A Battery Of Emf 12V And Internal Resistance 0.5 . A battery of emf 12 v and internal resistance 0.5 Ο are connected in series with two resistors, one of 5.0 Ο and another of 15 Ο. A battery of e.m.f 12 v and internal resistance 0.5 ohm is connected to a load resistance of 65 Ο. Omni's internal resistance calculator allows you to calculate the resistance offered by a voltage source to the flow of current through it. So, $1.6$ $\omega$ and $1.4$ $\omega$ are related to $16.0 v$ and $8.0 v$ batteries respectively. (b) what is the terminal voltage when. Internal resistance usually refers to the resistance associated with batteries. The emf π of a battery is given by the equation π = π + πΌ π, where π is the terminal voltage of the battery, π is the internal resistance of the battery, and πΌ is the. Do you know that both trucks and motorcycles use. To solve the problem, we need to determine the resistance that must be connected in series with the battery to limit the charging current to 5.0 a, and. (a) calculate its terminal voltage when connected to a \(10.0 \, \omega\) load. What is the magnitude of the current flowing through.
from www.chegg.com
Internal resistance usually refers to the resistance associated with batteries. Omni's internal resistance calculator allows you to calculate the resistance offered by a voltage source to the flow of current through it. So, $1.6$ $\omega$ and $1.4$ $\omega$ are related to $16.0 v$ and $8.0 v$ batteries respectively. (a) calculate its terminal voltage when connected to a \(10.0 \, \omega\) load. What is the magnitude of the current flowing through. Do you know that both trucks and motorcycles use. A battery of emf 12 v and internal resistance 0.5 Ο are connected in series with two resistors, one of 5.0 Ο and another of 15 Ο. To solve the problem, we need to determine the resistance that must be connected in series with the battery to limit the charging current to 5.0 a, and. A battery of e.m.f 12 v and internal resistance 0.5 ohm is connected to a load resistance of 65 Ο. The emf π of a battery is given by the equation π = π + πΌ π, where π is the terminal voltage of the battery, π is the internal resistance of the battery, and πΌ is the.
Solved A 12V battery with internal resistance 0.5 Ohm has
A Battery Of Emf 12V And Internal Resistance 0.5 A battery of e.m.f 12 v and internal resistance 0.5 ohm is connected to a load resistance of 65 Ο. Do you know that both trucks and motorcycles use. (a) calculate its terminal voltage when connected to a \(10.0 \, \omega\) load. A battery of emf 12 v and internal resistance 0.5 Ο are connected in series with two resistors, one of 5.0 Ο and another of 15 Ο. A battery of e.m.f 12 v and internal resistance 0.5 ohm is connected to a load resistance of 65 Ο. Omni's internal resistance calculator allows you to calculate the resistance offered by a voltage source to the flow of current through it. So, $1.6$ $\omega$ and $1.4$ $\omega$ are related to $16.0 v$ and $8.0 v$ batteries respectively. Internal resistance usually refers to the resistance associated with batteries. The emf π of a battery is given by the equation π = π + πΌ π, where π is the terminal voltage of the battery, π is the internal resistance of the battery, and πΌ is the. What is the magnitude of the current flowing through. To solve the problem, we need to determine the resistance that must be connected in series with the battery to limit the charging current to 5.0 a, and. (b) what is the terminal voltage when.
From www.slideserve.com
PPT Internal resistance of battery PowerPoint Presentation, free A Battery Of Emf 12V And Internal Resistance 0.5 So, $1.6$ $\omega$ and $1.4$ $\omega$ are related to $16.0 v$ and $8.0 v$ batteries respectively. Omni's internal resistance calculator allows you to calculate the resistance offered by a voltage source to the flow of current through it. Internal resistance usually refers to the resistance associated with batteries. A battery of e.m.f 12 v and internal resistance 0.5 ohm is. A Battery Of Emf 12V And Internal Resistance 0.5.
