F(X) Dot G(X) . Evaluate f (2x) f (2 x) by substituting in the value of g g into f f. The notation $f \cdot g$ means that for every $x$ the function is $$ (f \cdot g)(x) = f(x) \cdot g(x) $$ which is pointwise multiplication. A function basically relates an input to an output, there’s an input, a relationship and an output. This time, we plugged a. Previously, we'd plugged a number into g(x), found a new value, plugged that value into f (x), and simplified the result. In this example, both functions had domains of all. The composite of two functions f(x) and g(x) must abide by the domain restrictions of f(x) and g(x).
from www.teachoo.com
In this example, both functions had domains of all. Evaluate f (2x) f (2 x) by substituting in the value of g g into f f. The composite of two functions f(x) and g(x) must abide by the domain restrictions of f(x) and g(x). This time, we plugged a. A function basically relates an input to an output, there’s an input, a relationship and an output. The notation $f \cdot g$ means that for every $x$ the function is $$ (f \cdot g)(x) = f(x) \cdot g(x) $$ which is pointwise multiplication. Previously, we'd plugged a number into g(x), found a new value, plugged that value into f (x), and simplified the result.
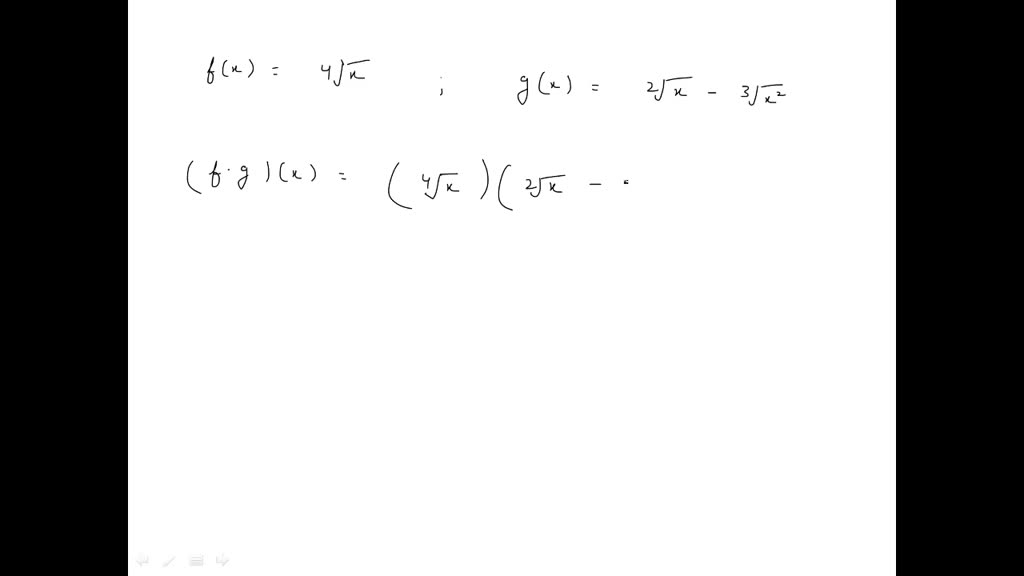
Example 17 Let f(x) = root x, g(x) = x. Find f + g, fg, f/g
F(X) Dot G(X) Evaluate f (2x) f (2 x) by substituting in the value of g g into f f. The notation $f \cdot g$ means that for every $x$ the function is $$ (f \cdot g)(x) = f(x) \cdot g(x) $$ which is pointwise multiplication. In this example, both functions had domains of all. The composite of two functions f(x) and g(x) must abide by the domain restrictions of f(x) and g(x). Evaluate f (2x) f (2 x) by substituting in the value of g g into f f. This time, we plugged a. A function basically relates an input to an output, there’s an input, a relationship and an output. Previously, we'd plugged a number into g(x), found a new value, plugged that value into f (x), and simplified the result.
