What Is Steel Wire Made Of . This means that they can be easily stretched. steel wire is manufactured to different levels of strength, elasticity and thickness for different purposes. Metals have a high melting point and are usually a solid at room temperature. wires are pieces of metal that transport electricity. how is steel wire made? They are usually flexible which makes them easier to use. Wire rod is the coiled product of a rod mill with a diameter range of 0.218 to 0.813 inch (5.5 to 20.6 mm). what are wires made out of? the production of micro steel fibres was divided into seven subprocesses: wire, thread or slender rod, usually very flexible and circular in cross section, made from various metals and alloys, including iron,. Most coiled wire rods are manufactured with the expectation that they are subsequently cold drawn to wire, with or without an intermediate heat treatment. Some of the metals used include steel, copper, aluminum, and silver. Electric steel production, hot rolling, descaling, dry. These electrical conductors are key to all. Wires are made from metals.
from www.singteckleong.com
steel wire is manufactured to different levels of strength, elasticity and thickness for different purposes. how is steel wire made? This means that they can be easily stretched. Electric steel production, hot rolling, descaling, dry. Some of the metals used include steel, copper, aluminum, and silver. We use these materials to make wires because of their properties. They are usually flexible which makes them easier to use. what are wires made out of? Most coiled wire rods are manufactured with the expectation that they are subsequently cold drawn to wire, with or without an intermediate heat treatment. Wire rod is the coiled product of a rod mill with a diameter range of 0.218 to 0.813 inch (5.5 to 20.6 mm).
Common Steel Wire Rope Construction Types
What Is Steel Wire Made Of Electric steel production, hot rolling, descaling, dry. They are usually flexible which makes them easier to use. wires are pieces of metal that transport electricity. These electrical conductors are key to all. We use these materials to make wires because of their properties. Wires are made from metals. Most coiled wire rods are manufactured with the expectation that they are subsequently cold drawn to wire, with or without an intermediate heat treatment. the production of micro steel fibres was divided into seven subprocesses: Metals have a high melting point and are usually a solid at room temperature. Electric steel production, hot rolling, descaling, dry. wire, thread or slender rod, usually very flexible and circular in cross section, made from various metals and alloys, including iron,. This means that they can be easily stretched. what are wires made out of? Some of the metals used include steel, copper, aluminum, and silver. how is steel wire made? steel wire is manufactured to different levels of strength, elasticity and thickness for different purposes.
From www.iqsdirectory.com
Wire Rope What Is It? How Is It Made? Uses, Metals What Is Steel Wire Made Of We use these materials to make wires because of their properties. Some of the metals used include steel, copper, aluminum, and silver. They are usually flexible which makes them easier to use. what are wires made out of? wires are pieces of metal that transport electricity. the production of micro steel fibres was divided into seven subprocesses:. What Is Steel Wire Made Of.
From www.alibaba.com
Metal Galvanized Wire 8 Gauge Galvanized Steel Iron Wire Buy 14 Gauge What Is Steel Wire Made Of wire, thread or slender rod, usually very flexible and circular in cross section, made from various metals and alloys, including iron,. Metals have a high melting point and are usually a solid at room temperature. This means that they can be easily stretched. Wire rod is the coiled product of a rod mill with a diameter range of 0.218. What Is Steel Wire Made Of.
From metalexponents.com
6 Common Uses of Steel Wire What Is Steel Wire Made Of wire, thread or slender rod, usually very flexible and circular in cross section, made from various metals and alloys, including iron,. wires are pieces of metal that transport electricity. Some of the metals used include steel, copper, aluminum, and silver. They are usually flexible which makes them easier to use. the production of micro steel fibres was. What Is Steel Wire Made Of.
From www.electronicpro.co.za
3mm Stainless Steel Wire Rope Tensile Diameter Structure Cable What Is Steel Wire Made Of They are usually flexible which makes them easier to use. This means that they can be easily stretched. how is steel wire made? the production of micro steel fibres was divided into seven subprocesses: Wires are made from metals. Some of the metals used include steel, copper, aluminum, and silver. Electric steel production, hot rolling, descaling, dry. We. What Is Steel Wire Made Of.
From asianmetallurgy.com
What is Steel Wire Rod? What Is Steel Wire Made Of Wire rod is the coiled product of a rod mill with a diameter range of 0.218 to 0.813 inch (5.5 to 20.6 mm). Metals have a high melting point and are usually a solid at room temperature. steel wire is manufactured to different levels of strength, elasticity and thickness for different purposes. Some of the metals used include steel,. What Is Steel Wire Made Of.