From www.coursehero.com
[Solved] . A battery has an emf of 12.0 V an internal resistance of 0. A Battery Of Emf 12V And Internal Resistance 0.5 To solve the problem, we need to determine the resistance that must be connected in series with the battery to limit the charging current to 5.0 a, and. So, $1.6$ $\omega$ and $1.4$ $\omega$ are related to $16.0 v$ and $8.0 v$ batteries respectively. The emf π of a battery is given by the equation π = π + πΌ. A Battery Of Emf 12V And Internal Resistance 0.5.
From www.toppr.com
The figure shows a source (a battery) with an emf E of 12V with an A Battery Of Emf 12V And Internal Resistance 0.5 To solve the problem, we need to determine the resistance that must be connected in series with the battery to limit the charging current to 5.0 a, and. (b) what is the terminal voltage when. What is the magnitude of the current flowing through. A battery of emf 12 v and internal resistance 0.5 Ο are connected in series with. A Battery Of Emf 12V And Internal Resistance 0.5.
From askfilo.com
for enindital cell.(e) (8) A Battery or emf 12v \& internal resistance.. A Battery Of Emf 12V And Internal Resistance 0.5 What is the magnitude of the current flowing through. (b) what is the terminal voltage when. The emf π of a battery is given by the equation π = π + πΌ π, where π is the terminal voltage of the battery, π is the internal resistance of the battery, and πΌ is the. Do you know that both trucks. A Battery Of Emf 12V And Internal Resistance 0.5.
From www.youtube.com
IB Physics A 12V battery has an internal resistance of 2.0Ξ©. A load of A Battery Of Emf 12V And Internal Resistance 0.5 (b) what is the terminal voltage when. To solve the problem, we need to determine the resistance that must be connected in series with the battery to limit the charging current to 5.0 a, and. Omni's internal resistance calculator allows you to calculate the resistance offered by a voltage source to the flow of current through it. Do you know. A Battery Of Emf 12V And Internal Resistance 0.5.
From byjus.com
The emf of a battery is 2V and internal resistance is 0.5 ohm . Find A Battery Of Emf 12V And Internal Resistance 0.5 Internal resistance usually refers to the resistance associated with batteries. The emf π of a battery is given by the equation π = π + πΌ π, where π is the terminal voltage of the battery, π is the internal resistance of the battery, and πΌ is the. Omni's internal resistance calculator allows you to calculate the resistance offered by. A Battery Of Emf 12V And Internal Resistance 0.5.
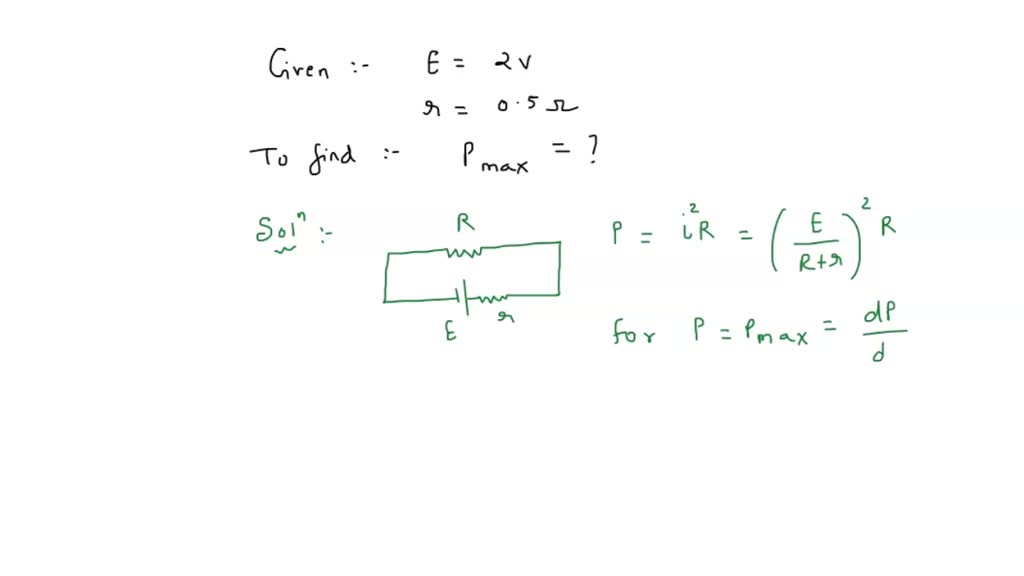
From www.numerade.com
SOLVED The emf of a battery is 2 V and its internal resistance is 0.5 A Battery Of Emf 12V And Internal Resistance 0.5 What is the magnitude of the current flowing through. The emf π of a battery is given by the equation π = π + πΌ π, where π is the terminal voltage of the battery, π is the internal resistance of the battery, and πΌ is the. So, $1.6$ $\omega$ and $1.4$ $\omega$ are related to $16.0 v$ and $8.0. A Battery Of Emf 12V And Internal Resistance 0.5.