From www.doubtnut.com
माना F(x) =f(x) cdot g(x) h(x) सभी वास्तविक x के लिए, जहाँ f(x), g(x) F(X) Dot G(X) In this example, both functions had domains of all. Previously, we'd plugged a number into g(x), found a new value, plugged that value into f (x), and simplified the result. A function basically relates an input to an output, there’s an input, a relationship and an output. The composite of two functions f(x) and g(x) must abide by the domain. F(X) Dot G(X).
From www.slideserve.com
PPT Composition of functions PowerPoint Presentation, free download F(X) Dot G(X) The notation $f \cdot g$ means that for every $x$ the function is $$ (f \cdot g)(x) = f(x) \cdot g(x) $$ which is pointwise multiplication. Previously, we'd plugged a number into g(x), found a new value, plugged that value into f (x), and simplified the result. Evaluate f (2x) f (2 x) by substituting in the value of g. F(X) Dot G(X).
From www.numerade.com
SOLVEDfind (a) f(x)+g(x),(b) f(x) ·g(x),(c) f(x) / g(x),(d) f(g(x F(X) Dot G(X) The composite of two functions f(x) and g(x) must abide by the domain restrictions of f(x) and g(x). The notation $f \cdot g$ means that for every $x$ the function is $$ (f \cdot g)(x) = f(x) \cdot g(x) $$ which is pointwise multiplication. Evaluate f (2x) f (2 x) by substituting in the value of g g into f. F(X) Dot G(X).
From solvedlib.com
Let h(x)=f(x) \cdot g(x), and k(x)= f(x) / g(x),… SolvedLib F(X) Dot G(X) Previously, we'd plugged a number into g(x), found a new value, plugged that value into f (x), and simplified the result. This time, we plugged a. The notation $f \cdot g$ means that for every $x$ the function is $$ (f \cdot g)(x) = f(x) \cdot g(x) $$ which is pointwise multiplication. A function basically relates an input to an. F(X) Dot G(X).
From brainly.com
The functions f(x) and g(x) are graphed. On a coordinate plane, a F(X) Dot G(X) In this example, both functions had domains of all. Previously, we'd plugged a number into g(x), found a new value, plugged that value into f (x), and simplified the result. Evaluate f (2x) f (2 x) by substituting in the value of g g into f f. This time, we plugged a. The composite of two functions f(x) and g(x). F(X) Dot G(X).
From www.youtube.com
Sum (f+g)(x), Difference (fg)(x), Product (fg)(x), and Quotient (f/g F(X) Dot G(X) Previously, we'd plugged a number into g(x), found a new value, plugged that value into f (x), and simplified the result. The notation $f \cdot g$ means that for every $x$ the function is $$ (f \cdot g)(x) = f(x) \cdot g(x) $$ which is pointwise multiplication. The composite of two functions f(x) and g(x) must abide by the domain. F(X) Dot G(X).
From www.toppr.com
26. If f and g are continuous functions in [0,1] satisfying f(x)=f(ax F(X) Dot G(X) A function basically relates an input to an output, there’s an input, a relationship and an output. In this example, both functions had domains of all. Previously, we'd plugged a number into g(x), found a new value, plugged that value into f (x), and simplified the result. The composite of two functions f(x) and g(x) must abide by the domain. F(X) Dot G(X).
From www.toppr.com
f ( x ) = g ( x ) , f ( x ) cdot g ( x ) & frac { x + y } { g ( x F(X) Dot G(X) The composite of two functions f(x) and g(x) must abide by the domain restrictions of f(x) and g(x). In this example, both functions had domains of all. A function basically relates an input to an output, there’s an input, a relationship and an output. This time, we plugged a. Evaluate f (2x) f (2 x) by substituting in the value. F(X) Dot G(X).
From www.toppr.com
26. If f and g are continuous functions in [0,1] satisfying f(x)=f(ax F(X) Dot G(X) Evaluate f (2x) f (2 x) by substituting in the value of g g into f f. In this example, both functions had domains of all. The notation $f \cdot g$ means that for every $x$ the function is $$ (f \cdot g)(x) = f(x) \cdot g(x) $$ which is pointwise multiplication. This time, we plugged a. Previously, we'd plugged. F(X) Dot G(X).
