South Carolina Property Disclosure Law . South carolina requires a seller of residential property to disclose known defects, damages, and other issues to a potential buyer prior to. The south carolina residential property condition disclosure act, the “act,” is a statute that requires that every seller of a residence must complete a statement. State of south carolina residential property condition disclosure statement the south carolina code of laws (title 27,. The disclosure statement must include, but is not limited to, the following characteristics and conditions of the property: South carolina requires sellers to disclose basic information, like how long you've owned the property, plus detailed specifics. The south carolina code of laws describes the residential property condition disclosure statement requirements and exemptions at §.
from www.templateroller.com
South carolina requires a seller of residential property to disclose known defects, damages, and other issues to a potential buyer prior to. The disclosure statement must include, but is not limited to, the following characteristics and conditions of the property: The south carolina code of laws describes the residential property condition disclosure statement requirements and exemptions at §. State of south carolina residential property condition disclosure statement the south carolina code of laws (title 27,. The south carolina residential property condition disclosure act, the “act,” is a statute that requires that every seller of a residence must complete a statement. South carolina requires sellers to disclose basic information, like how long you've owned the property, plus detailed specifics.
South Carolina Residential Property Condition Disclosure Statement
South Carolina Property Disclosure Law The south carolina code of laws describes the residential property condition disclosure statement requirements and exemptions at §. The disclosure statement must include, but is not limited to, the following characteristics and conditions of the property: The south carolina code of laws describes the residential property condition disclosure statement requirements and exemptions at §. South carolina requires sellers to disclose basic information, like how long you've owned the property, plus detailed specifics. State of south carolina residential property condition disclosure statement the south carolina code of laws (title 27,. The south carolina residential property condition disclosure act, the “act,” is a statute that requires that every seller of a residence must complete a statement. South carolina requires a seller of residential property to disclose known defects, damages, and other issues to a potential buyer prior to.
From www.templateroller.com
South Carolina Residential Property Condition Disclosure Statement South Carolina Property Disclosure Law The south carolina code of laws describes the residential property condition disclosure statement requirements and exemptions at §. The disclosure statement must include, but is not limited to, the following characteristics and conditions of the property: The south carolina residential property condition disclosure act, the “act,” is a statute that requires that every seller of a residence must complete a. South Carolina Property Disclosure Law.
From www.investopedia.com
Disclosure Statement Definition South Carolina Property Disclosure Law South carolina requires a seller of residential property to disclose known defects, damages, and other issues to a potential buyer prior to. The south carolina code of laws describes the residential property condition disclosure statement requirements and exemptions at §. South carolina requires sellers to disclose basic information, like how long you've owned the property, plus detailed specifics. The disclosure. South Carolina Property Disclosure Law.
From www.uslegalforms.com
South Carolina Residential Real Estate Sales Disclosure Statement Sc South Carolina Property Disclosure Law The south carolina residential property condition disclosure act, the “act,” is a statute that requires that every seller of a residence must complete a statement. State of south carolina residential property condition disclosure statement the south carolina code of laws (title 27,. South carolina requires sellers to disclose basic information, like how long you've owned the property, plus detailed specifics.. South Carolina Property Disclosure Law.
From www.pdffiller.com
Fillable Online south carolina disclosure of ownership form Fax Email South Carolina Property Disclosure Law The south carolina code of laws describes the residential property condition disclosure statement requirements and exemptions at §. The disclosure statement must include, but is not limited to, the following characteristics and conditions of the property: The south carolina residential property condition disclosure act, the “act,” is a statute that requires that every seller of a residence must complete a. South Carolina Property Disclosure Law.
From www.templateroller.com
South Carolina Residential Property Condition Disclosure Statement South Carolina Property Disclosure Law The south carolina code of laws describes the residential property condition disclosure statement requirements and exemptions at §. The disclosure statement must include, but is not limited to, the following characteristics and conditions of the property: South carolina requires sellers to disclose basic information, like how long you've owned the property, plus detailed specifics. State of south carolina residential property. South Carolina Property Disclosure Law.
