Capacitor Stores Charge In The Form Of . Capacitors store energy in the form of an electric field. When you turn on the power, an electric charge gradually. Several capacitors, tiny cylindrical electrical components, are soldered to this motherboard. At its most simple, a capacitor can be little more than a pair of metal plates. The energy \(u_c\) stored in a capacitor is electrostatic potential energy and is thus related to the charge q and voltage v between the. A capacitor is an electrical component that stores charge. The capacitance of a capacitor is the amount of charge that can be stored per unit voltage. It is a passive device that consists of two conductors separated by an insulating material known as a. A capacitor is an electrical component that stores charge in an electric field. Marshall brain & chris pollette. You can charge a capacitor simply by wiring it up into an electric circuit. A capacitor is an electrical component that stores energy in an electric field.
from robustcircuitdesign.com
At its most simple, a capacitor can be little more than a pair of metal plates. A capacitor is an electrical component that stores energy in an electric field. The energy \(u_c\) stored in a capacitor is electrostatic potential energy and is thus related to the charge q and voltage v between the. A capacitor is an electrical component that stores charge in an electric field. The capacitance of a capacitor is the amount of charge that can be stored per unit voltage. Several capacitors, tiny cylindrical electrical components, are soldered to this motherboard. You can charge a capacitor simply by wiring it up into an electric circuit. It is a passive device that consists of two conductors separated by an insulating material known as a. When you turn on the power, an electric charge gradually. Capacitors store energy in the form of an electric field.
Capacitor Impedance Robust Circuit Design
Capacitor Stores Charge In The Form Of A capacitor is an electrical component that stores energy in an electric field. The energy \(u_c\) stored in a capacitor is electrostatic potential energy and is thus related to the charge q and voltage v between the. At its most simple, a capacitor can be little more than a pair of metal plates. You can charge a capacitor simply by wiring it up into an electric circuit. It is a passive device that consists of two conductors separated by an insulating material known as a. A capacitor is an electrical component that stores charge. Marshall brain & chris pollette. When you turn on the power, an electric charge gradually. Several capacitors, tiny cylindrical electrical components, are soldered to this motherboard. The capacitance of a capacitor is the amount of charge that can be stored per unit voltage. Capacitors store energy in the form of an electric field. A capacitor is an electrical component that stores energy in an electric field. A capacitor is an electrical component that stores charge in an electric field.
From www.slideserve.com
PPT Physics 2102 PowerPoint Presentation, free download ID2182507 Capacitor Stores Charge In The Form Of When you turn on the power, an electric charge gradually. At its most simple, a capacitor can be little more than a pair of metal plates. Capacitors store energy in the form of an electric field. You can charge a capacitor simply by wiring it up into an electric circuit. A capacitor is an electrical component that stores charge. A. Capacitor Stores Charge In The Form Of.
From www.chegg.com
Solved Find the charge on each capacitor. Capacitor Stores Charge In The Form Of A capacitor is an electrical component that stores energy in an electric field. The energy \(u_c\) stored in a capacitor is electrostatic potential energy and is thus related to the charge q and voltage v between the. When you turn on the power, an electric charge gradually. A capacitor is an electrical component that stores charge in an electric field.. Capacitor Stores Charge In The Form Of.
From aninesverden.blogspot.com
How To Calculate Maximum Charge On A Capacitor Capacitor Stores Charge In The Form Of Marshall brain & chris pollette. At its most simple, a capacitor can be little more than a pair of metal plates. You can charge a capacitor simply by wiring it up into an electric circuit. It is a passive device that consists of two conductors separated by an insulating material known as a. A capacitor is an electrical component that. Capacitor Stores Charge In The Form Of.
From dokumen.tips
(PPT) Capacitors The capacitor is an element that continuously stores Capacitor Stores Charge In The Form Of It is a passive device that consists of two conductors separated by an insulating material known as a. The capacitance of a capacitor is the amount of charge that can be stored per unit voltage. Marshall brain & chris pollette. At its most simple, a capacitor can be little more than a pair of metal plates. The energy \(u_c\) stored. Capacitor Stores Charge In The Form Of.