From www.numerade.com
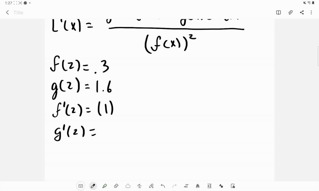
SOLVEDLet h(x)=f(x) \cdot g(x), and k(x)= f(x) / g(x), and l(x)=g(x F(X) Dot G(X) Previously, we'd plugged a number into g(x), found a new value, plugged that value into f (x), and simplified the result. A function basically relates an input to an output, there’s an input, a relationship and an output. Evaluate f (2x) f (2 x) by substituting in the value of g g into f f. The notation $f \cdot g$. F(X) Dot G(X).
From www.answersarena.com
[Solved] Let ( h(x)=f(x) cdot g(x) ), and ( k(x)=f(x) F(X) Dot G(X) The composite of two functions f(x) and g(x) must abide by the domain restrictions of f(x) and g(x). The notation $f \cdot g$ means that for every $x$ the function is $$ (f \cdot g)(x) = f(x) \cdot g(x) $$ which is pointwise multiplication. In this example, both functions had domains of all. A function basically relates an input to. F(X) Dot G(X).
From www.teachoo.com
Example 17 Let f(x) = root x, g(x) = x. Find f + g, fg, f/g F(X) Dot G(X) The composite of two functions f(x) and g(x) must abide by the domain restrictions of f(x) and g(x). In this example, both functions had domains of all. Previously, we'd plugged a number into g(x), found a new value, plugged that value into f (x), and simplified the result. A function basically relates an input to an output, there’s an input,. F(X) Dot G(X).
From www.youtube.com
For the given function f and g, find (f*g)(x) YouTube F(X) Dot G(X) The composite of two functions f(x) and g(x) must abide by the domain restrictions of f(x) and g(x). A function basically relates an input to an output, there’s an input, a relationship and an output. In this example, both functions had domains of all. This time, we plugged a. Previously, we'd plugged a number into g(x), found a new value,. F(X) Dot G(X).
From www.numerade.com
SOLVEDFor functions \quad f(x)=x+2 and g(x)=3 x^{2}2 x+4, find (a) (f F(X) Dot G(X) The composite of two functions f(x) and g(x) must abide by the domain restrictions of f(x) and g(x). This time, we plugged a. Previously, we'd plugged a number into g(x), found a new value, plugged that value into f (x), and simplified the result. In this example, both functions had domains of all. Evaluate f (2x) f (2 x) by. F(X) Dot G(X).
From www.numerade.com
⏩SOLVEDIf f(x)=x ·g(x), where g is a differentiable function, then F(X) Dot G(X) The notation $f \cdot g$ means that for every $x$ the function is $$ (f \cdot g)(x) = f(x) \cdot g(x) $$ which is pointwise multiplication. Evaluate f (2x) f (2 x) by substituting in the value of g g into f f. A function basically relates an input to an output, there’s an input, a relationship and an output.. F(X) Dot G(X).
From www.numerade.com
SOLVED(x)(F x ·G x) F(X) Dot G(X) A function basically relates an input to an output, there’s an input, a relationship and an output. Evaluate f (2x) f (2 x) by substituting in the value of g g into f f. Previously, we'd plugged a number into g(x), found a new value, plugged that value into f (x), and simplified the result. In this example, both functions. F(X) Dot G(X).
From www.numerade.com
SOLVEDf(x) and g(x) are as given. Find (f \cdot g)(x) \cdot Assume F(X) Dot G(X) Previously, we'd plugged a number into g(x), found a new value, plugged that value into f (x), and simplified the result. The composite of two functions f(x) and g(x) must abide by the domain restrictions of f(x) and g(x). This time, we plugged a. The notation $f \cdot g$ means that for every $x$ the function is $$ (f \cdot. F(X) Dot G(X).
From www.numerade.com
SOLVED(f ·g)(x) F(X) Dot G(X) The composite of two functions f(x) and g(x) must abide by the domain restrictions of f(x) and g(x). A function basically relates an input to an output, there’s an input, a relationship and an output. This time, we plugged a. Previously, we'd plugged a number into g(x), found a new value, plugged that value into f (x), and simplified the. F(X) Dot G(X).