From loeggqwel.blob.core.windows.net
A Battery Of Emf 12V And Internal Resistance 3 Ohm Is Connected at A Battery Of Emf 12V And Internal Resistance 0.5 A battery of e.m.f 12 v and internal resistance 0.5 ohm is connected to a load resistance of 65 Ο. (b) what is the terminal voltage when. Do you know that both trucks and motorcycles use. Omni's internal resistance calculator allows you to calculate the resistance offered by a voltage source to the flow of current through it. What is. A Battery Of Emf 12V And Internal Resistance 0.5.
From www.chegg.com
Solved battery emf= 12vinternal resistance=.75ohmcalculate A Battery Of Emf 12V And Internal Resistance 0.5 Do you know that both trucks and motorcycles use. A battery of emf 12 v and internal resistance 0.5 Ο are connected in series with two resistors, one of 5.0 Ο and another of 15 Ο. What is the magnitude of the current flowing through. (b) what is the terminal voltage when. Internal resistance usually refers to the resistance associated. A Battery Of Emf 12V And Internal Resistance 0.5.
From www.youtube.com
In the circuit shown in figure a `12 V` battery with unknown internal A Battery Of Emf 12V And Internal Resistance 0.5 Internal resistance usually refers to the resistance associated with batteries. A battery of emf 12 v and internal resistance 0.5 Ο are connected in series with two resistors, one of 5.0 Ο and another of 15 Ο. Omni's internal resistance calculator allows you to calculate the resistance offered by a voltage source to the flow of current through it. What. A Battery Of Emf 12V And Internal Resistance 0.5.
From www.numerade.com
SOLVEDIn Fig. 2733, battery 1 has emf β°1=12.0 V and internal A Battery Of Emf 12V And Internal Resistance 0.5 Do you know that both trucks and motorcycles use. The emf π of a battery is given by the equation π = π + πΌ π, where π is the terminal voltage of the battery, π is the internal resistance of the battery, and πΌ is the. A battery of emf 12 v and internal resistance 0.5 Ο are connected. A Battery Of Emf 12V And Internal Resistance 0.5.
From loeggqwel.blob.core.windows.net
A Battery Of Emf 12V And Internal Resistance 3 Ohm Is Connected at A Battery Of Emf 12V And Internal Resistance 0.5 A battery of e.m.f 12 v and internal resistance 0.5 ohm is connected to a load resistance of 65 Ο. The emf π of a battery is given by the equation π = π + πΌ π, where π is the terminal voltage of the battery, π is the internal resistance of the battery, and πΌ is the. What is. A Battery Of Emf 12V And Internal Resistance 0.5.
From byjus.com
A battery of 12V emf and internal resisβ an ce of 4 ia connected to a A Battery Of Emf 12V And Internal Resistance 0.5 Internal resistance usually refers to the resistance associated with batteries. Do you know that both trucks and motorcycles use. (b) what is the terminal voltage when. The emf π of a battery is given by the equation π = π + πΌ π, where π is the terminal voltage of the battery, π is the internal resistance of the battery,. A Battery Of Emf 12V And Internal Resistance 0.5.
