Acceleration In Spring Mass System . Sum of forces = mass times acceleration to establish an ivp for the motion of. Use the equation a = k x m to. Lets’ understand the steps to find the. The only forces exerted on the mass are the force from the spring and its weight. When a mass \(m\) is attached to the spring, the spring will extend and the end of the spring will move to a new equilibrium position, \(y_0\), given by the condition that the net force on the mass \(m\) is zero. Next we appeal to newton’s law of motion: • the complementary function (which. You can also measure the motion of your spring using a. In this project, you will investigate the periodic motion of a spring, using a mini slinky®. Identify the mass m of the object, the spring constant k of the spring, and the distance x the spring has been displaced from equilibrium.
from www.slideserve.com
When a mass \(m\) is attached to the spring, the spring will extend and the end of the spring will move to a new equilibrium position, \(y_0\), given by the condition that the net force on the mass \(m\) is zero. Use the equation a = k x m to. In this project, you will investigate the periodic motion of a spring, using a mini slinky®. The only forces exerted on the mass are the force from the spring and its weight. Identify the mass m of the object, the spring constant k of the spring, and the distance x the spring has been displaced from equilibrium. Lets’ understand the steps to find the. • the complementary function (which. You can also measure the motion of your spring using a. Sum of forces = mass times acceleration to establish an ivp for the motion of. Next we appeal to newton’s law of motion:
PPT Oscillations in the springmass system PowerPoint Presentation
Acceleration In Spring Mass System Sum of forces = mass times acceleration to establish an ivp for the motion of. You can also measure the motion of your spring using a. Lets’ understand the steps to find the. In this project, you will investigate the periodic motion of a spring, using a mini slinky®. Next we appeal to newton’s law of motion: The only forces exerted on the mass are the force from the spring and its weight. Use the equation a = k x m to. Sum of forces = mass times acceleration to establish an ivp for the motion of. Identify the mass m of the object, the spring constant k of the spring, and the distance x the spring has been displaced from equilibrium. When a mass \(m\) is attached to the spring, the spring will extend and the end of the spring will move to a new equilibrium position, \(y_0\), given by the condition that the net force on the mass \(m\) is zero. • the complementary function (which.
From www.chegg.com
Solved In The Springmass System Shown In Figure 1, A Mas... Acceleration In Spring Mass System Identify the mass m of the object, the spring constant k of the spring, and the distance x the spring has been displaced from equilibrium. Use the equation a = k x m to. You can also measure the motion of your spring using a. Lets’ understand the steps to find the. Next we appeal to newton’s law of motion:. Acceleration In Spring Mass System.
From www.slideserve.com
PPT Chapter 15 Oscillations PowerPoint Presentation, free download Acceleration In Spring Mass System Identify the mass m of the object, the spring constant k of the spring, and the distance x the spring has been displaced from equilibrium. When a mass \(m\) is attached to the spring, the spring will extend and the end of the spring will move to a new equilibrium position, \(y_0\), given by the condition that the net force. Acceleration In Spring Mass System.
From www.slideserve.com
PPT Chapter 13 PowerPoint Presentation, free download ID9232952 Acceleration In Spring Mass System The only forces exerted on the mass are the force from the spring and its weight. • the complementary function (which. Identify the mass m of the object, the spring constant k of the spring, and the distance x the spring has been displaced from equilibrium. Lets’ understand the steps to find the. In this project, you will investigate the. Acceleration In Spring Mass System.
From www.youtube.com
SHM Motion of Mass and Spring System Applications YouTube Acceleration In Spring Mass System The only forces exerted on the mass are the force from the spring and its weight. • the complementary function (which. Next we appeal to newton’s law of motion: You can also measure the motion of your spring using a. Sum of forces = mass times acceleration to establish an ivp for the motion of. Lets’ understand the steps to. Acceleration In Spring Mass System.
From www.youtube.com
Mass Spring System in Vertical Position (SDOF) YouTube Acceleration In Spring Mass System Sum of forces = mass times acceleration to establish an ivp for the motion of. You can also measure the motion of your spring using a. Identify the mass m of the object, the spring constant k of the spring, and the distance x the spring has been displaced from equilibrium. When a mass \(m\) is attached to the spring,. Acceleration In Spring Mass System.
