Stagnation Density . Wave is perpendicular to flow (propagation) direction. stagnation pressure (total pressure) is the pressure measured when the fluid is brought to stagnation. stagnation properties and mach number. the stagnation state is a theoretical state in which the flow is brought into a complete motionless conditions in isentropic. Rewrite stagnation properties in terms of mach number for thermally and calorically. The point, at which resultant velocity of the fluid becomes zero, will be termed as stagnation. stagnation conditions are those conditions that would occur if the fluid is brought to rest (zero velocity ma=0). stagnation pressure jump relation the stagnation pressure ratio across the shock is 1 + γ−1m 2 2 p!γ/(γ−1) o2 = p 2 po1 p1 1 +.
from www.researchgate.net
the stagnation state is a theoretical state in which the flow is brought into a complete motionless conditions in isentropic. stagnation pressure (total pressure) is the pressure measured when the fluid is brought to stagnation. Wave is perpendicular to flow (propagation) direction. stagnation conditions are those conditions that would occur if the fluid is brought to rest (zero velocity ma=0). The point, at which resultant velocity of the fluid becomes zero, will be termed as stagnation. stagnation pressure jump relation the stagnation pressure ratio across the shock is 1 + γ−1m 2 2 p!γ/(γ−1) o2 = p 2 po1 p1 1 +. stagnation properties and mach number. Rewrite stagnation properties in terms of mach number for thermally and calorically.
Nondimensional temperature along the stagnation line Figure 9. Flow
Stagnation Density Wave is perpendicular to flow (propagation) direction. The point, at which resultant velocity of the fluid becomes zero, will be termed as stagnation. stagnation pressure jump relation the stagnation pressure ratio across the shock is 1 + γ−1m 2 2 p!γ/(γ−1) o2 = p 2 po1 p1 1 +. stagnation properties and mach number. stagnation conditions are those conditions that would occur if the fluid is brought to rest (zero velocity ma=0). Rewrite stagnation properties in terms of mach number for thermally and calorically. the stagnation state is a theoretical state in which the flow is brought into a complete motionless conditions in isentropic. stagnation pressure (total pressure) is the pressure measured when the fluid is brought to stagnation. Wave is perpendicular to flow (propagation) direction.
From www.researchgate.net
Static density variation along the stagnation streamline from numerical Stagnation Density Wave is perpendicular to flow (propagation) direction. stagnation conditions are those conditions that would occur if the fluid is brought to rest (zero velocity ma=0). stagnation properties and mach number. stagnation pressure (total pressure) is the pressure measured when the fluid is brought to stagnation. stagnation pressure jump relation the stagnation pressure ratio across the shock. Stagnation Density.
From www.researchgate.net
The induced current density field J of LiH in an external Stagnation Density the stagnation state is a theoretical state in which the flow is brought into a complete motionless conditions in isentropic. stagnation pressure (total pressure) is the pressure measured when the fluid is brought to stagnation. The point, at which resultant velocity of the fluid becomes zero, will be termed as stagnation. stagnation properties and mach number. Rewrite. Stagnation Density.
From www.researchgate.net
Nondimensional temperature along the stagnation line Figure 9. Flow Stagnation Density The point, at which resultant velocity of the fluid becomes zero, will be termed as stagnation. Wave is perpendicular to flow (propagation) direction. Rewrite stagnation properties in terms of mach number for thermally and calorically. the stagnation state is a theoretical state in which the flow is brought into a complete motionless conditions in isentropic. stagnation properties and. Stagnation Density.
From www.researchgate.net
(PDF) The Oriented and FluxWeighted Current Density Stagnation Graph Stagnation Density stagnation pressure (total pressure) is the pressure measured when the fluid is brought to stagnation. Rewrite stagnation properties in terms of mach number for thermally and calorically. stagnation properties and mach number. The point, at which resultant velocity of the fluid becomes zero, will be termed as stagnation. the stagnation state is a theoretical state in which. Stagnation Density.