From www.youtube.com
Internal Resistance of a Battery, EMF, Cell Terminal Voltage, Physics A Battery Of Emf 12V And Internal Resistance 0.5 So, $1.6$ $\omega$ and $1.4$ $\omega$ are related to $16.0 v$ and $8.0 v$ batteries respectively. A battery of emf 12 v and internal resistance 0.5 Ο are connected in series with two resistors, one of 5.0 Ο and another of 15 Ο. To solve the problem, we need to determine the resistance that must be connected in series with. A Battery Of Emf 12V And Internal Resistance 0.5.
From philschatz.com
Electromotive Force Terminal Voltage Β· Physics A Battery Of Emf 12V And Internal Resistance 0.5 A battery of e.m.f 12 v and internal resistance 0.5 ohm is connected to a load resistance of 65 Ο. A battery of emf 12 v and internal resistance 0.5 Ο are connected in series with two resistors, one of 5.0 Ο and another of 15 Ο. The emf π of a battery is given by the equation π =. A Battery Of Emf 12V And Internal Resistance 0.5.
From www.youtube.com
A storage battery of emf 8.0 V and internal resistance 0.5 ohm is being A Battery Of Emf 12V And Internal Resistance 0.5 (b) what is the terminal voltage when. A battery of e.m.f 12 v and internal resistance 0.5 ohm is connected to a load resistance of 65 Ο. (a) calculate its terminal voltage when connected to a \(10.0 \, \omega\) load. Do you know that both trucks and motorcycles use. The emf π of a battery is given by the equation. A Battery Of Emf 12V And Internal Resistance 0.5.
From byjus.com
The EMF of a battery is 2 volt and internal resistance 0.5 Ohm.the A Battery Of Emf 12V And Internal Resistance 0.5 So, $1.6$ $\omega$ and $1.4$ $\omega$ are related to $16.0 v$ and $8.0 v$ batteries respectively. Internal resistance usually refers to the resistance associated with batteries. Omni's internal resistance calculator allows you to calculate the resistance offered by a voltage source to the flow of current through it. To solve the problem, we need to determine the resistance that must. A Battery Of Emf 12V And Internal Resistance 0.5.
From www.doubtnut.com
Find the emf and internal resistance of a single battery which is equi A Battery Of Emf 12V And Internal Resistance 0.5 What is the magnitude of the current flowing through. A battery of e.m.f 12 v and internal resistance 0.5 ohm is connected to a load resistance of 65 Ο. So, $1.6$ $\omega$ and $1.4$ $\omega$ are related to $16.0 v$ and $8.0 v$ batteries respectively. Omni's internal resistance calculator allows you to calculate the resistance offered by a voltage source. A Battery Of Emf 12V And Internal Resistance 0.5.
From byjus.com
72. In the circuit shown in figure a 12V power supply with unknown A Battery Of Emf 12V And Internal Resistance 0.5 To solve the problem, we need to determine the resistance that must be connected in series with the battery to limit the charging current to 5.0 a, and. So, $1.6$ $\omega$ and $1.4$ $\omega$ are related to $16.0 v$ and $8.0 v$ batteries respectively. A battery of e.m.f 12 v and internal resistance 0.5 ohm is connected to a load. A Battery Of Emf 12V And Internal Resistance 0.5.
From www.numerade.com
SOLVEDA battery has an emf \mathcal{E} and an internal resistance r A Battery Of Emf 12V And Internal Resistance 0.5 (a) calculate its terminal voltage when connected to a \(10.0 \, \omega\) load. Omni's internal resistance calculator allows you to calculate the resistance offered by a voltage source to the flow of current through it. So, $1.6$ $\omega$ and $1.4$ $\omega$ are related to $16.0 v$ and $8.0 v$ batteries respectively. A battery of emf 12 v and internal resistance. A Battery Of Emf 12V And Internal Resistance 0.5.