From www.youtube.com
02 Vertically Oscillations of spring mass System YouTube Acceleration In Spring Mass System • the complementary function (which. You can also measure the motion of your spring using a. The only forces exerted on the mass are the force from the spring and its weight. Lets’ understand the steps to find the. Identify the mass m of the object, the spring constant k of the spring, and the distance x the spring has. Acceleration In Spring Mass System.
From www.youtube.com
Vertical Mass Spring System YouTube Acceleration In Spring Mass System In this project, you will investigate the periodic motion of a spring, using a mini slinky®. • the complementary function (which. The only forces exerted on the mass are the force from the spring and its weight. Use the equation a = k x m to. You can also measure the motion of your spring using a. When a mass. Acceleration In Spring Mass System.
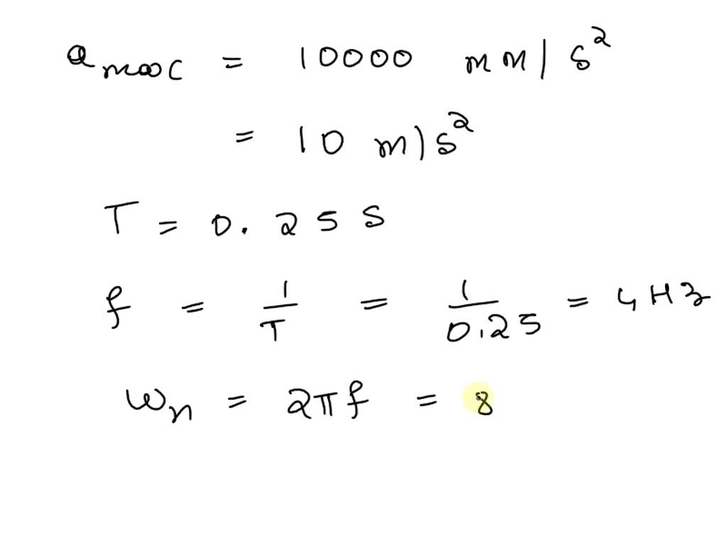
From www.chegg.com
Solved Acceleration of a machine part modeled as a Acceleration In Spring Mass System Use the equation a = k x m to. Lets’ understand the steps to find the. • the complementary function (which. When a mass \(m\) is attached to the spring, the spring will extend and the end of the spring will move to a new equilibrium position, \(y_0\), given by the condition that the net force on the mass \(m\). Acceleration In Spring Mass System.
From pressbooks.bccampus.ca
Simple Harmonic Motion University Physics Volume 1 Acceleration In Spring Mass System Identify the mass m of the object, the spring constant k of the spring, and the distance x the spring has been displaced from equilibrium. When a mass \(m\) is attached to the spring, the spring will extend and the end of the spring will move to a new equilibrium position, \(y_0\), given by the condition that the net force. Acceleration In Spring Mass System.
From courses.lumenlearning.com
Simple Harmonic Motion A Special Periodic Motion Physics Acceleration In Spring Mass System In this project, you will investigate the periodic motion of a spring, using a mini slinky®. Lets’ understand the steps to find the. The only forces exerted on the mass are the force from the spring and its weight. When a mass \(m\) is attached to the spring, the spring will extend and the end of the spring will move. Acceleration In Spring Mass System.
From www.slideserve.com
PPT Oscillations in the springmass system PowerPoint Presentation Acceleration In Spring Mass System When a mass \(m\) is attached to the spring, the spring will extend and the end of the spring will move to a new equilibrium position, \(y_0\), given by the condition that the net force on the mass \(m\) is zero. Sum of forces = mass times acceleration to establish an ivp for the motion of. Identify the mass m. Acceleration In Spring Mass System.
From www.chegg.com
Solved Acceleration of a machine part modeled as a Acceleration In Spring Mass System The only forces exerted on the mass are the force from the spring and its weight. Next we appeal to newton’s law of motion: In this project, you will investigate the periodic motion of a spring, using a mini slinky®. When a mass \(m\) is attached to the spring, the spring will extend and the end of the spring will. Acceleration In Spring Mass System.
From byjus.com
Two blocks each of mass m connected by an ideal spring are placed over Acceleration In Spring Mass System • the complementary function (which. The only forces exerted on the mass are the force from the spring and its weight. Identify the mass m of the object, the spring constant k of the spring, and the distance x the spring has been displaced from equilibrium. You can also measure the motion of your spring using a. In this project,. Acceleration In Spring Mass System.