From esign.com
Free South Carolina Property Disclosure Statement PDF South Carolina Property Disclosure Law South carolina requires sellers to disclose basic information, like how long you've owned the property, plus detailed specifics. The south carolina residential property condition disclosure act, the “act,” is a statute that requires that every seller of a residence must complete a statement. State of south carolina residential property condition disclosure statement the south carolina code of laws (title 27,.. South Carolina Property Disclosure Law.
From www.uslegalforms.com
South Carolina Residential Real Estate Sales Disclosure Statement Sc South Carolina Property Disclosure Law South carolina requires sellers to disclose basic information, like how long you've owned the property, plus detailed specifics. The south carolina code of laws describes the residential property condition disclosure statement requirements and exemptions at §. The south carolina residential property condition disclosure act, the “act,” is a statute that requires that every seller of a residence must complete a. South Carolina Property Disclosure Law.
From templates.legal
South Carolina Purchase Agreement Templates (Free) [Word, PDF, ODT] South Carolina Property Disclosure Law The disclosure statement must include, but is not limited to, the following characteristics and conditions of the property: South carolina requires sellers to disclose basic information, like how long you've owned the property, plus detailed specifics. The south carolina residential property condition disclosure act, the “act,” is a statute that requires that every seller of a residence must complete a. South Carolina Property Disclosure Law.
From study.com
Quiz & Worksheet South Carolina Real Estate Disclosures South Carolina Property Disclosure Law State of south carolina residential property condition disclosure statement the south carolina code of laws (title 27,. The disclosure statement must include, but is not limited to, the following characteristics and conditions of the property: South carolina requires sellers to disclose basic information, like how long you've owned the property, plus detailed specifics. South carolina requires a seller of residential. South Carolina Property Disclosure Law.
From www.templateroller.com
South Carolina Residential Property Condition Disclosure Statement South Carolina Property Disclosure Law South carolina requires sellers to disclose basic information, like how long you've owned the property, plus detailed specifics. South carolina requires a seller of residential property to disclose known defects, damages, and other issues to a potential buyer prior to. The south carolina residential property condition disclosure act, the “act,” is a statute that requires that every seller of a. South Carolina Property Disclosure Law.
From www.uslegalforms.com
South Carolina Residential Real Estate Sales Disclosure Statement Sc South Carolina Property Disclosure Law The south carolina residential property condition disclosure act, the “act,” is a statute that requires that every seller of a residence must complete a statement. The south carolina code of laws describes the residential property condition disclosure statement requirements and exemptions at §. South carolina requires a seller of residential property to disclose known defects, damages, and other issues to. South Carolina Property Disclosure Law.
From www.uslegalforms.com
South Carolina Residential Real Estate Sales Disclosure Statement Sc South Carolina Property Disclosure Law The disclosure statement must include, but is not limited to, the following characteristics and conditions of the property: The south carolina residential property condition disclosure act, the “act,” is a statute that requires that every seller of a residence must complete a statement. The south carolina code of laws describes the residential property condition disclosure statement requirements and exemptions at. South Carolina Property Disclosure Law.
From freeforms.com
Free South Carolina Real Estate Purchase Agreement Template PDF WORD South Carolina Property Disclosure Law State of south carolina residential property condition disclosure statement the south carolina code of laws (title 27,. The disclosure statement must include, but is not limited to, the following characteristics and conditions of the property: South carolina requires sellers to disclose basic information, like how long you've owned the property, plus detailed specifics. The south carolina residential property condition disclosure. South Carolina Property Disclosure Law.
From listwithclever.com
Disclosure Requirements for Selling South Carolina Real Estate South Carolina Property Disclosure Law South carolina requires sellers to disclose basic information, like how long you've owned the property, plus detailed specifics. The south carolina code of laws describes the residential property condition disclosure statement requirements and exemptions at §. The south carolina residential property condition disclosure act, the “act,” is a statute that requires that every seller of a residence must complete a. South Carolina Property Disclosure Law.