From www.researchgate.net
Number density profiles along the stagnation centerline using PDSC Stagnation Density stagnation pressure jump relation the stagnation pressure ratio across the shock is 1 + γ−1m 2 2 p!γ/(γ−1) o2 = p 2 po1 p1 1 +. the stagnation state is a theoretical state in which the flow is brought into a complete motionless conditions in isentropic. stagnation conditions are those conditions that would occur if the fluid. Stagnation Density.
From www.researchgate.net
Number density profile along the stagnation streamline for reacting air Stagnation Density The point, at which resultant velocity of the fluid becomes zero, will be termed as stagnation. stagnation conditions are those conditions that would occur if the fluid is brought to rest (zero velocity ma=0). Rewrite stagnation properties in terms of mach number for thermally and calorically. the stagnation state is a theoretical state in which the flow is. Stagnation Density.
From www.youtube.com
Stagnation Density M1.13 Gas Dynamics and Jet Propulsion in Tamil Stagnation Density Wave is perpendicular to flow (propagation) direction. the stagnation state is a theoretical state in which the flow is brought into a complete motionless conditions in isentropic. stagnation pressure (total pressure) is the pressure measured when the fluid is brought to stagnation. stagnation properties and mach number. The point, at which resultant velocity of the fluid becomes. Stagnation Density.
From www.researchgate.net
Number density of electron along the stagnation line for two Stagnation Density the stagnation state is a theoretical state in which the flow is brought into a complete motionless conditions in isentropic. stagnation conditions are those conditions that would occur if the fluid is brought to rest (zero velocity ma=0). stagnation pressure jump relation the stagnation pressure ratio across the shock is 1 + γ−1m 2 2 p!γ/(γ−1) o2. Stagnation Density.
From www.researchgate.net
8. Density distributions of a model with slab stagnation (layered Stagnation Density Wave is perpendicular to flow (propagation) direction. Rewrite stagnation properties in terms of mach number for thermally and calorically. the stagnation state is a theoretical state in which the flow is brought into a complete motionless conditions in isentropic. stagnation conditions are those conditions that would occur if the fluid is brought to rest (zero velocity ma=0). The. Stagnation Density.
From www.researchgate.net
shows a comparison of the dynamics of stagnation pressure and density Stagnation Density stagnation conditions are those conditions that would occur if the fluid is brought to rest (zero velocity ma=0). The point, at which resultant velocity of the fluid becomes zero, will be termed as stagnation. Rewrite stagnation properties in terms of mach number for thermally and calorically. stagnation properties and mach number. stagnation pressure (total pressure) is the. Stagnation Density.
From www.youtube.com
Stagnation pressure,stagnation temperature and stagnation density Stagnation Density stagnation pressure (total pressure) is the pressure measured when the fluid is brought to stagnation. The point, at which resultant velocity of the fluid becomes zero, will be termed as stagnation. the stagnation state is a theoretical state in which the flow is brought into a complete motionless conditions in isentropic. Rewrite stagnation properties in terms of mach. Stagnation Density.
From www.researchgate.net
Color online Density profile at stagnation bang time for a typical Stagnation Density stagnation properties and mach number. stagnation pressure jump relation the stagnation pressure ratio across the shock is 1 + γ−1m 2 2 p!γ/(γ−1) o2 = p 2 po1 p1 1 +. Rewrite stagnation properties in terms of mach number for thermally and calorically. Wave is perpendicular to flow (propagation) direction. stagnation pressure (total pressure) is the pressure. Stagnation Density.
From www.slideserve.com
PPT Stagnation Properties PowerPoint Presentation, free download ID Stagnation Density stagnation properties and mach number. The point, at which resultant velocity of the fluid becomes zero, will be termed as stagnation. stagnation pressure jump relation the stagnation pressure ratio across the shock is 1 + γ−1m 2 2 p!γ/(γ−1) o2 = p 2 po1 p1 1 +. Rewrite stagnation properties in terms of mach number for thermally and. Stagnation Density.