From www.slideserve.com
PPT Capacitor PowerPoint Presentation, free download ID6912127 Capacitor Stores Charge In The Form Of A capacitor is an electrical component that stores energy in an electric field. It is a passive device that consists of two conductors separated by an insulating material known as a. Capacitors store energy in the form of an electric field. When you turn on the power, an electric charge gradually. The energy \(u_c\) stored in a capacitor is electrostatic. Capacitor Stores Charge In The Form Of.
From electricalacademia.com
Capacitor Charging Equation RC Circuit Charging Matlab Electrical Capacitor Stores Charge In The Form Of The capacitance of a capacitor is the amount of charge that can be stored per unit voltage. Marshall brain & chris pollette. The energy \(u_c\) stored in a capacitor is electrostatic potential energy and is thus related to the charge q and voltage v between the. You can charge a capacitor simply by wiring it up into an electric circuit.. Capacitor Stores Charge In The Form Of.
From www.javatpoint.com
Capacitors Definition JavaTpoint Capacitor Stores Charge In The Form Of Marshall brain & chris pollette. When you turn on the power, an electric charge gradually. A capacitor is an electrical component that stores charge in an electric field. Capacitors store energy in the form of an electric field. You can charge a capacitor simply by wiring it up into an electric circuit. The energy \(u_c\) stored in a capacitor is. Capacitor Stores Charge In The Form Of.
From www.youtube.com
Capacitor's charging and discharging graph YouTube Capacitor Stores Charge In The Form Of Capacitors store energy in the form of an electric field. A capacitor is an electrical component that stores energy in an electric field. The energy \(u_c\) stored in a capacitor is electrostatic potential energy and is thus related to the charge q and voltage v between the. The capacitance of a capacitor is the amount of charge that can be. Capacitor Stores Charge In The Form Of.
From www.slideshare.net
Capacitors Capacitor Stores Charge In The Form Of A capacitor is an electrical component that stores charge in an electric field. A capacitor is an electrical component that stores energy in an electric field. The energy \(u_c\) stored in a capacitor is electrostatic potential energy and is thus related to the charge q and voltage v between the. You can charge a capacitor simply by wiring it up. Capacitor Stores Charge In The Form Of.
From allfaceofme.blogspot.com
What Is The Charge Stored By The Capacitor Capacitor Stores Charge In The Form Of When you turn on the power, an electric charge gradually. The capacitance of a capacitor is the amount of charge that can be stored per unit voltage. Capacitors store energy in the form of an electric field. At its most simple, a capacitor can be little more than a pair of metal plates. A capacitor is an electrical component that. Capacitor Stores Charge In The Form Of.
From mmerevise.co.uk
Energy Stored by a Capacitor Questions and Revision MME Capacitor Stores Charge In The Form Of The energy \(u_c\) stored in a capacitor is electrostatic potential energy and is thus related to the charge q and voltage v between the. A capacitor is an electrical component that stores charge. When you turn on the power, an electric charge gradually. A capacitor is an electrical component that stores energy in an electric field. A capacitor is an. Capacitor Stores Charge In The Form Of.
From www.slideserve.com
PPT Capacitor PowerPoint Presentation ID6912127 Capacitor Stores Charge In The Form Of A capacitor is an electrical component that stores energy in an electric field. When you turn on the power, an electric charge gradually. Marshall brain & chris pollette. It is a passive device that consists of two conductors separated by an insulating material known as a. Several capacitors, tiny cylindrical electrical components, are soldered to this motherboard. A capacitor is. Capacitor Stores Charge In The Form Of.