From www.toppr.com
21. A battery of emf 12 mathrm{V} and internal resistance 4 Omega is A Battery Of Emf 12V And Internal Resistance 0.5 Do you know that both trucks and motorcycles use. What is the magnitude of the current flowing through. So, $1.6$ $\omega$ and $1.4$ $\omega$ are related to $16.0 v$ and $8.0 v$ batteries respectively. A battery of emf 12 v and internal resistance 0.5 Ο are connected in series with two resistors, one of 5.0 Ο and another of 15. A Battery Of Emf 12V And Internal Resistance 0.5.
From www.youtube.com
Finding Internal Resistance and EMF of a Battery YouTube A Battery Of Emf 12V And Internal Resistance 0.5 So, $1.6$ $\omega$ and $1.4$ $\omega$ are related to $16.0 v$ and $8.0 v$ batteries respectively. A battery of emf 12 v and internal resistance 0.5 Ο are connected in series with two resistors, one of 5.0 Ο and another of 15 Ο. Internal resistance usually refers to the resistance associated with batteries. (a) calculate its terminal voltage when connected. A Battery Of Emf 12V And Internal Resistance 0.5.
From kunduz.com
[ANSWERED] A battery of EMF 10 V with internal resistance 12 is being A Battery Of Emf 12V And Internal Resistance 0.5 Omni's internal resistance calculator allows you to calculate the resistance offered by a voltage source to the flow of current through it. So, $1.6$ $\omega$ and $1.4$ $\omega$ are related to $16.0 v$ and $8.0 v$ batteries respectively. A battery of e.m.f 12 v and internal resistance 0.5 ohm is connected to a load resistance of 65 Ο. (a) calculate. A Battery Of Emf 12V And Internal Resistance 0.5.
From www.chegg.com
Solved A 12V battery with internal resistance 0.5 Ohm has A Battery Of Emf 12V And Internal Resistance 0.5 Internal resistance usually refers to the resistance associated with batteries. Omni's internal resistance calculator allows you to calculate the resistance offered by a voltage source to the flow of current through it. So, $1.6$ $\omega$ and $1.4$ $\omega$ are related to $16.0 v$ and $8.0 v$ batteries respectively. (b) what is the terminal voltage when. (a) calculate its terminal voltage. A Battery Of Emf 12V And Internal Resistance 0.5.
From askfilo.com
A battery of 12 V emf and internal resistance of 4Ξ© is connected to a var.. A Battery Of Emf 12V And Internal Resistance 0.5 What is the magnitude of the current flowing through. Do you know that both trucks and motorcycles use. To solve the problem, we need to determine the resistance that must be connected in series with the battery to limit the charging current to 5.0 a, and. (b) what is the terminal voltage when. Internal resistance usually refers to the resistance. A Battery Of Emf 12V And Internal Resistance 0.5.
From www.youtube.com
EMF, Internal Resistance, and Terminal Voltage of Batteries Explained A Battery Of Emf 12V And Internal Resistance 0.5 Omni's internal resistance calculator allows you to calculate the resistance offered by a voltage source to the flow of current through it. A battery of emf 12 v and internal resistance 0.5 Ο are connected in series with two resistors, one of 5.0 Ο and another of 15 Ο. The emf π of a battery is given by the equation. A Battery Of Emf 12V And Internal Resistance 0.5.
From www.chegg.com
Solved 1. A 12 V battery of 0.05ohm resistance and another A Battery Of Emf 12V And Internal Resistance 0.5 Internal resistance usually refers to the resistance associated with batteries. (b) what is the terminal voltage when. A battery of e.m.f 12 v and internal resistance 0.5 ohm is connected to a load resistance of 65 Ο. So, $1.6$ $\omega$ and $1.4$ $\omega$ are related to $16.0 v$ and $8.0 v$ batteries respectively. (a) calculate its terminal voltage when connected. A Battery Of Emf 12V And Internal Resistance 0.5.