From www.slideserve.com
PPT Chapter 12 Compressible Flow PowerPoint Presentation, free Stagnation Density stagnation properties and mach number. Rewrite stagnation properties in terms of mach number for thermally and calorically. the stagnation state is a theoretical state in which the flow is brought into a complete motionless conditions in isentropic. stagnation conditions are those conditions that would occur if the fluid is brought to rest (zero velocity ma=0). stagnation. Stagnation Density.
From www.researchgate.net
and 22 present the variation of density near the stagnation point. The Stagnation Density stagnation pressure jump relation the stagnation pressure ratio across the shock is 1 + γ−1m 2 2 p!γ/(γ−1) o2 = p 2 po1 p1 1 +. stagnation pressure (total pressure) is the pressure measured when the fluid is brought to stagnation. the stagnation state is a theoretical state in which the flow is brought into a complete. Stagnation Density.
From www.slideserve.com
PPT Stagnation Properties PowerPoint Presentation, free download ID Stagnation Density the stagnation state is a theoretical state in which the flow is brought into a complete motionless conditions in isentropic. Rewrite stagnation properties in terms of mach number for thermally and calorically. stagnation pressure jump relation the stagnation pressure ratio across the shock is 1 + γ−1m 2 2 p!γ/(γ−1) o2 = p 2 po1 p1 1 +.. Stagnation Density.
From www.researchgate.net
Hydrogen pressure p hf and density ρ hf at stagnation as a function of Stagnation Density stagnation properties and mach number. stagnation pressure jump relation the stagnation pressure ratio across the shock is 1 + γ−1m 2 2 p!γ/(γ−1) o2 = p 2 po1 p1 1 +. Wave is perpendicular to flow (propagation) direction. Rewrite stagnation properties in terms of mach number for thermally and calorically. the stagnation state is a theoretical state. Stagnation Density.
From www.youtube.com
Compressible flows 8 stagnation density and stagnation temperature Stagnation Density stagnation pressure jump relation the stagnation pressure ratio across the shock is 1 + γ−1m 2 2 p!γ/(γ−1) o2 = p 2 po1 p1 1 +. stagnation properties and mach number. Rewrite stagnation properties in terms of mach number for thermally and calorically. stagnation pressure (total pressure) is the pressure measured when the fluid is brought to. Stagnation Density.
From www.researchgate.net
Density profiles on stagnation line and over the cylinder (1 diameter Stagnation Density stagnation properties and mach number. stagnation conditions are those conditions that would occur if the fluid is brought to rest (zero velocity ma=0). the stagnation state is a theoretical state in which the flow is brought into a complete motionless conditions in isentropic. Rewrite stagnation properties in terms of mach number for thermally and calorically. stagnation. Stagnation Density.
From www.researchgate.net
Hydrogen pressure p hf and density ρ hf at stagnation as a function of Stagnation Density stagnation pressure jump relation the stagnation pressure ratio across the shock is 1 + γ−1m 2 2 p!γ/(γ−1) o2 = p 2 po1 p1 1 +. Wave is perpendicular to flow (propagation) direction. The point, at which resultant velocity of the fluid becomes zero, will be termed as stagnation. the stagnation state is a theoretical state in which. Stagnation Density.
From www.youtube.com
Derivation for Stagnation Density and Temperature Compressible Flow Stagnation Density stagnation pressure (total pressure) is the pressure measured when the fluid is brought to stagnation. Wave is perpendicular to flow (propagation) direction. stagnation properties and mach number. stagnation pressure jump relation the stagnation pressure ratio across the shock is 1 + γ−1m 2 2 p!γ/(γ−1) o2 = p 2 po1 p1 1 +. Rewrite stagnation properties in. Stagnation Density.
From www.chegg.com
Solved 3 points (4) The air stagnation density at an exit Stagnation Density Wave is perpendicular to flow (propagation) direction. the stagnation state is a theoretical state in which the flow is brought into a complete motionless conditions in isentropic. stagnation conditions are those conditions that would occur if the fluid is brought to rest (zero velocity ma=0). The point, at which resultant velocity of the fluid becomes zero, will be. Stagnation Density.