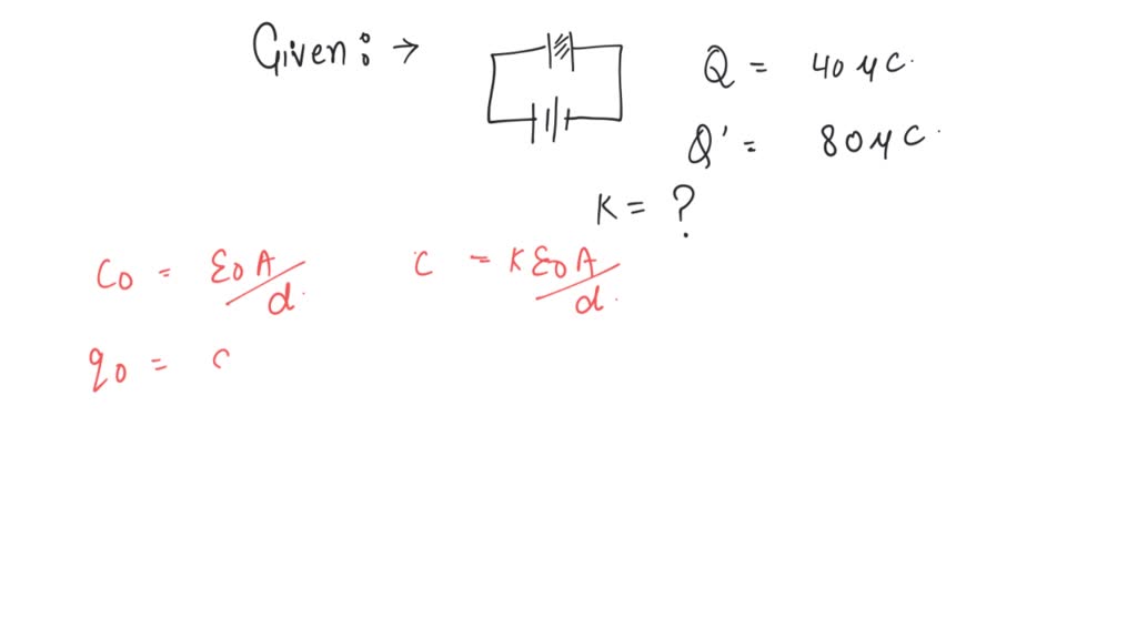
From www.numerade.com
SOLVED A capacitor stores 40uC charge when connected across a battery Capacitor Stores Charge In The Form Of It is a passive device that consists of two conductors separated by an insulating material known as a. You can charge a capacitor simply by wiring it up into an electric circuit. The energy \(u_c\) stored in a capacitor is electrostatic potential energy and is thus related to the charge q and voltage v between the. A capacitor is an. Capacitor Stores Charge In The Form Of.
From askfilo.com
All three capacitors store the same amount of energy The charge flowing Capacitor Stores Charge In The Form Of A capacitor is an electrical component that stores charge. Several capacitors, tiny cylindrical electrical components, are soldered to this motherboard. The energy \(u_c\) stored in a capacitor is electrostatic potential energy and is thus related to the charge q and voltage v between the. A capacitor is an electrical component that stores charge in an electric field. A capacitor is. Capacitor Stores Charge In The Form Of.
From www.youtube.com
How Capacitors Work? How does a capacitor work? Capacitors Explained Capacitor Stores Charge In The Form Of A capacitor is an electrical component that stores energy in an electric field. It is a passive device that consists of two conductors separated by an insulating material known as a. The energy \(u_c\) stored in a capacitor is electrostatic potential energy and is thus related to the charge q and voltage v between the. Capacitors store energy in the. Capacitor Stores Charge In The Form Of.
From www.slideserve.com
PPT Capacitors PowerPoint Presentation, free download ID2327413 Capacitor Stores Charge In The Form Of Marshall brain & chris pollette. It is a passive device that consists of two conductors separated by an insulating material known as a. Capacitors store energy in the form of an electric field. A capacitor is an electrical component that stores energy in an electric field. You can charge a capacitor simply by wiring it up into an electric circuit.. Capacitor Stores Charge In The Form Of.
From byjus.com
anacitor is charged to store an energy U. The chargingbatteryconnected Capacitor Stores Charge In The Form Of Capacitors store energy in the form of an electric field. The energy \(u_c\) stored in a capacitor is electrostatic potential energy and is thus related to the charge q and voltage v between the. The capacitance of a capacitor is the amount of charge that can be stored per unit voltage. A capacitor is an electrical component that stores energy. Capacitor Stores Charge In The Form Of.