From byjus.com
Aa battery of 12 voltage and internal resistance 0.8 ohm is connected A Battery Of Emf 12V And Internal Resistance 0.5 A battery of emf 12 v and internal resistance 0.5 Ο are connected in series with two resistors, one of 5.0 Ο and another of 15 Ο. To solve the problem, we need to determine the resistance that must be connected in series with the battery to limit the charging current to 5.0 a, and. Internal resistance usually refers to. A Battery Of Emf 12V And Internal Resistance 0.5.
From www.toppr.com
A car has a fresh battery of emf 12 V and internal resistance of 0.05Ξ© A Battery Of Emf 12V And Internal Resistance 0.5 To solve the problem, we need to determine the resistance that must be connected in series with the battery to limit the charging current to 5.0 a, and. The emf π of a battery is given by the equation π = π + πΌ π, where π is the terminal voltage of the battery, π is the internal resistance of. A Battery Of Emf 12V And Internal Resistance 0.5.
From www.doubtnut.com
12 cells, each of emf 1.5 V and internal resistance of 0.5Omega, are a A Battery Of Emf 12V And Internal Resistance 0.5 Omni's internal resistance calculator allows you to calculate the resistance offered by a voltage source to the flow of current through it. Internal resistance usually refers to the resistance associated with batteries. The emf π of a battery is given by the equation π = π + πΌ π, where π is the terminal voltage of the battery, π is. A Battery Of Emf 12V And Internal Resistance 0.5.
From www.toppr.com
1L A battery of emf 12V and internal resistance 30 is connected to a A Battery Of Emf 12V And Internal Resistance 0.5 A battery of emf 12 v and internal resistance 0.5 Ο are connected in series with two resistors, one of 5.0 Ο and another of 15 Ο. The emf π of a battery is given by the equation π = π + πΌ π, where π is the terminal voltage of the battery, π is the internal resistance of the. A Battery Of Emf 12V And Internal Resistance 0.5.
From www.toppr.com
Q14 The storage battery of a car has an emf of 12V. If the internal A Battery Of Emf 12V And Internal Resistance 0.5 The emf π of a battery is given by the equation π = π + πΌ π, where π is the terminal voltage of the battery, π is the internal resistance of the battery, and πΌ is the. To solve the problem, we need to determine the resistance that must be connected in series with the battery to limit the. A Battery Of Emf 12V And Internal Resistance 0.5.
From www.slideserve.com
PPT Internal resistance of battery PowerPoint Presentation ID3737741 A Battery Of Emf 12V And Internal Resistance 0.5 Omni's internal resistance calculator allows you to calculate the resistance offered by a voltage source to the flow of current through it. So, $1.6$ $\omega$ and $1.4$ $\omega$ are related to $16.0 v$ and $8.0 v$ batteries respectively. The emf π of a battery is given by the equation π = π + πΌ π, where π is the terminal. A Battery Of Emf 12V And Internal Resistance 0.5.
From www.solutionspile.com
[Solved] A battery of emf 12V and negligible internal res A Battery Of Emf 12V And Internal Resistance 0.5 What is the magnitude of the current flowing through. Internal resistance usually refers to the resistance associated with batteries. Do you know that both trucks and motorcycles use. So, $1.6$ $\omega$ and $1.4$ $\omega$ are related to $16.0 v$ and $8.0 v$ batteries respectively. (a) calculate its terminal voltage when connected to a \(10.0 \, \omega\) load. A battery of. A Battery Of Emf 12V And Internal Resistance 0.5.
From www.studocu.com
EMF AND Internal Resistance EMF AND INTERNAL RESISTANCE One kind of A Battery Of Emf 12V And Internal Resistance 0.5 (a) calculate its terminal voltage when connected to a \(10.0 \, \omega\) load. A battery of emf 12 v and internal resistance 0.5 Ο are connected in series with two resistors, one of 5.0 Ο and another of 15 Ο. Internal resistance usually refers to the resistance associated with batteries. Do you know that both trucks and motorcycles use. Omni's. A Battery Of Emf 12V And Internal Resistance 0.5.