From www.slideserve.com
PPT Chapter 15 PowerPoint Presentation, free download ID5450892 Acceleration In Spring Mass System You can also measure the motion of your spring using a. In this project, you will investigate the periodic motion of a spring, using a mini slinky®. Lets’ understand the steps to find the. Sum of forces = mass times acceleration to establish an ivp for the motion of. When a mass \(m\) is attached to the spring, the spring. Acceleration In Spring Mass System.
From www.numerade.com
SOLVED A machine, modeled as a simple springmass system, oscillates Acceleration In Spring Mass System When a mass \(m\) is attached to the spring, the spring will extend and the end of the spring will move to a new equilibrium position, \(y_0\), given by the condition that the net force on the mass \(m\) is zero. You can also measure the motion of your spring using a. The only forces exerted on the mass are. Acceleration In Spring Mass System.
From byjus.com
how to find tensin and acceleration in a pulley moving upward with an Acceleration In Spring Mass System The only forces exerted on the mass are the force from the spring and its weight. Next we appeal to newton’s law of motion: Use the equation a = k x m to. Identify the mass m of the object, the spring constant k of the spring, and the distance x the spring has been displaced from equilibrium. • the. Acceleration In Spring Mass System.
From courses.lumenlearning.com
Simple Harmonic Motion A Special Periodic Motion Physics Acceleration In Spring Mass System • the complementary function (which. Sum of forces = mass times acceleration to establish an ivp for the motion of. The only forces exerted on the mass are the force from the spring and its weight. You can also measure the motion of your spring using a. In this project, you will investigate the periodic motion of a spring, using. Acceleration In Spring Mass System.
From www.slideserve.com
PPT Oscillations in the springmass system PowerPoint Presentation Acceleration In Spring Mass System Identify the mass m of the object, the spring constant k of the spring, and the distance x the spring has been displaced from equilibrium. Sum of forces = mass times acceleration to establish an ivp for the motion of. The only forces exerted on the mass are the force from the spring and its weight. Lets’ understand the steps. Acceleration In Spring Mass System.
From www.youtube.com
Visualizing Mechanics Natural Frequency of a SpringMass System YouTube Acceleration In Spring Mass System Use the equation a = k x m to. In this project, you will investigate the periodic motion of a spring, using a mini slinky®. Next we appeal to newton’s law of motion: You can also measure the motion of your spring using a. Sum of forces = mass times acceleration to establish an ivp for the motion of. The. Acceleration In Spring Mass System.
From www.researchgate.net
Accelerationtime history of springmass system Download Scientific Acceleration In Spring Mass System The only forces exerted on the mass are the force from the spring and its weight. Sum of forces = mass times acceleration to establish an ivp for the motion of. Identify the mass m of the object, the spring constant k of the spring, and the distance x the spring has been displaced from equilibrium. Use the equation a. Acceleration In Spring Mass System.
From www.researchgate.net
Vertical SpringMass System. Download Scientific Diagram Acceleration In Spring Mass System • the complementary function (which. Lets’ understand the steps to find the. Sum of forces = mass times acceleration to establish an ivp for the motion of. In this project, you will investigate the periodic motion of a spring, using a mini slinky®. Identify the mass m of the object, the spring constant k of the spring, and the distance. Acceleration In Spring Mass System.
From www.chegg.com
Solved Consider the simple harmonic massspring system. k Acceleration In Spring Mass System Next we appeal to newton’s law of motion: Identify the mass m of the object, the spring constant k of the spring, and the distance x the spring has been displaced from equilibrium. Use the equation a = k x m to. Lets’ understand the steps to find the. In this project, you will investigate the periodic motion of a. Acceleration In Spring Mass System.
From www.physicsclassroom.com
Equation Overview for Simple Harmonic Motion Problems Acceleration In Spring Mass System In this project, you will investigate the periodic motion of a spring, using a mini slinky®. Next we appeal to newton’s law of motion: When a mass \(m\) is attached to the spring, the spring will extend and the end of the spring will move to a new equilibrium position, \(y_0\), given by the condition that the net force on. Acceleration In Spring Mass System.
From www.youtube.com
5. Oscillations Spring Mass System YouTube Acceleration In Spring Mass System When a mass \(m\) is attached to the spring, the spring will extend and the end of the spring will move to a new equilibrium position, \(y_0\), given by the condition that the net force on the mass \(m\) is zero. The only forces exerted on the mass are the force from the spring and its weight. • the complementary. Acceleration In Spring Mass System.