From www.numerade.com
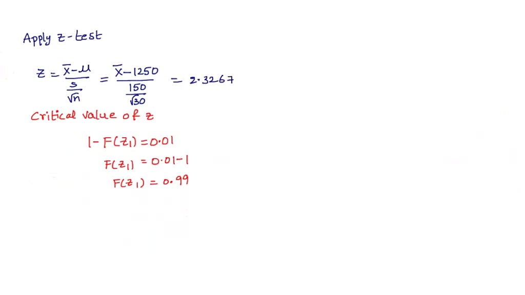
SOLVED The strength of steel wire made by an existing process is What Is Steel Wire Made Of wire, thread or slender rod, usually very flexible and circular in cross section, made from various metals and alloys, including iron,. These electrical conductors are key to all. what are wires made out of? They are usually flexible which makes them easier to use. Metals have a high melting point and are usually a solid at room temperature.. What Is Steel Wire Made Of.
From calfinewire.com
Stainless Steel Wire On California Fine Wire Co. What Is Steel Wire Made Of Wire rod is the coiled product of a rod mill with a diameter range of 0.218 to 0.813 inch (5.5 to 20.6 mm). Metals have a high melting point and are usually a solid at room temperature. This means that they can be easily stretched. how is steel wire made? Most coiled wire rods are manufactured with the expectation. What Is Steel Wire Made Of.
From www.bsstainless.com
Stainless Steel Wire — Flawless Formability What Is Steel Wire Made Of Most coiled wire rods are manufactured with the expectation that they are subsequently cold drawn to wire, with or without an intermediate heat treatment. We use these materials to make wires because of their properties. wires are pieces of metal that transport electricity. what are wires made out of? how is steel wire made? They are usually. What Is Steel Wire Made Of.
From www.wnmesh.com
Stainless Steel Wire Anping County Wennian Wire Mesh Products Co., Ltd. What Is Steel Wire Made Of steel wire is manufactured to different levels of strength, elasticity and thickness for different purposes. wire, thread or slender rod, usually very flexible and circular in cross section, made from various metals and alloys, including iron,. Electric steel production, hot rolling, descaling, dry. This means that they can be easily stretched. These electrical conductors are key to all.. What Is Steel Wire Made Of.
From www.tsingsteels.com
Stainless Steel wireStainless SteelTsingshan Steel Co., Ltd. What Is Steel Wire Made Of the production of micro steel fibres was divided into seven subprocesses: wires are pieces of metal that transport electricity. steel wire is manufactured to different levels of strength, elasticity and thickness for different purposes. Metals have a high melting point and are usually a solid at room temperature. Some of the metals used include steel, copper, aluminum,. What Is Steel Wire Made Of.
From engineeringexploration.com
How is stainless steel made? Engineering Exploration What Is Steel Wire Made Of Some of the metals used include steel, copper, aluminum, and silver. Metals have a high melting point and are usually a solid at room temperature. wires are pieces of metal that transport electricity. These electrical conductors are key to all. what are wires made out of? steel wire is manufactured to different levels of strength, elasticity and. What Is Steel Wire Made Of.
From en.wikipedia.org
Wire rope Wikipedia What Is Steel Wire Made Of wire, thread or slender rod, usually very flexible and circular in cross section, made from various metals and alloys, including iron,. what are wires made out of? wires are pieces of metal that transport electricity. the production of micro steel fibres was divided into seven subprocesses: These electrical conductors are key to all. Some of the. What Is Steel Wire Made Of.
From www.numerade.com
SOLVED A strength of steel wire made by an existing process is What Is Steel Wire Made Of the production of micro steel fibres was divided into seven subprocesses: Most coiled wire rods are manufactured with the expectation that they are subsequently cold drawn to wire, with or without an intermediate heat treatment. what are wires made out of? Some of the metals used include steel, copper, aluminum, and silver. Electric steel production, hot rolling, descaling,. What Is Steel Wire Made Of.
From www.groupnirmal.com
Different Types of Stainless Steel Wires and Their Uses Group Nirmal What Is Steel Wire Made Of steel wire is manufactured to different levels of strength, elasticity and thickness for different purposes. This means that they can be easily stretched. Some of the metals used include steel, copper, aluminum, and silver. how is steel wire made? Electric steel production, hot rolling, descaling, dry. Most coiled wire rods are manufactured with the expectation that they are. What Is Steel Wire Made Of.