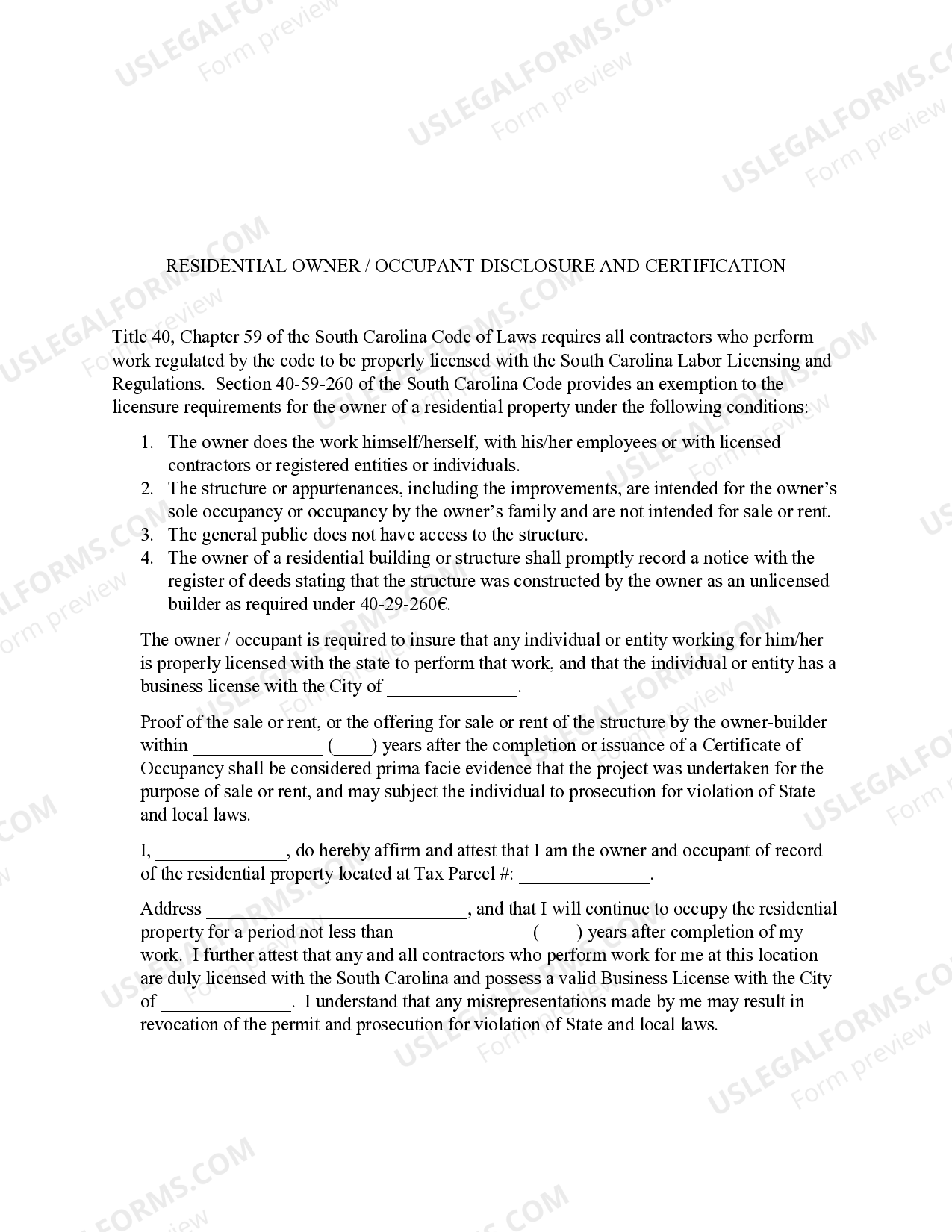
From www.uslegalforms.com
South Carolina Residential Owner / Occupant Disclosure and South Carolina Property Disclosure Law State of south carolina residential property condition disclosure statement the south carolina code of laws (title 27,. South carolina requires sellers to disclose basic information, like how long you've owned the property, plus detailed specifics. The south carolina code of laws describes the residential property condition disclosure statement requirements and exemptions at §. The disclosure statement must include, but is. South Carolina Property Disclosure Law.
From www.templateroller.com
South Carolina Residential Property Condition Disclosure Statement South Carolina Property Disclosure Law The south carolina code of laws describes the residential property condition disclosure statement requirements and exemptions at §. State of south carolina residential property condition disclosure statement the south carolina code of laws (title 27,. South carolina requires sellers to disclose basic information, like how long you've owned the property, plus detailed specifics. The disclosure statement must include, but is. South Carolina Property Disclosure Law.