From www.youtube.com
A capacitor of capacitance C is given a charge Q. At `t=0`,it is Capacitor Stores Charge In The Form Of At its most simple, a capacitor can be little more than a pair of metal plates. Marshall brain & chris pollette. A capacitor is an electrical component that stores charge. The energy \(u_c\) stored in a capacitor is electrostatic potential energy and is thus related to the charge q and voltage v between the. Several capacitors, tiny cylindrical electrical components,. Capacitor Stores Charge In The Form Of.
From electronicguidebook.com
Does a capacitor store energy in the form of a field Capacitor Stores Charge In The Form Of A capacitor is an electrical component that stores charge in an electric field. Several capacitors, tiny cylindrical electrical components, are soldered to this motherboard. The energy \(u_c\) stored in a capacitor is electrostatic potential energy and is thus related to the charge q and voltage v between the. When you turn on the power, an electric charge gradually. At its. Capacitor Stores Charge In The Form Of.
From www.gkseries.com
Which capacitor do stores charge electrochemically and electrostatically? Capacitor Stores Charge In The Form Of A capacitor is an electrical component that stores charge. At its most simple, a capacitor can be little more than a pair of metal plates. When you turn on the power, an electric charge gradually. You can charge a capacitor simply by wiring it up into an electric circuit. The energy \(u_c\) stored in a capacitor is electrostatic potential energy. Capacitor Stores Charge In The Form Of.
From byjus.com
How many 1 micro farad capacitors must be connected in parallel to Capacitor Stores Charge In The Form Of At its most simple, a capacitor can be little more than a pair of metal plates. You can charge a capacitor simply by wiring it up into an electric circuit. A capacitor is an electrical component that stores charge in an electric field. Marshall brain & chris pollette. When you turn on the power, an electric charge gradually. The energy. Capacitor Stores Charge In The Form Of.
From control.com
Introduction to Capacitors and Capacitance Basic Direct Current (DC Capacitor Stores Charge In The Form Of A capacitor is an electrical component that stores energy in an electric field. Several capacitors, tiny cylindrical electrical components, are soldered to this motherboard. Capacitors store energy in the form of an electric field. A capacitor is an electrical component that stores charge in an electric field. When you turn on the power, an electric charge gradually. A capacitor is. Capacitor Stores Charge In The Form Of.
From www.youtube.com
How Capacitors Store Electrical Energy YouTube Capacitor Stores Charge In The Form Of When you turn on the power, an electric charge gradually. At its most simple, a capacitor can be little more than a pair of metal plates. Capacitors store energy in the form of an electric field. The energy \(u_c\) stored in a capacitor is electrostatic potential energy and is thus related to the charge q and voltage v between the.. Capacitor Stores Charge In The Form Of.
From robustcircuitdesign.com
Capacitor Impedance Robust Circuit Design Capacitor Stores Charge In The Form Of A capacitor is an electrical component that stores charge in an electric field. Marshall brain & chris pollette. You can charge a capacitor simply by wiring it up into an electric circuit. It is a passive device that consists of two conductors separated by an insulating material known as a. A capacitor is an electrical component that stores charge. The. Capacitor Stores Charge In The Form Of.
From knowledge.sonicelectronix.com
How To Charge A Capacitor Learning Center Sonic Electronix Capacitor Stores Charge In The Form Of The energy \(u_c\) stored in a capacitor is electrostatic potential energy and is thus related to the charge q and voltage v between the. A capacitor is an electrical component that stores charge in an electric field. When you turn on the power, an electric charge gradually. A capacitor is an electrical component that stores charge. A capacitor is an. Capacitor Stores Charge In The Form Of.
From desirae-yersblogmacias.blogspot.com
Energy Stored in a Capacitor Formula Capacitor Stores Charge In The Form Of When you turn on the power, an electric charge gradually. A capacitor is an electrical component that stores charge in an electric field. At its most simple, a capacitor can be little more than a pair of metal plates. You can charge a capacitor simply by wiring it up into an electric circuit. A capacitor is an electrical component that. Capacitor Stores Charge In The Form Of.