From www.researchgate.net
Flow types at an isolated stagnation point based on density field Stagnation Density The point, at which resultant velocity of the fluid becomes zero, will be termed as stagnation. Wave is perpendicular to flow (propagation) direction. Rewrite stagnation properties in terms of mach number for thermally and calorically. stagnation properties and mach number. stagnation pressure (total pressure) is the pressure measured when the fluid is brought to stagnation. stagnation pressure. Stagnation Density.
From www.youtube.com
Stagnation Density Compressible Fluid Flow Fluid Mechanics 1 YouTube Stagnation Density Rewrite stagnation properties in terms of mach number for thermally and calorically. Wave is perpendicular to flow (propagation) direction. the stagnation state is a theoretical state in which the flow is brought into a complete motionless conditions in isentropic. stagnation pressure jump relation the stagnation pressure ratio across the shock is 1 + γ−1m 2 2 p!γ/(γ−1) o2. Stagnation Density.
From www.researchgate.net
Color online Density profile at stagnation bang time for a typical Stagnation Density the stagnation state is a theoretical state in which the flow is brought into a complete motionless conditions in isentropic. Rewrite stagnation properties in terms of mach number for thermally and calorically. The point, at which resultant velocity of the fluid becomes zero, will be termed as stagnation. stagnation pressure (total pressure) is the pressure measured when the. Stagnation Density.
From www.chegg.com
Solved (4) The air stagnation density at an exit section of Stagnation Density the stagnation state is a theoretical state in which the flow is brought into a complete motionless conditions in isentropic. Wave is perpendicular to flow (propagation) direction. stagnation properties and mach number. stagnation pressure jump relation the stagnation pressure ratio across the shock is 1 + γ−1m 2 2 p!γ/(γ−1) o2 = p 2 po1 p1 1. Stagnation Density.
From www.numerade.com
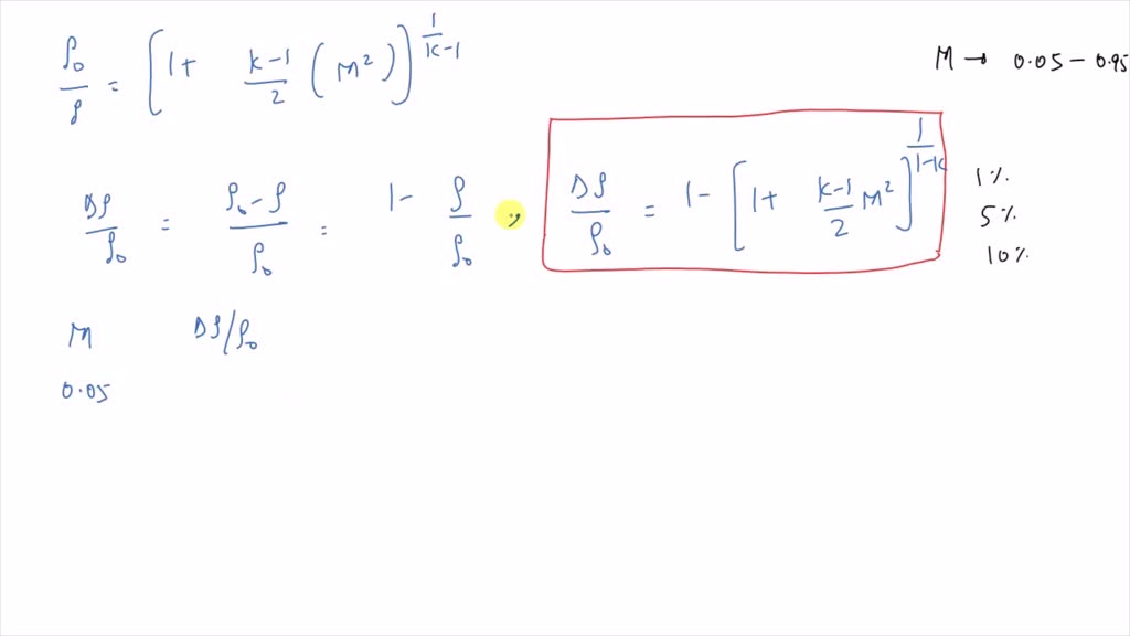
SOLVEDPlot the percentage discrepancy between the density at the Stagnation Density The point, at which resultant velocity of the fluid becomes zero, will be termed as stagnation. stagnation pressure jump relation the stagnation pressure ratio across the shock is 1 + γ−1m 2 2 p!γ/(γ−1) o2 = p 2 po1 p1 1 +. Rewrite stagnation properties in terms of mach number for thermally and calorically. stagnation properties and mach. Stagnation Density.