From www.templateroller.com
South Carolina Residential Property Condition Disclosure Statement South Carolina Property Disclosure Law South carolina requires a seller of residential property to disclose known defects, damages, and other issues to a potential buyer prior to. The disclosure statement must include, but is not limited to, the following characteristics and conditions of the property: South carolina requires sellers to disclose basic information, like how long you've owned the property, plus detailed specifics. State of. South Carolina Property Disclosure Law.
From www.templateroller.com
South Carolina Residential Property Condition Disclosure Statement South Carolina Property Disclosure Law The south carolina code of laws describes the residential property condition disclosure statement requirements and exemptions at §. State of south carolina residential property condition disclosure statement the south carolina code of laws (title 27,. South carolina requires sellers to disclose basic information, like how long you've owned the property, plus detailed specifics. The south carolina residential property condition disclosure. South Carolina Property Disclosure Law.
From www.signnow.com
South Carolina Real Estate Agency Disclosure Charleston Form Fill Out South Carolina Property Disclosure Law The south carolina code of laws describes the residential property condition disclosure statement requirements and exemptions at §. The south carolina residential property condition disclosure act, the “act,” is a statute that requires that every seller of a residence must complete a statement. The disclosure statement must include, but is not limited to, the following characteristics and conditions of the. South Carolina Property Disclosure Law.
From rosenhagood.com
Understanding South Carolina Residential Real Estate Closing South Carolina Property Disclosure Law The disclosure statement must include, but is not limited to, the following characteristics and conditions of the property: The south carolina residential property condition disclosure act, the “act,” is a statute that requires that every seller of a residence must complete a statement. The south carolina code of laws describes the residential property condition disclosure statement requirements and exemptions at. South Carolina Property Disclosure Law.
From eforms.com
Free Property Disclosure Statement PDF Word eForms South Carolina Property Disclosure Law South carolina requires sellers to disclose basic information, like how long you've owned the property, plus detailed specifics. The south carolina residential property condition disclosure act, the “act,” is a statute that requires that every seller of a residence must complete a statement. The disclosure statement must include, but is not limited to, the following characteristics and conditions of the. South Carolina Property Disclosure Law.
From www.uslegalforms.com
North Carolina Residential Real Estate Sales Disclosure Statement South Carolina Property Disclosure Law The south carolina code of laws describes the residential property condition disclosure statement requirements and exemptions at §. South carolina requires sellers to disclose basic information, like how long you've owned the property, plus detailed specifics. South carolina requires a seller of residential property to disclose known defects, damages, and other issues to a potential buyer prior to. The disclosure. South Carolina Property Disclosure Law.
From www.handsomeproperties.com
South Carolina Disclosure of Brokerage Handsome Properties South Carolina Property Disclosure Law The disclosure statement must include, but is not limited to, the following characteristics and conditions of the property: The south carolina residential property condition disclosure act, the “act,” is a statute that requires that every seller of a residence must complete a statement. South carolina requires a seller of residential property to disclose known defects, damages, and other issues to. South Carolina Property Disclosure Law.
From www.templateroller.com
South Carolina Residential Property Condition Disclosure Statement South Carolina Property Disclosure Law South carolina requires sellers to disclose basic information, like how long you've owned the property, plus detailed specifics. The south carolina code of laws describes the residential property condition disclosure statement requirements and exemptions at §. South carolina requires a seller of residential property to disclose known defects, damages, and other issues to a potential buyer prior to. The disclosure. South Carolina Property Disclosure Law.
From www.templateroller.com
South Carolina Residential Property Condition Disclosure Statement South Carolina Property Disclosure Law State of south carolina residential property condition disclosure statement the south carolina code of laws (title 27,. The disclosure statement must include, but is not limited to, the following characteristics and conditions of the property: South carolina requires sellers to disclose basic information, like how long you've owned the property, plus detailed specifics. The south carolina code of laws describes. South Carolina Property Disclosure Law.
