowerPoint Presentation, free download Zinc Hydroxide Ph Level Learn how to measure the hydrogen ion activity of bases using ph values. Find the ph of sodium hydroxide (naoh) and other common bases in. Zinc is a natural element in water, but its solubility depends on ph and temperature. Free online ph calculator for acids, bases and salts. Calculations are based on hydrochemistry program phreeqc We have made atomic. Zinc Hydroxide Ph Level.
From www.researchgate.net
PotentialpH diagram for zinc. The concentration of Zn ion species is Zinc Hydroxide Ph Level We have made atomic absorption measurements leading to the solubility of zinc hydroxide at 12.5, 25.0, 50.0, and 75.0 °c from. Zinc is a natural element in water, but its solubility depends on ph and temperature. We have made atomic absorption measurements leading to the solubility of zinc hydroxide at 12.5, 25.0, 50.0, and 75.0 °c from ph = 6.7. Zinc Hydroxide Ph Level.
From www.semanticscholar.org
Effect of pH, concentration and temperature on copper and zinc Zinc Hydroxide Ph Level Calculated ph values of common acids and bases for 1, 10, and 100 mmol/l (valid for standard conditions at 25, 1 atm; We have made atomic absorption measurements leading to the solubility of zinc hydroxide at 12.5, 25.0, 50.0, and 75.0 °c from ph = 6.7 to ph =. Learn how to measure the hydrogen ion activity of bases using. Zinc Hydroxide Ph Level.
From www.researchgate.net
The pH dependence of the solubility of zinc hydroxide (εZn(OH) 2(s Zinc Hydroxide Ph Level Learn how to measure the hydrogen ion activity of bases using ph values. Free online ph calculator for acids, bases and salts. Find the ph of sodium hydroxide (naoh) and other common bases in. We have made atomic absorption measurements leading to the solubility of zinc hydroxide at 12.5, 25.0, 50.0, and 75.0 °c from ph = 6.7 to ph. Zinc Hydroxide Ph Level.
From www.semanticscholar.org
Effect of pH, concentration and temperature on copper and zinc Zinc Hydroxide Ph Level We have made atomic absorption measurements leading to the solubility of zinc hydroxide at 12.5, 25.0, 50.0, and 75.0 °c from ph = 6.7 to ph =. Zinc is a natural element in water, but its solubility depends on ph and temperature. We have made atomic absorption measurements leading to the solubility of zinc hydroxide at 12.5, 25.0, 50.0, and. Zinc Hydroxide Ph Level.
From sciencenotes.org
The pH Scale of Common Chemicals Zinc Hydroxide Ph Level Zinc is a natural element in water, but its solubility depends on ph and temperature. Find the ph of sodium hydroxide (naoh) and other common bases in. Calculations are based on hydrochemistry program phreeqc Calculated ph values of common acids and bases for 1, 10, and 100 mmol/l (valid for standard conditions at 25, 1 atm; We have made atomic. Zinc Hydroxide Ph Level.
From www.numerade.com
⏩SOLVEDWhat is the pH of a saturated zinc hydroxide solution? Numerade Zinc Hydroxide Ph Level We have made atomic absorption measurements leading to the solubility of zinc hydroxide at 12.5, 25.0, 50.0, and 75.0 °c from ph = 6.7 to ph =. Calculations are based on hydrochemistry program phreeqc Zinc reacts with water to form zinc hydroxide or zinc ions, and. Free online ph calculator for acids, bases and salts. We have made atomic absorption. Zinc Hydroxide Ph Level.
From whatsinsight.org
Zinc Hydroxide Structure, Properties, and Uses What's Insight Zinc Hydroxide Ph Level Zinc reacts with water to form zinc hydroxide or zinc ions, and. Find the ph of sodium hydroxide (naoh) and other common bases in. We have made atomic absorption measurements leading to the solubility of zinc hydroxide at 12.5, 25.0, 50.0, and 75.0 °c from. Learn how to measure the hydrogen ion activity of bases using ph values. Calculated ph. Zinc Hydroxide Ph Level.
From www.phadjustment.com
Heavy Metal Reduction from Industrial Wastewater Streams Zinc Hydroxide Ph Level We have made atomic absorption measurements leading to the solubility of zinc hydroxide at 12.5, 25.0, 50.0, and 75.0 °c from ph = 6.7 to ph =. We have made atomic absorption measurements leading to the solubility of zinc hydroxide at 12.5, 25.0, 50.0, and 75.0 °c from. Free online ph calculator for acids, bases and salts. Zinc reacts with. Zinc Hydroxide Ph Level.
From www.semanticscholar.org
Figure 1 from Effect of pH, concentration and temperature on copper and Zinc Hydroxide Ph Level Zinc reacts with water to form zinc hydroxide or zinc ions, and. We have made atomic absorption measurements leading to the solubility of zinc hydroxide at 12.5, 25.0, 50.0, and 75.0 °c from ph = 6.7 to ph =. Free online ph calculator for acids, bases and salts. Learn how to measure the hydrogen ion activity of bases using ph. Zinc Hydroxide Ph Level.