From aliceanthop.blogspot.com
☑ Charge On A Capacitor In Series Capacitor Stores Charge In The Form Of It is a passive device that consists of two conductors separated by an insulating material known as a. When you turn on the power, an electric charge gradually. At its most simple, a capacitor can be little more than a pair of metal plates. The capacitance of a capacitor is the amount of charge that can be stored per unit. Capacitor Stores Charge In The Form Of.
From www.slideserve.com
PPT Capacitance PowerPoint Presentation, free download ID711505 Capacitor Stores Charge In The Form Of It is a passive device that consists of two conductors separated by an insulating material known as a. When you turn on the power, an electric charge gradually. The capacitance of a capacitor is the amount of charge that can be stored per unit voltage. A capacitor is an electrical component that stores charge. You can charge a capacitor simply. Capacitor Stores Charge In The Form Of.
From slideplayer.com
Capacitors Part I. ppt download Capacitor Stores Charge In The Form Of A capacitor is an electrical component that stores charge. It is a passive device that consists of two conductors separated by an insulating material known as a. The capacitance of a capacitor is the amount of charge that can be stored per unit voltage. Marshall brain & chris pollette. At its most simple, a capacitor can be little more than. Capacitor Stores Charge In The Form Of.
From www.myshared.ru
Презентация на тему "Capacitors A capacitor is a device for storing Capacitor Stores Charge In The Form Of A capacitor is an electrical component that stores charge. The capacitance of a capacitor is the amount of charge that can be stored per unit voltage. You can charge a capacitor simply by wiring it up into an electric circuit. A capacitor is an electrical component that stores charge in an electric field. The energy \(u_c\) stored in a capacitor. Capacitor Stores Charge In The Form Of.
From eduinput.com
Energy Stored in a Capacitor Charging and Discharging of a Capacitor Capacitor Stores Charge In The Form Of The capacitance of a capacitor is the amount of charge that can be stored per unit voltage. At its most simple, a capacitor can be little more than a pair of metal plates. Several capacitors, tiny cylindrical electrical components, are soldered to this motherboard. The energy \(u_c\) stored in a capacitor is electrostatic potential energy and is thus related to. Capacitor Stores Charge In The Form Of.
From dokumen.tips
(PPT) Capacitors Review A capacitor is a device that stores electrical Capacitor Stores Charge In The Form Of Capacitors store energy in the form of an electric field. When you turn on the power, an electric charge gradually. Marshall brain & chris pollette. It is a passive device that consists of two conductors separated by an insulating material known as a. A capacitor is an electrical component that stores charge. You can charge a capacitor simply by wiring. Capacitor Stores Charge In The Form Of.
From electronicguidebook.com
Does a capacitor store energy in the form of a field Capacitor Stores Charge In The Form Of Capacitors store energy in the form of an electric field. The capacitance of a capacitor is the amount of charge that can be stored per unit voltage. When you turn on the power, an electric charge gradually. It is a passive device that consists of two conductors separated by an insulating material known as a. A capacitor is an electrical. Capacitor Stores Charge In The Form Of.
From byjus.com
An uncharged capacitor is fully charged with a battery . the ratio of Capacitor Stores Charge In The Form Of You can charge a capacitor simply by wiring it up into an electric circuit. At its most simple, a capacitor can be little more than a pair of metal plates. Marshall brain & chris pollette. Several capacitors, tiny cylindrical electrical components, are soldered to this motherboard. It is a passive device that consists of two conductors separated by an insulating. Capacitor Stores Charge In The Form Of.
From www.numerade.com
SOLVED A capacitor stores charge Q at a potential difference ΔV. What Capacitor Stores Charge In The Form Of The capacitance of a capacitor is the amount of charge that can be stored per unit voltage. A capacitor is an electrical component that stores energy in an electric field. It is a passive device that consists of two conductors separated by an insulating material known as a. The energy \(u_c\) stored in a capacitor is electrostatic potential energy and. Capacitor Stores Charge In The Form Of.