From www.homedepot.com
OOK 100 ft. 75 lb. 14Gauge Galvanized Steel Wire 50142 The Home Depot What Is Steel Wire Made Of Wire rod is the coiled product of a rod mill with a diameter range of 0.218 to 0.813 inch (5.5 to 20.6 mm). steel wire is manufactured to different levels of strength, elasticity and thickness for different purposes. how is steel wire made? This means that they can be easily stretched. what are wires made out of?. What Is Steel Wire Made Of.
From www.kingsteelcorp.com
Steel Wire Rod Products Hot Rolled Rod & Wire King Steel Corp What Is Steel Wire Made Of These electrical conductors are key to all. how is steel wire made? Most coiled wire rods are manufactured with the expectation that they are subsequently cold drawn to wire, with or without an intermediate heat treatment. what are wires made out of? We use these materials to make wires because of their properties. Electric steel production, hot rolling,. What Is Steel Wire Made Of.
From www.iqsdirectory.com
Copper Metal Types, Uses, Features and Benefits What Is Steel Wire Made Of This means that they can be easily stretched. Metals have a high melting point and are usually a solid at room temperature. These electrical conductors are key to all. wires are pieces of metal that transport electricity. steel wire is manufactured to different levels of strength, elasticity and thickness for different purposes. Electric steel production, hot rolling, descaling,. What Is Steel Wire Made Of.
From arijco.com
What is Steel Wire Rod? What Is Steel Wire Made Of Wire rod is the coiled product of a rod mill with a diameter range of 0.218 to 0.813 inch (5.5 to 20.6 mm). We use these materials to make wires because of their properties. Wires are made from metals. Most coiled wire rods are manufactured with the expectation that they are subsequently cold drawn to wire, with or without an. What Is Steel Wire Made Of.
From metalexponents.com
6 Common Uses of Steel Wire What Is Steel Wire Made Of Wires are made from metals. This means that they can be easily stretched. what are wires made out of? how is steel wire made? wire, thread or slender rod, usually very flexible and circular in cross section, made from various metals and alloys, including iron,. Electric steel production, hot rolling, descaling, dry. Some of the metals used. What Is Steel Wire Made Of.
From www.frontiersuniversal.com
Different Grades of Stainless Steel Wire and Their Uses Frontiers What Is Steel Wire Made Of Electric steel production, hot rolling, descaling, dry. wire, thread or slender rod, usually very flexible and circular in cross section, made from various metals and alloys, including iron,. the production of micro steel fibres was divided into seven subprocesses: Some of the metals used include steel, copper, aluminum, and silver. how is steel wire made? We use. What Is Steel Wire Made Of.
From www.tradekorea.com
stainless steel wire tradekorea What Is Steel Wire Made Of wires are pieces of metal that transport electricity. what are wires made out of? Some of the metals used include steel, copper, aluminum, and silver. They are usually flexible which makes them easier to use. Wires are made from metals. how is steel wire made? Wire rod is the coiled product of a rod mill with a. What Is Steel Wire Made Of.
From blog.thepipingmart.com
Properties of Carbon Steel Wire What Is Steel Wire Made Of how is steel wire made? They are usually flexible which makes them easier to use. what are wires made out of? steel wire is manufactured to different levels of strength, elasticity and thickness for different purposes. Wires are made from metals. We use these materials to make wires because of their properties. wire, thread or slender. What Is Steel Wire Made Of.
From www.sdzhongaosteel.com
Stainless steel wire Manufacturers China Stainless steel wire Factory What Is Steel Wire Made Of what are wires made out of? Wire rod is the coiled product of a rod mill with a diameter range of 0.218 to 0.813 inch (5.5 to 20.6 mm). These electrical conductors are key to all. Some of the metals used include steel, copper, aluminum, and silver. Wires are made from metals. steel wire is manufactured to different. What Is Steel Wire Made Of.
From studylib.net
STEEL WIRE MANUFACTURING What Is Steel Wire Made Of steel wire is manufactured to different levels of strength, elasticity and thickness for different purposes. Wire rod is the coiled product of a rod mill with a diameter range of 0.218 to 0.813 inch (5.5 to 20.6 mm). how is steel wire made? They are usually flexible which makes them easier to use. Wires are made from metals.. What Is Steel Wire Made Of.
From blog.tatanexarc.com
Steel wires Types, applications, benefits and more What Is Steel Wire Made Of Most coiled wire rods are manufactured with the expectation that they are subsequently cold drawn to wire, with or without an intermediate heat treatment. Electric steel production, hot rolling, descaling, dry. These electrical conductors are key to all. how is steel wire made? what are wires made out of? steel wire is manufactured to different levels of. What Is Steel Wire Made Of.