From brainly.com
the functions of f (x) and g(x) are graphed. which represents where f(x F(X) Dot G(X) The composite of two functions f(x) and g(x) must abide by the domain restrictions of f(x) and g(x). The notation $f \cdot g$ means that for every $x$ the function is $$ (f \cdot g)(x) = f(x) \cdot g(x) $$ which is pointwise multiplication. Previously, we'd plugged a number into g(x), found a new value, plugged that value into f. F(X) Dot G(X).
From sciencing.com
How to Find (f g)(x) Sciencing F(X) Dot G(X) Previously, we'd plugged a number into g(x), found a new value, plugged that value into f (x), and simplified the result. The notation $f \cdot g$ means that for every $x$ the function is $$ (f \cdot g)(x) = f(x) \cdot g(x) $$ which is pointwise multiplication. The composite of two functions f(x) and g(x) must abide by the domain. F(X) Dot G(X).
From www.numerade.com
SOLVEDfind (a) f(x)+g(x),(b) f(x) ·g(x),(c) f(x) / g(x),(d) f(g(x F(X) Dot G(X) This time, we plugged a. Previously, we'd plugged a number into g(x), found a new value, plugged that value into f (x), and simplified the result. The notation $f \cdot g$ means that for every $x$ the function is $$ (f \cdot g)(x) = f(x) \cdot g(x) $$ which is pointwise multiplication. A function basically relates an input to an. F(X) Dot G(X).
From www.chegg.com
Solved What is (f dot g)(x)? f(x) = x^4 9 g(x) = x^3 9 F(X) Dot G(X) The notation $f \cdot g$ means that for every $x$ the function is $$ (f \cdot g)(x) = f(x) \cdot g(x) $$ which is pointwise multiplication. This time, we plugged a. Previously, we'd plugged a number into g(x), found a new value, plugged that value into f (x), and simplified the result. The composite of two functions f(x) and g(x). F(X) Dot G(X).
From www.numerade.com
SOLVED(Degree Rule) Let D be an integral domain and f(x), g(x) \in F(X) Dot G(X) Evaluate f (2x) f (2 x) by substituting in the value of g g into f f. In this example, both functions had domains of all. The composite of two functions f(x) and g(x) must abide by the domain restrictions of f(x) and g(x). This time, we plugged a. A function basically relates an input to an output, there’s an. F(X) Dot G(X).
From www.teachoo.com
Example 17 Let f(x) = root x, g(x) = x. Find f + g, fg, f/g F(X) Dot G(X) In this example, both functions had domains of all. This time, we plugged a. The notation $f \cdot g$ means that for every $x$ the function is $$ (f \cdot g)(x) = f(x) \cdot g(x) $$ which is pointwise multiplication. Evaluate f (2x) f (2 x) by substituting in the value of g g into f f. The composite of. F(X) Dot G(X).
From sciencing.com
How to Find (f g)(x) Sciencing F(X) Dot G(X) A function basically relates an input to an output, there’s an input, a relationship and an output. This time, we plugged a. The notation $f \cdot g$ means that for every $x$ the function is $$ (f \cdot g)(x) = f(x) \cdot g(x) $$ which is pointwise multiplication. The composite of two functions f(x) and g(x) must abide by the. F(X) Dot G(X).
From www.numerade.com
SOLVED Find the functions f and g such that F=f · g. (Enter your F(X) Dot G(X) A function basically relates an input to an output, there’s an input, a relationship and an output. The composite of two functions f(x) and g(x) must abide by the domain restrictions of f(x) and g(x). In this example, both functions had domains of all. Previously, we'd plugged a number into g(x), found a new value, plugged that value into f. F(X) Dot G(X).