From www.slideserve.com
PPT Chapter 14 Oscillations PowerPoint Presentation ID3118391 Acceleration In Spring Mass System Sum of forces = mass times acceleration to establish an ivp for the motion of. The only forces exerted on the mass are the force from the spring and its weight. Next we appeal to newton’s law of motion: Lets’ understand the steps to find the. • the complementary function (which. When a mass \(m\) is attached to the spring,. Acceleration In Spring Mass System.
From ppt-online.org
Oscillatory motion презентация онлайн Acceleration In Spring Mass System When a mass \(m\) is attached to the spring, the spring will extend and the end of the spring will move to a new equilibrium position, \(y_0\), given by the condition that the net force on the mass \(m\) is zero. The only forces exerted on the mass are the force from the spring and its weight. Sum of forces. Acceleration In Spring Mass System.
From www.researchgate.net
Schematic drawing of a simplified springmass system with a vibration Acceleration In Spring Mass System In this project, you will investigate the periodic motion of a spring, using a mini slinky®. You can also measure the motion of your spring using a. Use the equation a = k x m to. • the complementary function (which. The only forces exerted on the mass are the force from the spring and its weight. When a mass. Acceleration In Spring Mass System.
From www.slideserve.com
PPT Spring Forces and Simple Harmonic Motion PowerPoint Presentation Acceleration In Spring Mass System In this project, you will investigate the periodic motion of a spring, using a mini slinky®. You can also measure the motion of your spring using a. Sum of forces = mass times acceleration to establish an ivp for the motion of. Identify the mass m of the object, the spring constant k of the spring, and the distance x. Acceleration In Spring Mass System.
From www.numerade.com
SOLVED displacement vs time graph for two horizontal massspring Acceleration In Spring Mass System In this project, you will investigate the periodic motion of a spring, using a mini slinky®. • the complementary function (which. Identify the mass m of the object, the spring constant k of the spring, and the distance x the spring has been displaced from equilibrium. Sum of forces = mass times acceleration to establish an ivp for the motion. Acceleration In Spring Mass System.
From design1systems.com
The Complete Guide to Creating a Free Body Diagram for a Spring Mass System Acceleration In Spring Mass System In this project, you will investigate the periodic motion of a spring, using a mini slinky®. Use the equation a = k x m to. When a mass \(m\) is attached to the spring, the spring will extend and the end of the spring will move to a new equilibrium position, \(y_0\), given by the condition that the net force. Acceleration In Spring Mass System.
From www.youtube.com
Mass on spring equation of motion YouTube Acceleration In Spring Mass System Lets’ understand the steps to find the. In this project, you will investigate the periodic motion of a spring, using a mini slinky®. When a mass \(m\) is attached to the spring, the spring will extend and the end of the spring will move to a new equilibrium position, \(y_0\), given by the condition that the net force on the. Acceleration In Spring Mass System.
From www.pw.live
The SpringMass System of Simple Harmonic Motion in Physics class 11 Acceleration In Spring Mass System You can also measure the motion of your spring using a. • the complementary function (which. Sum of forces = mass times acceleration to establish an ivp for the motion of. Identify the mass m of the object, the spring constant k of the spring, and the distance x the spring has been displaced from equilibrium. Use the equation a. Acceleration In Spring Mass System.
From www.chegg.com
Consider the springmass system, shown in Figure Acceleration In Spring Mass System When a mass \(m\) is attached to the spring, the spring will extend and the end of the spring will move to a new equilibrium position, \(y_0\), given by the condition that the net force on the mass \(m\) is zero. Identify the mass m of the object, the spring constant k of the spring, and the distance x the. Acceleration In Spring Mass System.
From matlabhelper.com
Blog Modelling Of Free Oscillations Of MassSpring System Acceleration In Spring Mass System Identify the mass m of the object, the spring constant k of the spring, and the distance x the spring has been displaced from equilibrium. You can also measure the motion of your spring using a. Sum of forces = mass times acceleration to establish an ivp for the motion of. When a mass \(m\) is attached to the spring,. Acceleration In Spring Mass System.
From www.chegg.com
Solved The undamped springmass system below at left has Acceleration In Spring Mass System Use the equation a = k x m to. Next we appeal to newton’s law of motion: Sum of forces = mass times acceleration to establish an ivp for the motion of. Lets’ understand the steps to find the. You can also measure the motion of your spring using a. Identify the mass m of the object, the spring constant. Acceleration In Spring Mass System.