From esign.com
Free South Carolina Property Management Agreement PDF Word South Carolina Property Disclosure Law The south carolina residential property condition disclosure act, the “act,” is a statute that requires that every seller of a residence must complete a statement. South carolina requires sellers to disclose basic information, like how long you've owned the property, plus detailed specifics. The disclosure statement must include, but is not limited to, the following characteristics and conditions of the. South Carolina Property Disclosure Law.
From nap.nationalacademies.org
APPENDIX A REAL ESTATE FAIR DISCLOSURE LAW Fair Disclosure and South Carolina Property Disclosure Law The south carolina residential property condition disclosure act, the “act,” is a statute that requires that every seller of a residence must complete a statement. The disclosure statement must include, but is not limited to, the following characteristics and conditions of the property: State of south carolina residential property condition disclosure statement the south carolina code of laws (title 27,.. South Carolina Property Disclosure Law.
From www.handsomeproperties.com
South Carolina Disclosure of Brokerage Handsome Properties South Carolina Property Disclosure Law The disclosure statement must include, but is not limited to, the following characteristics and conditions of the property: The south carolina code of laws describes the residential property condition disclosure statement requirements and exemptions at §. The south carolina residential property condition disclosure act, the “act,” is a statute that requires that every seller of a residence must complete a. South Carolina Property Disclosure Law.
From www.youtube.com
The New South Carolina Property Condition Disclosure Statement Coming South Carolina Property Disclosure Law The south carolina code of laws describes the residential property condition disclosure statement requirements and exemptions at §. State of south carolina residential property condition disclosure statement the south carolina code of laws (title 27,. South carolina requires a seller of residential property to disclose known defects, damages, and other issues to a potential buyer prior to. The south carolina. South Carolina Property Disclosure Law.
From study.com
Quiz & Worksheet South Carolina Residential Property Condition South Carolina Property Disclosure Law The disclosure statement must include, but is not limited to, the following characteristics and conditions of the property: South carolina requires a seller of residential property to disclose known defects, damages, and other issues to a potential buyer prior to. The south carolina code of laws describes the residential property condition disclosure statement requirements and exemptions at §. South carolina. South Carolina Property Disclosure Law.
From www.uslegalforms.com
South Carolina Closing Statement Closing Disclosure US Legal Forms South Carolina Property Disclosure Law State of south carolina residential property condition disclosure statement the south carolina code of laws (title 27,. The disclosure statement must include, but is not limited to, the following characteristics and conditions of the property: South carolina requires sellers to disclose basic information, like how long you've owned the property, plus detailed specifics. The south carolina code of laws describes. South Carolina Property Disclosure Law.
From www.templateroller.com
South Carolina Residential Property Condition Disclosure Statement South Carolina Property Disclosure Law The disclosure statement must include, but is not limited to, the following characteristics and conditions of the property: South carolina requires sellers to disclose basic information, like how long you've owned the property, plus detailed specifics. South carolina requires a seller of residential property to disclose known defects, damages, and other issues to a potential buyer prior to. The south. South Carolina Property Disclosure Law.
From www.templateroller.com
South Carolina Residential Property Condition Disclosure Statement South Carolina Property Disclosure Law South carolina requires a seller of residential property to disclose known defects, damages, and other issues to a potential buyer prior to. The disclosure statement must include, but is not limited to, the following characteristics and conditions of the property: The south carolina residential property condition disclosure act, the “act,” is a statute that requires that every seller of a. South Carolina Property Disclosure Law.
From www.templateroller.com
South Carolina Residential Property Condition Disclosure Statement South Carolina Property Disclosure Law The disclosure statement must include, but is not limited to, the following characteristics and conditions of the property: The south carolina code of laws describes the residential property condition disclosure statement requirements and exemptions at §. South carolina requires a seller of residential property to disclose known defects, damages, and other issues to a potential buyer prior to. South carolina. South Carolina Property Disclosure Law.
From esign.com
Free South Carolina Real Estate Listing Agreement PDF Word South Carolina Property Disclosure Law The disclosure statement must include, but is not limited to, the following characteristics and conditions of the property: South carolina requires a seller of residential property to disclose known defects, damages, and other issues to a potential buyer prior to. The south carolina code of laws describes the residential property condition disclosure statement requirements and exemptions at §. State of. South Carolina Property Disclosure Law.