From www.wire-ropesling.com
EN 123855 Standard Steel Wire Rope 6x19 With High Tensile Strength What Is Steel Wire Made Of Electric steel production, hot rolling, descaling, dry. what are wires made out of? the production of micro steel fibres was divided into seven subprocesses: These electrical conductors are key to all. Most coiled wire rods are manufactured with the expectation that they are subsequently cold drawn to wire, with or without an intermediate heat treatment. steel wire. What Is Steel Wire Made Of.
From reibus.com
How is Steel Wire Made? Reibus International What Is Steel Wire Made Of They are usually flexible which makes them easier to use. wire, thread or slender rod, usually very flexible and circular in cross section, made from various metals and alloys, including iron,. This means that they can be easily stretched. Electric steel production, hot rolling, descaling, dry. Metals have a high melting point and are usually a solid at room. What Is Steel Wire Made Of.
From blog.thepipingmart.com
How to Join Stainless Steel Wire A StepByStep Guide What Is Steel Wire Made Of wires are pieces of metal that transport electricity. Some of the metals used include steel, copper, aluminum, and silver. They are usually flexible which makes them easier to use. These electrical conductors are key to all. Wire rod is the coiled product of a rod mill with a diameter range of 0.218 to 0.813 inch (5.5 to 20.6 mm).. What Is Steel Wire Made Of.
From www.homedepot.com
OOK 14Gauge x 100 ft. Galvanized Steel Wire50142 The Home Depot What Is Steel Wire Made Of Metals have a high melting point and are usually a solid at room temperature. This means that they can be easily stretched. Wire rod is the coiled product of a rod mill with a diameter range of 0.218 to 0.813 inch (5.5 to 20.6 mm). wires are pieces of metal that transport electricity. steel wire is manufactured to. What Is Steel Wire Made Of.
From www.singteckleong.com
Common Steel Wire Rope Construction Types What Is Steel Wire Made Of They are usually flexible which makes them easier to use. wires are pieces of metal that transport electricity. Most coiled wire rods are manufactured with the expectation that they are subsequently cold drawn to wire, with or without an intermediate heat treatment. what are wires made out of? the production of micro steel fibres was divided into. What Is Steel Wire Made Of.
From www.homedepot.com
OOK 110 ft. 25 lb. Galvanized Steel Wire 50131 The Home Depot What Is Steel Wire Made Of the production of micro steel fibres was divided into seven subprocesses: wires are pieces of metal that transport electricity. how is steel wire made? These electrical conductors are key to all. We use these materials to make wires because of their properties. what are wires made out of? Most coiled wire rods are manufactured with the. What Is Steel Wire Made Of.
From mwswire.com
Stainless Steel Wire MWS Wire What Is Steel Wire Made Of Most coiled wire rods are manufactured with the expectation that they are subsequently cold drawn to wire, with or without an intermediate heat treatment. Wires are made from metals. the production of micro steel fibres was divided into seven subprocesses: Metals have a high melting point and are usually a solid at room temperature. wires are pieces of. What Is Steel Wire Made Of.
From www.linkedin.com
Industrial Steel Wire Classification, Types, Application, and More What Is Steel Wire Made Of Electric steel production, hot rolling, descaling, dry. Wire rod is the coiled product of a rod mill with a diameter range of 0.218 to 0.813 inch (5.5 to 20.6 mm). These electrical conductors are key to all. steel wire is manufactured to different levels of strength, elasticity and thickness for different purposes. Metals have a high melting point and. What Is Steel Wire Made Of.
From alexnld.com
1.5mm Stainless Steel Wire Rope Tensile Diameter Structure Cable What Is Steel Wire Made Of steel wire is manufactured to different levels of strength, elasticity and thickness for different purposes. Some of the metals used include steel, copper, aluminum, and silver. Wires are made from metals. the production of micro steel fibres was divided into seven subprocesses: Wire rod is the coiled product of a rod mill with a diameter range of 0.218. What Is Steel Wire Made Of.
From www.tisco-tech.com
Galvanzied Steel WireJiangsu Tisco Technology Co., Ltd. What Is Steel Wire Made Of Metals have a high melting point and are usually a solid at room temperature. Most coiled wire rods are manufactured with the expectation that they are subsequently cold drawn to wire, with or without an intermediate heat treatment. Wire rod is the coiled product of a rod mill with a diameter range of 0.218 to 0.813 inch (5.5 to 20.6. What Is Steel Wire Made Of.