From www.numerade.com
SOLVEDLet h(x)=f(x) \cdot g(x), and k(x)= f(x) / g(x), and l(x)=g(x F(X) Dot G(X) Evaluate f (2x) f (2 x) by substituting in the value of g g into f f. The notation $f \cdot g$ means that for every $x$ the function is $$ (f \cdot g)(x) = f(x) \cdot g(x) $$ which is pointwise multiplication. In this example, both functions had domains of all. This time, we plugged a. Previously, we'd plugged. F(X) Dot G(X).
From www.solutionspile.com
[Solved] nd ( f(x)+g(x), f(x)g(x), f(x) cdot g(x) ), F(X) Dot G(X) The composite of two functions f(x) and g(x) must abide by the domain restrictions of f(x) and g(x). A function basically relates an input to an output, there’s an input, a relationship and an output. In this example, both functions had domains of all. This time, we plugged a. The notation $f \cdot g$ means that for every $x$ the. F(X) Dot G(X).
From math.stackexchange.com
functions If we know the graph of f(x) and of g(x), is there a F(X) Dot G(X) A function basically relates an input to an output, there’s an input, a relationship and an output. Previously, we'd plugged a number into g(x), found a new value, plugged that value into f (x), and simplified the result. The notation $f \cdot g$ means that for every $x$ the function is $$ (f \cdot g)(x) = f(x) \cdot g(x) $$. F(X) Dot G(X).
From www.chegg.com
Solved Question 1 (2 points) Find the dot product f ·g on F(X) Dot G(X) Evaluate f (2x) f (2 x) by substituting in the value of g g into f f. The notation $f \cdot g$ means that for every $x$ the function is $$ (f \cdot g)(x) = f(x) \cdot g(x) $$ which is pointwise multiplication. Previously, we'd plugged a number into g(x), found a new value, plugged that value into f (x),. F(X) Dot G(X).
From www.solutionspile.com
[Solved] nd ( f(x)+g(x), f(x)g(x), f(x) cdot g(x) ), F(X) Dot G(X) This time, we plugged a. Evaluate f (2x) f (2 x) by substituting in the value of g g into f f. The composite of two functions f(x) and g(x) must abide by the domain restrictions of f(x) and g(x). The notation $f \cdot g$ means that for every $x$ the function is $$ (f \cdot g)(x) = f(x) \cdot. F(X) Dot G(X).
From www.chegg.com
Solved Find f dot g and g dot f f(x) = x^2/3, g(x) = x^9 f F(X) Dot G(X) In this example, both functions had domains of all. The notation $f \cdot g$ means that for every $x$ the function is $$ (f \cdot g)(x) = f(x) \cdot g(x) $$ which is pointwise multiplication. The composite of two functions f(x) and g(x) must abide by the domain restrictions of f(x) and g(x). Evaluate f (2x) f (2 x) by. F(X) Dot G(X).
From saradickerman.blogspot.com
How To Solve F Of G Of X Problems Sara Dickerman's Math Problems F(X) Dot G(X) In this example, both functions had domains of all. The composite of two functions f(x) and g(x) must abide by the domain restrictions of f(x) and g(x). This time, we plugged a. Evaluate f (2x) f (2 x) by substituting in the value of g g into f f. Previously, we'd plugged a number into g(x), found a new value,. F(X) Dot G(X).
From www.numerade.com
SOLVEDLet h(x)=f(x) \cdot g(x), and k(x)= f(x) / g(x), and l(x)=g(x F(X) Dot G(X) Evaluate f (2x) f (2 x) by substituting in the value of g g into f f. The composite of two functions f(x) and g(x) must abide by the domain restrictions of f(x) and g(x). The notation $f \cdot g$ means that for every $x$ the function is $$ (f \cdot g)(x) = f(x) \cdot g(x) $$ which is pointwise. F(X) Dot G(X).
From quizlet.com
You will explore (f \cdot g)(x),\left(\frac{f}{g}\right)(x) Quizlet F(X) Dot G(X) The notation $f \cdot g$ means that for every $x$ the function is $$ (f \cdot g)(x) = f(x) \cdot g(x) $$ which is pointwise multiplication. Previously, we'd plugged a number into g(x), found a new value, plugged that value into f (x), and simplified the result. This time, we plugged a. In this example, both functions had domains of. F(X) Dot G(X).