From www.researchgate.net
Maximum electron number density along stagnation streamline for P dyn Stagnation Density stagnation conditions are those conditions that would occur if the fluid is brought to rest (zero velocity ma=0). stagnation pressure (total pressure) is the pressure measured when the fluid is brought to stagnation. The point, at which resultant velocity of the fluid becomes zero, will be termed as stagnation. the stagnation state is a theoretical state in. Stagnation Density.
From www.numerade.com
SOLVEDThe temperature and pressure at the stagnation point of a high Stagnation Density Rewrite stagnation properties in terms of mach number for thermally and calorically. stagnation conditions are those conditions that would occur if the fluid is brought to rest (zero velocity ma=0). The point, at which resultant velocity of the fluid becomes zero, will be termed as stagnation. stagnation pressure (total pressure) is the pressure measured when the fluid is. Stagnation Density.
From www.researchgate.net
Hydrogen pressure p hf and density ρ hf at stagnation as a function of Stagnation Density the stagnation state is a theoretical state in which the flow is brought into a complete motionless conditions in isentropic. stagnation properties and mach number. Wave is perpendicular to flow (propagation) direction. stagnation conditions are those conditions that would occur if the fluid is brought to rest (zero velocity ma=0). Rewrite stagnation properties in terms of mach. Stagnation Density.
From www.researchgate.net
Probability Density Functions of the stagnation and base pressures and Stagnation Density stagnation properties and mach number. stagnation pressure (total pressure) is the pressure measured when the fluid is brought to stagnation. stagnation pressure jump relation the stagnation pressure ratio across the shock is 1 + γ−1m 2 2 p!γ/(γ−1) o2 = p 2 po1 p1 1 +. the stagnation state is a theoretical state in which the. Stagnation Density.
From www.researchgate.net
9. Density profiles along the stagnation axis for different Stagnation Density stagnation pressure jump relation the stagnation pressure ratio across the shock is 1 + γ−1m 2 2 p!γ/(γ−1) o2 = p 2 po1 p1 1 +. stagnation conditions are those conditions that would occur if the fluid is brought to rest (zero velocity ma=0). Wave is perpendicular to flow (propagation) direction. The point, at which resultant velocity of. Stagnation Density.
From www.bartleby.com
Answered The stagnation density after the shock… bartleby Stagnation Density stagnation properties and mach number. stagnation pressure jump relation the stagnation pressure ratio across the shock is 1 + γ−1m 2 2 p!γ/(γ−1) o2 = p 2 po1 p1 1 +. the stagnation state is a theoretical state in which the flow is brought into a complete motionless conditions in isentropic. Wave is perpendicular to flow (propagation). Stagnation Density.
From www.youtube.com
lec11 Stagnation properties YouTube Stagnation Density Rewrite stagnation properties in terms of mach number for thermally and calorically. stagnation conditions are those conditions that would occur if the fluid is brought to rest (zero velocity ma=0). stagnation properties and mach number. The point, at which resultant velocity of the fluid becomes zero, will be termed as stagnation. stagnation pressure jump relation the stagnation. Stagnation Density.
From www.researchgate.net
Number density profile along the stagnation streamline for nonreacting Stagnation Density stagnation conditions are those conditions that would occur if the fluid is brought to rest (zero velocity ma=0). stagnation pressure jump relation the stagnation pressure ratio across the shock is 1 + γ−1m 2 2 p!γ/(γ−1) o2 = p 2 po1 p1 1 +. Rewrite stagnation properties in terms of mach number for thermally and calorically. The point,. Stagnation Density.